中国农学通报 ›› 2025, Vol. 41 ›› Issue (30): 18-27.doi: 10.11924/j.issn.1000-6850.casb2024-0582
收稿日期:2024-09-10
修回日期:2025-01-10
出版日期:2025-10-25
发布日期:2025-11-04
通讯作者:
作者简介:赵振邦,男,1968年生,安徽宿州人,副研究员,本科,研究方向:大豆品种选育与病虫害防治。通信地址:234000 安徽省宿州市埇桥区学府大道2156号 宿州市农业科学院,Tel:19852856797,E-mail:2018102025@njau.edu.cn。
基金资助:
ZHAO Zhenbang1(
), YIN Maozhu1(
), ZHANG Yanan2, WANG Yueying1(
)
Received:2024-09-10
Revised:2025-01-10
Published:2025-10-25
Online:2025-11-04
摘要:
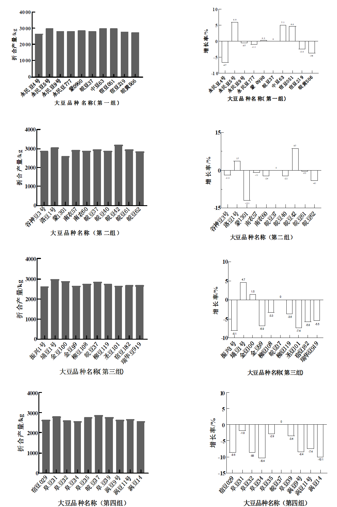
为促进农业科技创新、提高大豆产量和品质、推动农业可持续发展。近年来以安徽省及黄淮南片审定的大豆品种为材料,用田间调查统计的方法测得不同品种生长情况。通过分析不同品种生长的气候条件、田间表现、考种性状、折合产量以及主要性状相关性分析等结果发现‘永民豆5号’产量居展示品种第Ⅰ组第1位,该品种增产潜力大,生育期适中,株高适中,抗倒伏,适宜机收,有效荚数多,籽粒大小适中,光泽好,总体表现优秀。‘皖豆42’产量居展示品种第Ⅱ组第1位,该品种增产潜力大,生育期长,株高适中,有效分枝多,有效荚数多,籽粒光泽好,总体表现优秀。‘埇豆1号’产量居展示品种第Ⅲ组第1位,该品种增产潜力大,生育期适中,株高适中,抗倒伏,适宜机收,有效分枝多,籽粒大,光泽好,总体表现优秀。通过大豆展示示范,筛选出高产、优质、抗逆性强的大豆品种,有助于提高大豆单产和总产,促进科研与生产的紧密结合。
赵振邦, 尹毛珠, 张亚楠, 王月英. 2023年安徽省大豆品种展示示范与研究[J]. 中国农学通报, 2025, 41(30): 18-27.
ZHAO Zhenbang, YIN Maozhu, ZHANG Yanan, WANG Yueying. Demonstration and Research of Soybean Varieties in Anhui Province in 2023[J]. Chinese Agricultural Science Bulletin, 2025, 41(30): 18-27.
| 编号 | 品系 | 生育期/d | 叶形 | 花色 | 荚熟色 | 茸毛色 | 结荚习性 | 株型 | 裂荚性 | 落叶性 | 倒伏 程度 | 花叶病 程度 | 其他病害 |
|---|---|---|---|---|---|---|---|---|---|---|---|---|---|
| Ⅰ-1 | 永民豆4号 | 100 | 椭圆 | 白 | 灰褐 | 灰 | 有限 | 收敛 | 不 | 落 | 0 | 0 | 拟茎点 |
| Ⅰ-2 | 永民豆5号 | 101 | 椭圆 | 白 | 灰褐 | 灰 | 有限 | 收敛 | 不 | 落 | 0 | 0 | 霜霉 |
| Ⅰ-3 | 永民豆9号 | 101 | 椭圆 | 紫 | 灰褐 | 灰 | 有限 | 收敛 | 不 | 落 | 1 | 0 | 斑点、根腐 |
| Ⅰ-4 | 永民豆777 | 101 | 椭圆 | 紫白 | 灰褐 | 灰 | 有限 | 收敛 | 不 | 落 | 0 | 2 | 斑点、根腐 |
| Ⅰ-5 | 蒙0990 | 102 | 椭圆 | 紫 | 草黄 | 灰 | 有限 | 收敛 | 不 | 落 | 1 | 0 | 霜霉、斑点、炭疽 |
| Ⅰ-6 | 皖豆37(CK) | 102 | 椭圆 | 白 | 草黄 | 灰 | 有限 | 收敛 | 不 | 落 | 0 | 0 | 无 |
| Ⅰ-7 | 中豆63 | 101 | 椭圆 | 白 | 灰褐 | 灰 | 有限 | 收敛 | 不 | 落 | 0 | 0 | 霜霉、斑点、炭疽 |
| Ⅰ-8 | 宿豆051 | 104 | 披针 | 白 | 草黄 | 灰 | 有限 | 收敛 | 不 | 落 | 0 | 0 | 霜霉 |
| Ⅰ-9 | 宿豆219 | 101 | 椭圆 | 白 | 草黄 | 灰 | 有限 | 收敛 | 不 | 落 | 0 | 0 | 根腐、霜霉 |
| Ⅰ-10 | 皖黄506 | 102 | 披针 | 白 | 灰褐 | 灰 | 有限 | 收敛 | 不 | 落 | 0 | 2 | 无 |
| Ⅱ-1 | 谷神豆3号 | 101 | 椭圆 | 紫 | 灰褐 | 灰 | 有限 | 收敛 | 不 | 落 | 0 | 0 | 无 |
| Ⅱ-2 | 洛豆1号 | 108 | 椭圆 | 紫 | 草黄 | 灰 | 有限 | 收敛 | 不 | 落 | 0 | 0 | 霜霉、炭疽 |
| Ⅱ-3 | 蒙1301 | 102 | 椭圆 | 紫白 | 灰褐 | 灰 | 有限 | 收敛 | 不 | 落 | 1 | 0 | 拟茎点 |
| Ⅱ-4 | 南农57 | 102 | 椭圆 | 紫 | 草黄 | 灰 | 有限 | 半开 | 不 | 落 | 1 | 0 | 根腐 |
| Ⅱ-5 | 南农60 | 101 | 椭圆 | 紫 | 草黄 | 灰 | 有限 | 收敛 | 不 | 落 | 0 | 0 | 斑点 |
| Ⅱ-6 | 皖豆37(CK) | 102 | 椭圆 | 白 | 草黄 | 灰 | 有限 | 收敛 | 不 | 落 | 0 | 0 | 斑点 |
| Ⅱ-7 | 皖豆40 | 104 | 椭圆 | 紫 | 灰褐 | 灰 | 有限 | 收敛 | 不 | 落 | 2 | 0 | 无 |
