欢迎访问《中国农学通报》,

中国农学通报 ›› 2025, Vol. 41 ›› Issue (30): 70-78.doi: 10.11924/j.issn.1000-6850.casb2024-0748

所属专题: 生物技术 园艺

• 林学·园艺·园林 • 上一篇    下一篇

宁夏枸杞根系内皮层发育及质外体屏障研究

孟利芳(), 赵王利, 金敏, 毛桂莲   

  1. 宁夏大学生命科学学院, 银川 750000
  • 收稿日期:2024-12-10 修回日期:2025-02-15 出版日期:2025-11-04 发布日期:2025-11-04
  • 通讯作者:
    毛桂莲,女,1974年出生,宁夏人,教授,博士研究生,研究方向:植物生理生态及牧草栽培及生理。通信地址:750000 宁夏银川市西夏区贺兰山西路宁夏大学文萃校区,Tel:0951-2062129,E-mail:fransis-0327@163.com。
  • 作者简介:

    孟利芳,女,1998年出生,甘肃酒泉人,硕士研究生,研究方向:植物生理学。通信地址:750000 宁夏银川市西夏区贺兰山西路宁夏大学文萃校区,Tel:0951-2062129,E-mail:

  • 基金资助:
    宁夏自然科学基金“LbVHAd2-LbVHAa3共调控盐胁迫下宁夏枸杞体内离子平衡的分子机制研究”(2024AAC03092); 国家自然科学基金“液泡膜H+-ATPase亚基在宁夏枸杞钠转运调控中的功能解析”(32260408)

Study on Endodermis Development and Apoplast Barrier in Roots of Lycium barbarum L.

MENG Lifang(), ZHAO Wangli, JIN Min, MAO Guilian   

  1. School of Life Sciences, Ningxia University, Yinchuan 750000
  • Received:2024-12-10 Revised:2025-02-15 Published:2025-11-04 Online:2025-11-04

摘要:

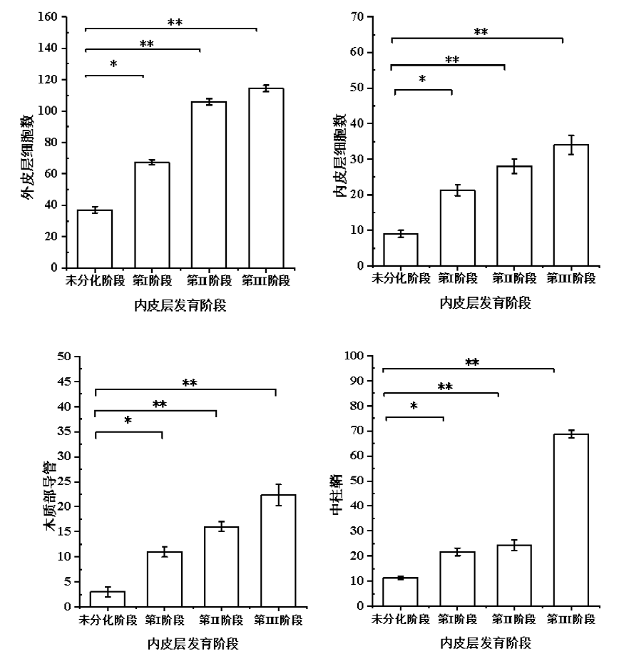
本研究旨在揭示木本盐生植物宁夏枸杞根系内皮层分化过程中,凯氏带和木栓层等质外体屏障的形成对质外体运输途径的影响。以宁夏枸杞‘宁杞1号’为实验材料,采用徒手切片、碘化丙啶(PI)荧光染料和钠离子荧光探针(CoroNa Green, AM)示踪方法对其根系内皮层的发育及质外体屏障进行了研究。结果显示,宁夏枸杞内皮层的发育根据凯氏带和木栓层的出现进程分为4个阶段:未分化阶段,细胞壁上无凯氏带形成,PI能够穿过内外皮层进入中柱;第Ⅰ阶段,凯氏带出现,PI能够渗入外皮层,但部分被阻挡在内皮层处无法进入中柱;第Ⅱ阶段,PI进入中柱的途径被完全阻挡,此阶段凯氏带和木栓层均形成;第Ⅲ阶段,根系几乎完全木质化,内皮层逐渐退化,凯氏带消失。内皮层发育进程中的相关细胞数随着根系的发育均处于增长趋势,未分化阶段至凯氏带出现这一过程,呈显著增长趋势(P<0.05)。综上所述,宁夏枸杞根系内皮层的发育分为4个阶段。在初生生长阶段,根系内皮层和外皮层均出现了凯氏带结构。这些结构虽能阻碍质外体运输,但外皮层凯氏带不具备有效的质外体屏障功能。

关键词: 宁夏枸杞, 根解剖结构, 内皮层, 质外体屏障, 凯氏带, 木栓层

Abstract:

To investigate the differentiation of the root endodermis and the formation of the apoplast barrier such as Casparian strips and suberin lamella on apoplastic transport pathways in the woody halophyte Lycium barbarum L.(L. barbarum). Using L. barbarum ‘Ningqi No.1’ as experimental material, the development of endodermis and apoplast barrier in the root system of L. barbarum were studied using freehand sectioning combined with fluorescent tracers exploring propidium iodide (PI) and Na+ fluorescent probe (CoroNa Green, AM). The results showed that the development of the endodermis structure of L. barbarum can be divided into four developmental phases according to the sequential appearance of Casparian strips and suberin lamella. During the undifferentiated stage, no Casparian strips formation was found in the cell walls, and PI could freely penetrate across both the exodermis and endodermis into the stele. In the first stage, the Casparian strips was observed depositing in endodermal cells and PI could penetrate through exodermis, but was partially blocked its transport at the endodermis, restricting access to the stele. In stage Ⅱ, with well-developed Casparian strips and suberin lamellae, PI penetration to the stele was completely blocked. In stage III, extensive root lignification was observed, accompanied by endodermis degeneration and disappearance of Casparian strips. At the same time, the number of cells associated with the endodermis development showed continuous increasing during root growth, and significant growth was observed from the undifferentiated stage to the appearance of Casparian strips (P<0.05). It indicated that the development of the endodermis in the roots of L. barbarum is divided into four stages. Notably, during the primary growth, the formation of Casparian strips was observed in both endodermis and exodermis of L. barbarum roots, which impeded apoplast flow. However, the exodermis Casparian strips were found lacking apoplastic barrier function.

Key words: Lycium barbarum L., root anatomical structure, endodermis, apoplast barrier, Casparian strips, suberin lamella