欢迎访问《中国农学通报》,

中国农学通报 ›› 2025, Vol. 41 ›› Issue (28): 10-17.doi: 10.11924/j.issn.1000-6850.casb2025-0162

• 农学·农业基础科学 • 上一篇    下一篇

增密对夏大豆生长、抗倒及产量的影响

陈昱利(), 卓玛, 毕海滨, 牛国才, 王东峰, 巩法江, 李文倩, 高明慧, 杨平()   

  1. 淄博市农业科学研究院,山东淄博 255000
  • 收稿日期:2025-03-05 修回日期:2025-07-02 出版日期:2025-10-05 发布日期:2025-10-10
  • 通讯作者:
    杨平,男,1971年出生,正高级农艺师,研究方向:作物生理生态、数字农业。通信地址:255000 山东省淄博市张店区商场西街197号 淄博市农业科学研究院,Tel:0533-2860797,E-mail:
  • 作者简介:

    陈昱利,男,1986年出生,山东诸城人,高级农艺师,硕士,研究方向:作物生理生态、数字农业。通信地址:255000 山东省淄博市张店区商场西街197号 淄博市农业科学研究院,Tel:0533-2860797,E-mail:

  • 基金资助:
    淄博市农业科学研究院青年人才科研创新项目“夏大豆群体优化增产提效关键技术研究与示范推广”(zbnkqn2024-04); 山东省重点研发计划项目“夏大豆水肥精准管理关键技术研究与示范应用”(2019GNC106129)

Effect of Increasing Density on Growth, Lodging Resistance and Yield of Summer Soybeans

CHEN Yuli(), ZHUO Ma, BI Haibin, NIU Guocai, WANG Dongfeng, GONG Fajiang, LI Wenqian, GAO Minghui, YANG Ping()   

  1. Zibo Academy of Agricultural Sciences, Zibo, Shandong 255000
  • Received:2025-03-05 Revised:2025-07-02 Published:2025-10-05 Online:2025-10-10

摘要:

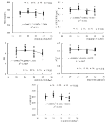
为定量分析种植密度增加对夏大豆生长、抗倒伏能力及产量的影响,以‘齐黄34’为材料,于2022年和2024年夏大豆生长季开展种植密度田间试验,分析不同种植密度对夏大豆冠层生长指标、抗倒伏性状指标、产量构成指标等的影响,以及抗倒伏指数与抗倒伏性状指标间的内在联系,明确增密对夏大豆生长、抗倒及产量的影响。结果表明,在一定范围内,增加种植密度可降低夏大豆植株顶三叶SPAD值,最大值较其他密度处理SPAD值高0.12%~6.47%,促进植株冠层功能结构建成,但密度过大会抑制大豆植株冠层氮素积累和叶面积指数的形成,种植密度为24万株/hm2时的叶层含氮量、叶层氮积累量、RVI值、NDVI值和LAI较其他种植密度处理分别高3.70%~5.49%、10.94%~22.26%、7.20%~11.87%、3.84%~7.60%和7.51%~11.70%。茎秆抗折力和茎粗越大,主茎长越短,植株抗倒伏能力越强,增加密度降低了植株抗倒伏指数,不利于提高植株的抗倒伏能力,总的来说,种植密度为24万株/hm2时大豆植株各抗倒伏性状指标均较为合理。本研究中,种植密度为20万株/hm2时大豆籽粒产量最高,但密度达到24万株/hm2时表现出更好的生产潜力。

关键词: 夏大豆, 增密, 生长, 抗倒, 产量

Abstract:

To quantitatively analyze the effects of increased planting density on the growth, lodging resistance, and yield of summer soybeans, field experiments were conducted using ‘Qihuang 34’ as the material during the 2022 and 2024 summer soybean growing seasons. Through systematic analysis of the effects of different planting densities on summer soybean canopy growth indicators, lodging resistance trait indicators, yield composition indicators, and the intrinsic relationship between lodging resistance index and lodging resistance trait indicators, the impact of increased planting density on summer soybean growth, lodging resistance, and yield was clarified. The results showed that within a certain range, increasing planting density reduced the SPAD value of the top three leaves of summer soybean plants, with a maximum SPAD value 0.12%-6.47% higher than other density treatments, promoting the construction of plant canopy functional structure. However, excessive density can inhibit the accumulation of nitrogen in soybean plant canopy and the formation of leaf area index. The leaf layer nitrogen content, leaf layer nitrogen accumulation, RVI value, NDVI value, and LAI were 3.70%-5.49%, 10.94%-22.26%, 7.20%-11.87%, 3.84%-7.60%, and 7.51%-11.70% higher than other planting density treatments, respectively. The larger the stem bending resistance and stem thickness, the shorter the main stem length and the stronger the plant's ability to resist lodging. Increasing density reduced the plant's lodging resistance index, which is not conducive to improving the plant's lodging resistance. Overall, when the planting density was 240000 plants/hm2, the various lodging resistance traits of soybean plants were relatively reasonable. In this study, soybean grain yield was highest when the planting density was 200000 plants/hm2, but showed better production potential when the density reached 240000 plants/hm2.

Key words: summer soybean, increasing density, growth, lodging resistance, yield