| Ⅱ-8 | 皖豆42 | 109 | 椭圆 | 白 | 灰褐 | 灰 | 有限 | 收敛 | 不 | 落 | 2 | 0 | 无 |
| Ⅱ-9 | 皖豆61 | 103 | 椭圆 | 紫 | 灰褐 | 灰 | 有限 | 收敛 | 不 | 落 | 2 | 0 | 无 |
| Ⅱ-10 | 皖豆62 | 104 | 椭圆 | 白 | 灰褐 | 灰 | 有限 | 收敛 | 不 | 落 | 3 | 0 | 无 |
| Ⅲ-1 | 振兴1号 | 102 | 椭圆 | 紫 | 褐 | 棕 | 有限 | 收敛 | 不 | 落 | 0 | 0 | 根腐、早衰 |
| Ⅲ-2 | 埇豆1号 | 102 | 椭圆 | 紫 | 草黄 | 灰 | 有限 | 收敛 | 不 | 落 | 0 | 0 | 根腐、霜霉、拟茎点 |
| Ⅲ-3 | 金豆100 | 102 | 椭圆 | 紫 | 草黄 | 灰 | 有限 | 收敛 | 不 | 落 | 1 | 0 | 霜霉 |
| Ⅲ-4 | 金豆99 | 102 | 椭圆 | 紫 | 草黄 | 灰 | 亚限 | 收敛 | 不 | 落 | 0 | 0 | 斑点、霜霉、炭疽 |
| Ⅲ-5 | 柳豆108 | 102 | 椭圆 | 白 | 草黄 | 灰 | 有限 | 收敛 | 不 | 落 | 0 | 0 | 斑点、霜霉、炭疽 |
| Ⅲ-6 | 皖豆37(CK) | 102 | 椭圆 | 白 | 草黄 | 灰 | 有限 | 收敛 | 不 | 落 | 0 | 0 | 斑点、炭疽 |
| Ⅲ-7 | 柳豆119 | 102 | 椭圆 | 白 | 草黄 | 灰 | 有限 | 收敛 | 不 | 落 | 0 | 0 | 斑点、炭疽 |
| Ⅲ-8 | 圣豆101 | 102 | 椭圆 | 白 | 褐 | 棕 | 有限 | 收敛 | 不 | 落 | 1 | 0 | 根腐 |
| Ⅲ-9 | 宿豆182 | 101 | 椭圆 | 白 | 灰褐 | 灰 | 有限 | 半开 | 不 | 落 | 1 | 0 | 拟茎点 |
| Ⅲ-10 | 瑞华豆919 | 101 | 椭圆 | 白 | 灰褐 | 灰 | 有限 | 收敛 | 不 | 落 | 0 | 0 | 斑点 |
| Ⅳ-1 | 宿豆029 | 101 | 椭圆 | 紫 | 草黄 | 灰 | 有限 | 收敛 | 不 | 落 | 0 | 0 | 斑点 |
| Ⅳ-2 | 阜豆31 | 102 | 椭圆 | 紫 | 灰褐 | 灰 | 有限 | 收敛 | 不 | 落 | 2 | 2 | 无 |
| Ⅳ-3 | 阜豆32 | 102 | 椭圆 | 紫 | 灰褐 | 灰 | 亚限 | 收敛 | 不 | 落 | 0 | 3 | 无 |
| Ⅳ-4 | 阜豆34 | 102 | 椭圆 | 紫 | 灰褐 | 灰 | 有限 | 收敛 | 不 | 落 | 0 | 0 | 拟茎点 |
| Ⅳ-5 | 阜豆35 | 102 | 椭圆 | 紫 | 灰褐 | 灰 | 有限 | 收敛 | 不 | 落 | 2 | 2 | 无 |
| Ⅳ-6 | 皖豆37(CK) | 102 | 椭圆 | 白 | 草黄 | 灰 | 有限 | 收敛 | 不 | 落 | 0 | 0 | 无 |
| Ⅳ-7 | 阜豆39 | 102 | 椭圆 | 紫 | 灰褐 | 灰 | 有限 | 收敛 | 不 | 落 | 3 | 0 | 斑点 |
| Ⅳ-8 | 涡豆9号 | 100 | 椭圆 | 紫 | 灰褐 | 灰 | 有限 | 收敛 | 不 | 落 | 0 | 1 | 无 |
| Ⅳ-9 | 涡豆11号 | 100 | 椭圆 | 紫 | 灰褐 | 灰 | 有限 | 收敛 | 不 | 落 | 0 | 1 | 炭疽 |
| Ⅳ-10 | 涡豆14号 | 102 | 椭圆 | 白 | 草黄 | 灰 | 有限 | 收敛 | 不 | 落 | 0 | 0 | 拟茎点、斑点 |
| 编号 | 品系 | 生育期/d | 叶形 | 花色 | 荚熟色 | 茸毛色 | 结荚习性 | 株型 | 裂荚性 | 落叶性 | 倒伏 程度 | 花叶病 程度 | 其他病害 |
|---|---|---|---|---|---|---|---|---|---|---|---|---|---|
| Ⅰ-1 | 永民豆4号 | 100 | 椭圆 | 白 | 灰褐 | 灰 | 有限 | 收敛 | 不 | 落 | 0 | 0 | 拟茎点 |
| Ⅰ-2 | 永民豆5号 | 101 | 椭圆 | 白 | 灰褐 | 灰 | 有限 | 收敛 | 不 | 落 | 0 | 0 | 霜霉 |
| Ⅰ-3 | 永民豆9号 | 101 | 椭圆 | 紫 | 灰褐 | 灰 | 有限 | 收敛 | 不 | 落 | 1 | 0 | 斑点、根腐 |
| Ⅰ-4 | 永民豆777 | 101 | 椭圆 | 紫白 | 灰褐 | 灰 | 有限 | 收敛 | 不 | 落 | 0 | 2 | 斑点、根腐 |
| Ⅰ-5 | 蒙0990 | 102 | 椭圆 | 紫 | 草黄 | 灰 | 有限 | 收敛 | 不 | 落 | 1 | 0 | 霜霉、斑点、炭疽 |
| Ⅰ-6 | 皖豆37(CK) | 102 | 椭圆 | 白 | 草黄 | 灰 | 有限 | 收敛 | 不 | 落 | 0 | 0 | 无 |
| Ⅰ-7 | 中豆63 | 101 | 椭圆 | 白 | 灰褐 | 灰 | 有限 | 收敛 | 不 | 落 | 0 | 0 | 霜霉、斑点、炭疽 |
| Ⅰ-8 | 宿豆051 | 104 | 披针 | 白 | 草黄 | 灰 | 有限 | 收敛 | 不 | 落 | 0 | 0 | 霜霉 |
| Ⅰ-9 | 宿豆219 | 101 | 椭圆 | 白 | 草黄 | 灰 | 有限 | 收敛 | 不 | 落 | 0 | 0 | 根腐、霜霉 |
| Ⅰ-10 | 皖黄506 | 102 | 披针 | 白 | 灰褐 | 灰 | 有限 | 收敛 | 不 | 落 | 0 | 2 | 无 |
