欢迎访问《中国农学通报》,

中国农学通报 ›› 2025, Vol. 41 ›› Issue (36): 51-59.doi: 10.11924/j.issn.1000-6850.casb2025-0332

• 农学·农业基础科学 • 上一篇    下一篇

高密度甜菜覆膜与裸地营养生长规律研究

孙琳琳(), 胡华兵(), 刘建雄, 郇町, 李有芳, 刘珣, 贺碧微   

  1. 石河子农业科学研究院, 新疆石河子 832011
  • 收稿日期:2025-04-23 修回日期:2025-10-03 出版日期:2025-12-25 发布日期:2025-12-25
  • 通讯作者:
    胡华兵,男,1979年出生,副研究员,硕士,研究方向:作物栽培及育种。通信地址:832011 新疆石河子市 石河子农业科学研究院,Tel:0993-2250412,E-mail:
  • 作者简介:

    孙琳琳,女,1994年出生,助理研究员,硕士,研究方向:作物栽培及育种。通信地址:832011 新疆石河子市 石河子农业科学研究院,E-mail:

  • 基金资助:
    新疆生产建设兵团科技计划资助“三系杂交甜菜优势组合选育”(2024DB018); 新疆生产建设兵团科技计划资助“新疆甜菜增产提糖关键技术研究与应用”(2023TSYCJC0076); 财政部和农业农村部国家现代农业产业技术体系(糖料)建设项目“甜菜种子扩繁与生产技术”(CARS-17); 新疆生产建设兵团第八师市指导性计划项目“石河子垦区甜菜节水栽培技术研究”(2024ZDNY10); 新疆生产建设兵团科技计划项目“甜菜评鉴育技术创新及技术条件提升”(2025YD018)

Research on Nutritional Growth Pattern of High-Density Sugar Beet Under Mulching and Bare Ground

SUN Linlin(), HU Huabing(), LIU Jianxiong, HUAN Ting, LI Youfang, LIU Xun, HE Biwei   

  1. Shihezi Academy of Agricultural Sciences, Shihezi, Xinjiang 832011
  • Received:2025-04-23 Revised:2025-10-03 Published:2025-12-25 Online:2025-12-25

摘要:

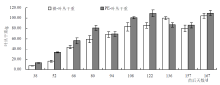
本研究旨在探究地膜覆盖对甜菜营养生长动态及生育进程的影响,为高产优质甜菜生育调控提供理论依据。以新疆滴灌条件下的覆膜与裸地甜菜为供试材料,田间试验测定植株生长动态、块根产量和品质指标。结果显示:苗后87 d内,地膜覆盖下甜菜块根鲜重增长量高于裸地甜菜;87 d后裸地甜菜块根增长量逐渐高于覆膜甜菜,且其含糖率始终高于覆膜处理。至收获时,地膜覆盖后甜菜块根产量较裸地减少了6.02%,根体含青头比例降低0.74%,含糖率降低19.04%,产糖量减少了23.91%;同时,覆膜处理导致块根中K+、Na+、α-N含量分别增加了12.21%、11.36%和46.99%。研究表明,地膜覆盖虽能显著促进甜菜前期生长、加速地上部生物量积累,但裸地甜菜中后期生长优势更显著,更利于块根膨大和糖分积累。

关键词: 甜菜, 覆膜, 裸地, 营养生长, 块根膨大, 含糖率

Abstract:

This study aims to investigate the impact of plastic film mulching on the growth and development period of sugar beet, analyzing the changes in nutritional growth to provide a theoretical basis for yield and quality regulation in sugar beet production. Using sugar beets under drip irrigation in Xinjiang, with plastic film mulching and bare ground as test materials, field measurements of plant growth and development indicators were conducted, and root yield and quality parameters were determined at maturity. The results showed that before 87 days after emergence, the fresh weight increment of sugar beet roots under plastic film mulching was higher than that of bare ground. Subsequently, the root growth increment of bare ground sugar beets gradually surpassed that of the mulching treatment, and the sugar content of bare soil sugar beets remained consistently higher. At harvest, the root yield of sugar beets under plastic film mulching was 6.02% lower than that of bare ground, the proportion of green tops in the root was 0.74% lower, the sugar content was 19.04% lower, and the sugar yield was 23.91% lower. Additionally, the K+ content in the roots increased by 12.21%, the Na+ content increased by 11.36%, and the α-N content increased by 46.99% under plastic film mulching. Plastic film mulching significantly promotes early-stage growth of sugar beets while accumulating higher aboveground biomass, whereas bare ground sugar beets exhibit a more pronounced advantage in the mid-to-late growth stages, which is more conducive to root expansion and sugar accumulation.

Key words: sugar beet, mulching, bare ground, nutrient growth, tuber expansion, sugar content