| Ⅱ-1 | 谷神豆3号 | 101 | 椭圆 | 紫 | 灰褐 | 灰 | 有限 | 收敛 | 不 | 落 | 0 | 0 | 无 |
| Ⅱ-2 | 洛豆1号 | 108 | 椭圆 | 紫 | 草黄 | 灰 | 有限 | 收敛 | 不 | 落 | 0 | 0 | 霜霉、炭疽 |
| Ⅱ-3 | 蒙1301 | 102 | 椭圆 | 紫白 | 灰褐 | 灰 | 有限 | 收敛 | 不 | 落 | 1 | 0 | 拟茎点 |
| Ⅱ-4 | 南农57 | 102 | 椭圆 | 紫 | 草黄 | 灰 | 有限 | 半开 | 不 | 落 | 1 | 0 | 根腐 |
| Ⅱ-5 | 南农60 | 101 | 椭圆 | 紫 | 草黄 | 灰 | 有限 | 收敛 | 不 | 落 | 0 | 0 | 斑点 |
| Ⅱ-6 | 皖豆37(CK) | 102 | 椭圆 | 白 | 草黄 | 灰 | 有限 | 收敛 | 不 | 落 | 0 | 0 | 斑点 |
| Ⅱ-7 | 皖豆40 | 104 | 椭圆 | 紫 | 灰褐 | 灰 | 有限 | 收敛 | 不 | 落 | 2 | 0 | 无 |
| Ⅱ-8 | 皖豆42 | 109 | 椭圆 | 白 | 灰褐 | 灰 | 有限 | 收敛 | 不 | 落 | 2 | 0 | 无 |
| Ⅱ-9 | 皖豆61 | 103 | 椭圆 | 紫 | 灰褐 | 灰 | 有限 | 收敛 | 不 | 落 | 2 | 0 | 无 |
| Ⅱ-10 | 皖豆62 | 104 | 椭圆 | 白 | 灰褐 | 灰 | 有限 | 收敛 | 不 | 落 | 3 | 0 | 无 |
| Ⅲ-1 | 振兴1号 | 102 | 椭圆 | 紫 | 褐 | 棕 | 有限 | 收敛 | 不 | 落 | 0 | 0 | 根腐、早衰 |
| Ⅲ-2 | 埇豆1号 | 102 | 椭圆 | 紫 | 草黄 | 灰 | 有限 | 收敛 | 不 | 落 | 0 | 0 | 根腐、霜霉、拟茎点 |
| Ⅲ-3 | 金豆100 | 102 | 椭圆 | 紫 | 草黄 | 灰 | 有限 | 收敛 | 不 | 落 | 1 | 0 | 霜霉 |
| Ⅲ-4 | 金豆99 | 102 | 椭圆 | 紫 | 草黄 | 灰 | 亚限 | 收敛 | 不 | 落 | 0 | 0 | 斑点、霜霉、炭疽 |
| Ⅲ-5 | 柳豆108 | 102 | 椭圆 | 白 | 草黄 | 灰 | 有限 | 收敛 | 不 | 落 | 0 | 0 | 斑点、霜霉、炭疽 |
| Ⅲ-6 | 皖豆37(CK) | 102 | 椭圆 | 白 | 草黄 | 灰 | 有限 | 收敛 | 不 | 落 | 0 | 0 | 斑点、炭疽 |
| Ⅲ-7 | 柳豆119 | 102 | 椭圆 | 白 | 草黄 | 灰 | 有限 | 收敛 | 不 | 落 | 0 | 0 | 斑点、炭疽 |
| Ⅲ-8 | 圣豆101 | 102 | 椭圆 | 白 | 褐 | 棕 | 有限 | 收敛 | 不 | 落 | 1 | 0 | 根腐 |
| Ⅲ-9 | 宿豆182 | 101 | 椭圆 | 白 | 灰褐 | 灰 | 有限 | 半开 | 不 | 落 | 1 | 0 | 拟茎点 |
| Ⅲ-10 | 瑞华豆919 | 101 | 椭圆 | 白 | 灰褐 | 灰 | 有限 | 收敛 | 不 | 落 | 0 | 0 | 斑点 |
| Ⅳ-1 | 宿豆029 | 101 | 椭圆 | 紫 | 草黄 | 灰 | 有限 | 收敛 | 不 | 落 | 0 | 0 | 斑点 |
| Ⅳ-2 | 阜豆31 | 102 | 椭圆 | 紫 | 灰褐 | 灰 | 有限 | 收敛 | 不 | 落 | 2 | 2 | 无 |
| Ⅳ-3 | 阜豆32 | 102 | 椭圆 | 紫 | 灰褐 | 灰 | 亚限 | 收敛 | 不 | 落 | 0 | 3 | 无 |
| Ⅳ-4 | 阜豆34 | 102 | 椭圆 | 紫 | 灰褐 | 灰 | 有限 | 收敛 | 不 | 落 | 0 | 0 | 拟茎点 |
| Ⅳ-5 | 阜豆35 | 102 | 椭圆 | 紫 | 灰褐 | 灰 | 有限 | 收敛 | 不 | 落 | 2 | 2 | 无 |
| Ⅳ-6 | 皖豆37(CK) | 102 | 椭圆 | 白 | 草黄 | 灰 | 有限 | 收敛 | 不 | 落 | 0 | 0 | 无 |
| Ⅳ-7 | 阜豆39 | 102 | 椭圆 | 紫 | 灰褐 | 灰 | 有限 | 收敛 | 不 | 落 | 3 | 0 | 斑点 |
| Ⅳ-8 | 涡豆9号 | 100 | 椭圆 | 紫 | 灰褐 | 灰 | 有限 | 收敛 | 不 | 落 | 0 | 1 | 无 |
| Ⅳ-9 | 涡豆11号 | 100 | 椭圆 | 紫 | 灰褐 | 灰 | 有限 | 收敛 | 不 | 落 | 0 | 1 | 炭疽 |
| Ⅳ-10 | 涡豆14号 | 102 | 椭圆 | 白 | 草黄 | 灰 | 有限 | 收敛 | 不 | 落 | 0 | 0 | 拟茎点、斑点 |
| 编号 | 品系 | 株高/cm | 结荚 高度/cm | 主茎 节数 | 有效 分枝 | 有效荚 | 无效荚 | 单株 粒数 | 每荚 粒数 | 单株 粒重/g | 百粒 重/g | 折合产量/ (kg/hm2) | 增长率 /% |
|---|---|---|---|---|---|---|---|---|---|---|---|---|---|
| Ⅰ-1 | 永民豆4号 | 65.50 | 21.20 | 15.00 | 1.70 | 27.30 | 2.00 | 55.20 | 2.00 | 11.11 | 21.37 | 2640.00 | -6.74 |
| Ⅰ-2 | 永民豆5号 | 71.10 | 18.00 | 16.20 | 1.70 | 36.70 | 0.80 | 70.80 | 1.90 | 14.41 | 20.50 | 2998.95 | 5.95 |
| Ⅰ-3 | 永民豆9号 | 55.00 | 19.70 | 15.60 | 2.50 | 34.60 | 0.80 | 67.40 | 1.90 | 11.39 | 17.24 | 2811.00 | -0.69 |
| Ⅰ-4 | 永民豆777 | 62.90 | 20.30 | 16.00 | 1.80 | 31.00 | 0.90 | 57.00 | 1.80 | 11.44 | 20.97 | 2798.70 | -1.13 |
| Ⅰ-5 | 蒙0990 | 75.20 | 23.00 | 15.30 | 1.60 | 25.80 | 0.80 | 40.10 | 1.60 | 9.32 | 24.05 | 2837.40 | 0.24 |
| Ⅰ-6 | 皖豆37(CK) | 56.70 | 21.30 | 15.40 | 2.30 | 41.40 | 2.90 | 91.30 | 2.20 | 16.32 | 18.23 | 2830.65 | 0.00 |
| Ⅰ-7 | 中豆63 | 67.70 | 18.90 | 14.70 | 3.00 | 30.00 | 2.70 | 56.90 | 1.90 | 13.02 | 23.71 | 2974.65 | 5.09 |
| Ⅰ-8 | 宿豆051 | 62.70 | 21.10 | 14.00 | 1.00 | 26.60 | 2.10 | 48.50 | 1.80 | 11.74 | 25.50 | 2961.30 | 4.62 |
| Ⅰ-9 | 宿豆219 | 59.80 | 20.50 | 15.80 | 1.70 | 23.00 | 1.00 | 40.40 | 1.80 | 9.83 | 25.00 | 2758.65 | -2.55 |
| Ⅰ-10 | 皖黄506 | 69.30 | 22.80 | 16.10 | 1.40 | 30.80 | 0.90 | 69.00 | 2.20 | 14.65 | 20.67 | 2724.00 | -3.77 |
| Ⅱ-1 | 谷神豆3号 | 66.90 | 20.30 | 16.60 | 3.70 | 49.00 | 5.30 | 92.20 | 1.90 | 16.62 | 18.58 | 2898.00 | -1.96 |
| Ⅱ-2 | 洛豆1号 | 69.80 | 19.50 | 15.60 | 2.70 | 38.80 | 1.20 | 73.30 | 1.90 | 17.85 | 24.37 | 3060.00 | 3.72 |
| Ⅱ-3 | 蒙1301 | 92.10 | 18.30 | 18.60 | 1.50 | 41.20 | 0.70 | 72.20 | 1.80 | 15.11 | 20.84 | 2596.95 | -12.14 |
| Ⅱ-4 | 南农57 | 88.20 | 40.20 | 18.70 | 0.00 | 15.90 | 1.30 | 40.30 | 2.50 | 8.03 | 20.74 | 2923.95 | -1.08 |
| Ⅱ-5 | 南农60 | 62.70 | 19.50 | 14.10 | 0.70 | 28.60 | 1.10 | 60.00 | 2.10 | 14.22 | 24.42 | 2885.40 | -2.39 |
| Ⅱ-6 | 皖豆37(CK) | 77.10 | 21.10 | 18.40 | 1.90 | 36.50 | 1.60 | 70.60 | 1.90 | 14.70 | 21.70 | 2956.05 | 0.00 |
| Ⅱ-7 | 皖豆40 | 93.10 | 21.60 | 19.00 | 1.50 | 43.40 | 1.90 | 81.10 | 1.90 | 13.53 | 16.67 | 2890.05 | -2.23 |
| Ⅱ-8 | 皖豆42 | 85.50 | 16.70 | 20.20 | 3.90 | 83.20 | 3.30 | 174.70 | 2.10 | 30.05 | 17.27 | 3214.05 | 8.73 |
| Ⅱ-9 | 皖豆61 | 97.80 | 18.90 | 18.20 | 1.30 | 38.70 | 0.20 | 72.50 | 1.90 | 16.61 | 23.49 | 2946.00 | -0.34 |
| Ⅱ-10 | 皖豆62 | 83.40 | 17.00 | 16.50 | 2.40 | 30.80 | 1.00 | 58.80 | 1.90 | 13.04 | 23.05 | 2834.70 | -4.10 |
| Ⅲ-1 | 振兴1号 | 73.60 | 26.40 | 15.70 | 0.20 | 19.20 | 0.40 | 36.20 | 1.90 | 8.97 | 26.08 | 2622.00 | -8.11 |
| Ⅲ-2 | 埇豆1号 | 77.70 | 21.90 | 16.70 | 2.00 | 24.90 | 0.70 | 40.60 | 1.60 | 9.91 | 25.91 | 2986.05 | 4.65 |
| Ⅲ-3 | 金豆100 | 81.30 | 22.80 | 16.50 | 1.70 | 26.40 | 0.70 | 48.10 | 1.80 | 11.23 | 24.04 | 2896.05 | 1.50 |
| Ⅲ-4 | 金豆99 | 79.50 | 25.20 | 16.60 | 1.70 | 23.50 | 1.00 | 46.90 | 2.00 | 11.58 | 25.13 | 2658.00 | -6.85 |
| Ⅲ-5 | 柳豆108 | 82.00 | 26.00 | 16.00 | 1.90 | 28.40 | 0.60 | 51.90 | 1.80 | 11.28 | 22.70 | 2758.05 | -3.34 |
| Ⅲ-6 | 皖豆37(CK) | 57.00 | 20.10 | 15.40 | 2.30 | 40.50 | 1.10 | 76.70 | 1.90 | 14.52 | 19.11 | 2853.30 | 0.00 |
| Ⅲ-7 | 柳豆119 | 61.10 | 16.70 | 13.90 | 1.30 | 29.60 | 0.60 | 52.30 | 1.80 | 13.74 | 26.35 | 2749.35 | -3.64 |
| Ⅲ-8 | 圣豆101 | 68.60 | 23.60 | 15.10 | 0.80 | 23.50 | 0.50 | 49.20 | 2.10 | 12.53 | 26.75 | 2641.35 | -7.43 |
| Ⅲ-9 | 宿豆182 | 68.50 | 22.20 | 15.00 | 2.10 | 30.30 | 1.30 | 59.70 | 2.00 | 11.62 | 21.85 | 2688.75 | -5.77 |
| Ⅲ-10 | 瑞华豆919 | 74.00 | 19.40 | 16.10 | 2.40 | 40.20 | 0.50 | 65.50 | 1.60 | 13.46 | 21.10 | 2695.95 | -5.51 |
| Ⅳ-1 | 宿豆029 | 66.90 | 21.60 | 15.50 | 1.00 | 26.70 | 0.60 | 46.40 | 1.70 | 10.36 | 23.25 | 2630.70 | -8.59 |
| Ⅳ-2 | 阜豆31 | 71.20 | 19.70 | 18.50 | 3.20 | 62.50 | 1.00 | 116.00 | 1.90 | 18.57 | 16.45 | 2826.00 | -1.81 |
| Ⅳ-3 | 阜豆32 | 106.20 | 26.00 | 18.20 | 0.70 | 27.50 | 3.00 | 59.20 | 2.20 | 11.60 | 21.59 | 2626.05 | -8.76 |
| Ⅳ-4 | 阜豆34 | 91.40 | 25.00 | 18.00 | 0.70 | 33.50 | 3.90 | 60.40 | 1.80 | 10.90 | 18.72 | 2580.00 | -10.35 |
| Ⅳ-5 | 阜豆35 | 93.30 | 19.90 | 17.50 | 1.50 | 44.40 | 1.20 | 88.20 | 2.00 | 16.04 | 18.85 | 2796.00 | -2.85 |
| Ⅳ-6 | 皖豆37(CK) | 73.50 | 24.60 | 17.60 | 1.60 | 36.50 | 0.70 | 77.40 | 2.10 | 15.67 | 20.31 | 2878.05 | 0.00 |
| Ⅳ-7 | 阜豆39 | 95.10 | 25.80 | 16.70 | 0.10 | 25.50 | 0.40 | 54.10 | 2.10 | 10.30 | 19.60 | 2779.95 | -3.41 |
| Ⅳ-8 | 涡豆9号 | 73.70 | 22.30 | 17.00 | 1.40 | 33.30 | 1.80 | 63.50 | 1.90 | 14.53 | 23.72 | 2635.95 | -8.41 |
| Ⅳ-9 | 涡豆11号 | 78.50 | 21.80 | 15.30 | 1.70 | 30.20 | 3.20 | 57.00 | 1.90 | 12.01 | 22.13 | 2664.00 | -7.44 |
| Ⅳ-10 | 涡豆14号 | 94.20 | 29.00 | 18.40 | 0.50 | 31.30 | 0.20 | 54.20 | 1.70 | 14.34 | 27.50 | 2587.95 | -10.08 |
| 编号 | 品系 | 株高/cm | 结荚 高度/cm | 主茎 节数 | 有效 分枝 | 有效荚 | 无效荚 | 单株 粒数 | 每荚 粒数 | 单株 粒重/g | 百粒 重/g | 折合产量/ (kg/hm2) | 增长率 /% |
|---|---|---|---|---|---|---|---|---|---|---|---|---|---|
| Ⅰ-1 | 永民豆4号 | 65.50 | 21.20 | 15.00 | 1.70 | 27.30 | 2.00 | 55.20 | 2.00 | 11.11 | 21.37 | 2640.00 | -6.74 |
| Ⅰ-2 | 永民豆5号 | 71.10 | 18.00 | 16.20 | 1.70 | 36.70 | 0.80 | 70.80 | 1.90 | 14.41 | 20.50 | 2998.95 | 5.95 |
| Ⅰ-3 | 永民豆9号 | 55.00 | 19.70 | 15.60 | 2.50 | 34.60 | 0.80 | 67.40 | 1.90 | 11.39 | 17.24 | 2811.00 | -0.69 |
| Ⅰ-4 | 永民豆777 | 62.90 | 20.30 | 16.00 | 1.80 | 31.00 | 0.90 | 57.00 | 1.80 | 11.44 | 20.97 | 2798.70 | -1.13 |
| Ⅰ-5 | 蒙0990 | 75.20 | 23.00 | 15.30 | 1.60 | 25.80 | 0.80 | 40.10 | 1.60 | 9.32 | 24.05 | 2837.40 | 0.24 |
| Ⅰ-6 | 皖豆37(CK) | 56.70 | 21.30 | 15.40 | 2.30 | 41.40 | 2.90 | 91.30 | 2.20 | 16.32 | 18.23 | 2830.65 | 0.00 |
| Ⅰ-7 | 中豆63 | 67.70 | 18.90 | 14.70 | 3.00 | 30.00 | 2.70 | 56.90 | 1.90 | 13.02 | 23.71 | 2974.65 | 5.09 |
| Ⅰ-8 | 宿豆051 | 62.70 | 21.10 | 14.00 | 1.00 | 26.60 | 2.10 | 48.50 | 1.80 | 11.74 | 25.50 | 2961.30 | 4.62 |
| Ⅰ-9 | 宿豆219 | 59.80 | 20.50 | 15.80 | 1.70 | 23.00 | 1.00 | 40.40 | 1.80 | 9.83 | 25.00 | 2758.65 | -2.55 |
| Ⅰ-10 | 皖黄506 | 69.30 | 22.80 | 16.10 | 1.40 | 30.80 | 0.90 | 69.00 | 2.20 | 14.65 | 20.67 | 2724.00 | -3.77 |
| Ⅱ-1 | 谷神豆3号 | 66.90 | 20.30 | 16.60 | 3.70 | 49.00 | 5.30 | 92.20 | 1.90 | 16.62 | 18.58 | 2898.00 | -1.96 |
| Ⅱ-2 | 洛豆1号 | 69.80 | 19.50 | 15.60 | 2.70 | 38.80 | 1.20 | 73.30 | 1.90 | 17.85 | 24.37 | 3060.00 | 3.72 |
| Ⅱ-3 | 蒙1301 | 92.10 | 18.30 | 18.60 | 1.50 | 41.20 | 0.70 | 72.20 | 1.80 | 15.11 | 20.84 | 2596.95 | -12.14 |
| Ⅱ-4 | 南农57 | 88.20 | 40.20 | 18.70 | 0.00 | 15.90 | 1.30 | 40.30 | 2.50 | 8.03 | 20.74 | 2923.95 | -1.08 |
| Ⅱ-5 | 南农60 | 62.70 | 19.50 | 14.10 | 0.70 | 28.60 | 1.10 | 60.00 | 2.10 | 14.22 | 24.42 | 2885.40 | -2.39 |
| Ⅱ-6 | 皖豆37(CK) | 77.10 | 21.10 | 18.40 | 1.90 | 36.50 | 1.60 | 70.60 | 1.90 | 14.70 | 21.70 | 2956.05 | 0.00 |
| Ⅱ-7 | 皖豆40 | 93.10 | 21.60 | 19.00 | 1.50 | 43.40 | 1.90 | 81.10 | 1.90 | 13.53 | 16.67 | 2890.05 | -2.23 |
| Ⅱ-8 | 皖豆42 | 85.50 | 16.70 | 20.20 | 3.90 | 83.20 | 3.30 | 174.70 | 2.10 | 30.05 | 17.27 | 3214.05 | 8.73 |
| Ⅱ-9 | 皖豆61 | 97.80 | 18.90 | 18.20 | 1.30 | 38.70 | 0.20 | 72.50 | 1.90 | 16.61 | 23.49 | 2946.00 | -0.34 |
| Ⅱ-10 | 皖豆62 | 83.40 | 17.00 | 16.50 | 2.40 | 30.80 | 1.00 | 58.80 | 1.90 | 13.04 | 23.05 | 2834.70 | -4.10 |
| Ⅲ-1 | 振兴1号 | 73.60 | 26.40 | 15.70 | 0.20 | 19.20 | 0.40 | 36.20 | 1.90 | 8.97 | 26.08 | 2622.00 | -8.11 |
| Ⅲ-2 | 埇豆1号 | 77.70 | 21.90 | 16.70 | 2.00 | 24.90 | 0.70 | 40.60 | 1.60 | 9.91 | 25.91 | 2986.05 | 4.65 |
| Ⅲ-3 | 金豆100 | 81.30 | 22.80 | 16.50 | 1.70 | 26.40 | 0.70 | 48.10 | 1.80 | 11.23 | 24.04 | 2896.05 | 1.50 |
| Ⅲ-4 | 金豆99 | 79.50 | 25.20 | 16.60 | 1.70 | 23.50 | 1.00 | 46.90 | 2.00 | 11.58 | 25.13 | 2658.00 | -6.85 |
| Ⅲ-5 | 柳豆108 | 82.00 | 26.00 | 16.00 | 1.90 | 28.40 | 0.60 | 51.90 | 1.80 | 11.28 | 22.70 | 2758.05 | -3.34 |
| Ⅲ-6 | 皖豆37(CK) | 57.00 | 20.10 | 15.40 | 2.30 | 40.50 | 1.10 | 76.70 | 1.90 | 14.52 | 19.11 | 2853.30 | 0.00 |
| Ⅲ-7 | 柳豆119 | 61.10 | 16.70 | 13.90 | 1.30 | 29.60 | 0.60 | 52.30 | 1.80 | 13.74 | 26.35 | 2749.35 | -3.64 |
| Ⅲ-8 | 圣豆101 | 68.60 | 23.60 | 15.10 | 0.80 | 23.50 | 0.50 | 49.20 | 2.10 | 12.53 | 26.75 | 2641.35 | -7.43 |
| Ⅲ-9 | 宿豆182 | 68.50 | 22.20 | 15.00 | 2.10 | 30.30 | 1.30 | 59.70 | 2.00 | 11.62 | 21.85 | 2688.75 | -5.77 |
| Ⅲ-10 | 瑞华豆919 | 74.00 | 19.40 | 16.10 | 2.40 | 40.20 | 0.50 | 65.50 | 1.60 | 13.46 | 21.10 | 2695.95 | -5.51 |
| Ⅳ-1 | 宿豆029 | 66.90 | 21.60 | 15.50 | 1.00 | 26.70 | 0.60 | 46.40 | 1.70 | 10.36 | 23.25 | 2630.70 | -8.59 |
| Ⅳ-2 | 阜豆31 | 71.20 | 19.70 | 18.50 | 3.20 | 62.50 | 1.00 | 116.00 | 1.90 | 18.57 | 16.45 | 2826.00 | -1.81 |
| Ⅳ-3 | 阜豆32 | 106.20 | 26.00 | 18.20 | 0.70 | 27.50 | 3.00 | 59.20 | 2.20 | 11.60 | 21.59 | 2626.05 | -8.76 |
| Ⅳ-4 | 阜豆34 | 91.40 | 25.00 | 18.00 | 0.70 | 33.50 | 3.90 | 60.40 | 1.80 | 10.90 | 18.72 | 2580.00 | -10.35 |
| Ⅳ-5 | 阜豆35 | 93.30 | 19.90 | 17.50 | 1.50 | 44.40 | 1.20 | 88.20 | 2.00 | 16.04 | 18.85 | 2796.00 | -2.85 |
| Ⅳ-6 | 皖豆37(CK) | 73.50 | 24.60 | 17.60 | 1.60 | 36.50 | 0.70 | 77.40 | 2.10 | 15.67 | 20.31 | 2878.05 | 0.00 |
| Ⅳ-7 | 阜豆39 | 95.10 | 25.80 | 16.70 | 0.10 | 25.50 | 0.40 | 54.10 | 2.10 | 10.30 | 19.60 | 2779.95 | -3.41 |
| Ⅳ-8 | 涡豆9号 | 73.70 | 22.30 | 17.00 | 1.40 | 33.30 | 1.80 | 63.50 | 1.90 | 14.53 | 23.72 | 2635.95 | -8.41 |
| Ⅳ-9 | 涡豆11号 | 78.50 | 21.80 | 15.30 | 1.70 | 30.20 | 3.20 | 57.00 | 1.90 | 12.01 | 22.13 | 2664.00 | -7.44 |
| Ⅳ-10 | 涡豆14号 | 94.20 | 29.00 | 18.40 | 0.50 | 31.30 | 0.20 | 54.20 | 1.70 | 14.34 | 27.50 | 2587.95 | -10.08 |
| [1] |
胡壮壮, 徐先超, 潘霖, 等. 不同生殖生长期大豆器官对斜纹夜蛾抗性分析[J]. 大豆科学, 2020, 39(6):932-939.
|
| [2] |
|
| [3] |
|
| [4] |
阳小凤, 黄山, 姜玲, 等. 国审大豆新品种湘春2701的选育研究[J]. 大豆科学, 2024, 43(4):517-522.
|
| [5] |
李方舟, 张海生, 杨婷婷, 等. 国审鲜食大豆新品种晋科2号的选育研究[J]. 大豆科学, 2024, 43(4):503-509.
|
| [6] |
范元芳, 王娴淑, 何芳, 等. 四川省大豆种质资源表型性状鉴定及综合评价[J]. 大豆科学, 2024, 43(3):295-302.
|
| [7] |
李全衡, 刘晓利, 杨忠文, 等. 2022年云南省实施国家水稻新品种展示示范的成效及经验探析[J]. 种子科技, 2023, 41(17):21-26.
|
| [8] |
骆方明. 高产杂交水稻品种展示示范试验[J]. 安徽农学通报, 2024, 30(11):24-27.
|
| [9] |
葛健楠. 2021年玉米新品种展示示范报告[J]. 新农业, 2023(10):4.
|
| [10] |
郭海悦, 李江涛, 于会勇, 等. 不同种植密度和施肥量对高蛋白大豆濮豆820产量和品质的影响[J]. 大豆科技, 2025(1):23-28.
|
| [11] |
曾凯, 战勇, 张恒斌, 等. 高油高产大豆新品种新振豆1号的选育[J]. 大豆科技, 2025(1):51-54.
|
| [12] |
马伟然, 强斌斌, 刘绍锋, 等. 种植密度与施肥量互作对不同品种大豆生长和产量的影响[J]. 江苏农业科学, 2024, 52(8):38-47.
|
| [13] |
陈小飞, 金文俊, 雷伟侠, 等. 黄淮海南部地区夏大豆抗逆固氮防衰栽培技术[J]. 耕作与栽培, 2025, 45(1):140-142.
|
| [14] |
赵向阳, 王全友, 钱振亚, 等. 高产优质夏大豆新品种圣育102的选育及其栽培技术[J]. 农技服务, 2025, 42(1):67-70.
|
| [15] |
冷远康. 大豆种植现状及高产栽培技术[J]. 种子科技, 2024, 42(21):83-85.
|
| [16] |
|
| [17] |
|
| [18] |
吴若蕾, 杨玉桂. 闽南毛豆田斜纹夜蛾的发生为害特点与测报防治技术[J]. 中国植保导刊, 2007, 27(5):24-25.
|
| [19] |
姜磊, 王路路, 沈维良, 等. 宿州地区周年肥料运筹对复播大豆农艺性状和产量的影响[J]. 大豆科学, 2020, 39(6):919-925.
|
| [20] |
刘凯. 安徽宿州市种业发展现状与对策[J]. 中国种业, 2025(2):60-62,68.
|
| [21] |
周同心. 安徽宿州夏季大豆高产栽培技术要点[J]. 农业工程技术, 2019, 39(23):73.
|
| [22] |
关哲允, 闫昊, 刘大壮, 等. 高油高产大豆杂交种吉育671的选育及制种技术[J]. 中国种业, 2025(1):115-118.
|
| [23] |
朱倩, 谢飒英, 贾琛, 等. 大豆新品种运豆101的选育及示范推广应用[J]. 现代农业科技, 2020(21):40-42,45.
|
| [24] |
|
| [25] |
孙旭刚, 张立军, 李盛有, 等. 播期对不同熟期组大豆品质的影响[J]. 大豆科学, 2024, 43(3):352-358.
|
| [26] |
崔姗. 2022年湖北省夏大豆新品种生产示范试验[J]. 湖北植保, 2023(4):72-73,78.
|
| [27] |
韩德志, 闫晓飞, 魏然, 等. 不同施肥处理对黑河43农艺性状、产量及品质的影响[J]. 大豆科学, 2024, 43(2):194-201.
|
| [28] |
徐乐, 何宏泰, 刘浩然, 等. 大豆Hsp20基因家族生物信息学分析及高温高湿胁迫响应的分析[J]. 大豆科学, 2023, 42(5):565-578.
|
| [29] |
侯云龙, 李健琳, 李明姝, 等. 高产抗病大豆新品种吉育513的选育及栽培技术[J]. 大豆科学, 2024, 43(2):245-251.
|
| [30] |
李清华, 林海峰, 顾智炜, 等. 大荚大粒鲜食大豆新品种‘兴化豆5号’的选育及特征特性[J]. 中国农学通报, 2024, 40(15):37-43.
doi: 10.11924/j.issn.1000-6850.casb2023-0499 |
| [1] | 田翠玲, 田家良. 不同生育期喷施海藻酸增效液对冬小麦光合特性及产量的影响[J]. 中国农学通报, 2025, 41(9): 25-31. |
| [2] | 王俊江, 尹媛红, 陆楚盛, 陆展华, 蔡昊炀, 叶群欢, 廖嘉晖, 卢钰升, 梁开明, 傅友强. 水稻关键生育期灌溉对干旱胁迫下稻谷产量和水分利用效率的影响[J]. 中国农学通报, 2025, 41(8): 1-10. |
| [3] | 王浩毅, 乔巍, 林玉莹, 杨昊博, 接伟光. 细菌降解大豆农药残留研究现状[J]. 中国农学通报, 2025, 41(6): 126-131. |
| [4] | 李相花, 范彩英, 徐芹, 侯剑, 王慧, 刘艳艳, 王恒, 刘光亚, 韩伟. 不同玉米大豆种植模式对作物产量、经济效益与土壤养分的影响[J]. 中国农学通报, 2025, 41(6): 22-28. |
| [5] | 汪扬媚, 刘言, 冯奎, 董红平, 刘绍文, 杨勇, 张荣, 何莲. 川西高原不同马铃薯品种农艺性状与产量的关系研究[J]. 中国农学通报, 2025, 41(6): 29-37. |
| [6] | 黄苗, 杨国涛, 刁燕, 张雷, 严瑜, 李玉, 许巍, 杨亮. 四川盆地稻田土壤—水稻重金属富集与相关性评价[J]. 中国农学通报, 2025, 41(5): 103-109. |
| [7] | 李兴华, 蔡星星, 王欢, 张盛, 刘霞, 周强. “四特”晚籼稻选育、产量优势及生长发育特性[J]. 中国农学通报, 2025, 41(3): 1-8. |
| [8] | 何柳, 原小燕, 张玉松, 刘丽晶, 钟丽琼, 赵凯琴, 张立帆, 何晓莹, 符明联. 花生蔗糖含量与气象因素和品质性状的相关性分析[J]. 中国农学通报, 2025, 41(3): 18-24. |
| [9] | 陈昱利, 卓玛, 毕海滨, 牛国才, 王东峰, 巩法江, 李文倩, 高明慧, 杨平. 增密对夏大豆生长、抗倒及产量的影响[J]. 中国农学通报, 2025, 41(28): 10-17. |
| [10] | 邱宁刚, 张洪芬, 张天峰, 周忠文, 马源徽, 邱雅林, 杜军. 陇东苹果落叶病与气象因子的相关性及预报方法研究[J]. 中国农学通报, 2025, 41(27): 99-105. |
| [11] | 高佑凯, 宋群, 王增澔, 韦柳利, 傅奕豪, 孙阎, 孙艳春. 不同作物根际土壤细菌群落结构和多样性的分析[J]. 中国农学通报, 2025, 41(25): 60-66. |
| [12] | 商娜, 尉法刚, 李彤, 尹会会, 闻小霞, 李庆恩, 李晓宇, 李海涛, 李秋芝. 鲁西花生单产受气象因子的影响分析[J]. 中国农学通报, 2025, 41(24): 88-97. |
| [13] | 董逸飞, 冯云超, 高梦洋, 谭淳, 向振凡, 羊炼, 黄美瑕, 晏庆九, 霍仕平. 重庆中山区域玉米-大豆带状复合种植玉米品种筛选[J]. 中国农学通报, 2025, 41(23): 17-24. |
| [14] | 黄新忠, 黄保平, 吴景栋, 曾少敏, 吕科良, 姜翠翠. 国内南方地区桃流胶病与桃果肉褐斑症相关性分析[J]. 中国农学通报, 2025, 41(22): 106-109. |
| [15] | 王官, 张阳, 张伟, 邵荣峰, 常玉卉, 赵威军. 甜高粱茎秆含糖锤度时空变化规律研究[J]. 中国农学通报, 2025, 41(2): 28-35. |
| 阅读次数 | ||||||
|
全文 |
|
|||||
|
摘要 |
|
|||||