欢迎访问《中国农学通报》,

中国农学通报 ›› 2026, Vol. 42 ›› Issue (8): 150-155.doi: 10.11924/j.issn.1000-6850.casb2025-0915

• 资源·环境·生态·土壤·气象 • 上一篇    下一篇

糯小米适宜播种期气温指标研究

梁平1(), 李威2, 韦波1, 龙先菊1, 舒子倩3, 徐潋蛾4   

  1. 1 黔东南州气象局, 贵州凯里 556000
    2 黔东南州农业农村局, 贵州凯里 550002
    3 贵州省剑河县气象局, 贵州剑河 556400
    4 贵州省贵定县气象局, 贵州贵定 551300
  • 收稿日期:2025-11-09 修回日期:2026-01-14 出版日期:2026-04-25 发布日期:2026-04-23
  • 作者简介:

    梁平,女,1972年出生,山东阳谷人,正高级工程师,本科,主要从事农业气象和生态气象业务服务。通信地址:556000 贵州省凯里市桐荫坪路45号 黔东南州气象局,Tel:0855-68502316,E-mail:

  • 基金资助:
    黔东南州科技计划项目“基于高质量发展的黔东南坝区农业气候资源优化利用研究”(黔东南科合基础[2023]06号)

Optimum Temperature Indicators for Sowing Period of Waxy Foxtail Millet

LIANG Ping1(), LI Wei2, WEI Bo1, LONG Xianju1, SHU Ziqian3, XU Lian'e4   

  1. 1 Qiandongnan Meteorological Bureau, Kaili, Guizhou 556000
    2 Qiandongnan Bureau of Agriculture and Rural Affairs, Kaili, Guizhou 550002
    3 Jianhe County Meteorological Bureau, Jianhe, Guizhou 556400
    4 Guiding County Meteorological Bureau, Guiding, Guizhou 551300
  • Received:2025-11-09 Revised:2026-01-14 Published:2026-04-25 Online:2026-04-23

摘要:

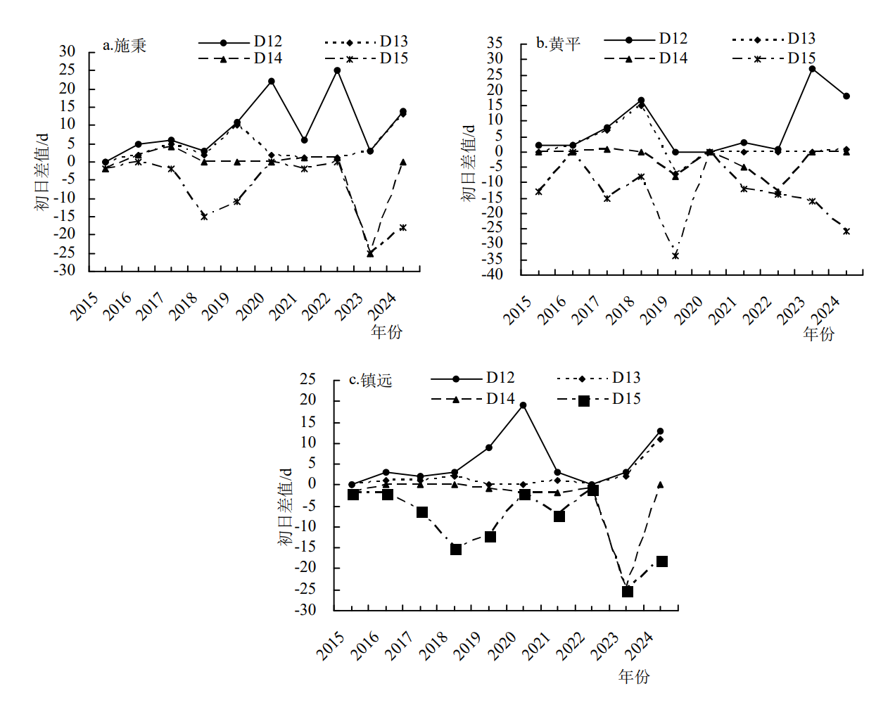
本研究旨在确定与气象预报服务相协调的黔东南糯小米适宜播种气温指标。选取黄平、施秉、镇远等国家气象观测站2015—2024年逐日气温和5 cm地温数据,采用5日滑动平均和曲线法计算12℃、13℃、14℃、15℃等界限温度的初日和5 cm地温稳定通过15℃初日,通过绝对差值法和相关系数法分析气温与浅层地温的关系,利用变异系数法评估各界限温度初日与5 cm地温稳定通过15℃初日差值的稳定性。结果表明,黔东南糯小米种植核心区日平均5 cm地温与日平均气温呈显著正相关,且受当天日平均气温影响最大;适宜播种期年际间有所不同,早春年份3月底至4月初即可播种,倒春寒年份则需至4月下旬;5 cm地温指标与气温稳定通过13℃初日差值的平均值、标准差均最小,变异系数在-2.528~1.713之间。综合考虑地温指标与气温指标的时间接近性和稳定性,推荐采用平均气温稳定通过13℃作为黔东南糯小米适宜播种气温指标,能提高糯小米种植的科学合理性,且能有效避免苗期低温风险。

关键词: 糯小米, 播种指标, 气温, 地温, 黔东南

Abstract:

The aim is to identify the optimum temperature indicators during sowing period of waxy foxtail millet that are consistent with production and meteorological forecast services. Using daily air temperature and 5 cm soil temperature data from national meteorological observation stations in core planting areas (Huangping, Shibing, Zhenyuan) from 2015-2024, the paper calculated the first occurrence dates of 12℃, 13℃, 14℃ and 15℃ thresholds using a 5-day moving average and curve method. The relationship between air temperature and shallow soil temperature was analyzed using absolute difference and correlation coefficient methods. The stability of the differences between these thresholds and the first occurrence of 5 cm soil temperature ≥15℃ was assessed using coefficient of variation (CV), and the optimum air temperature indicator for sowing was selected based on minimum standard deviation and CV instead of the soil temperature indicator in production. The results showed that, in the core planting area of southeastern Guizhou, daily average 5 cm soil temperature showed a significant positive correlation with air temperature, with the strongest influence from daily average air temperature; the optimum sowing time varied annually: spring temperature warmed up early, sowing could be carried out at the end of March or the beginning of April, in years when late spring cold snaps were severe, sowing could only be done in late April; the differences between 5 cm soil temperature ≥15℃ and air temperature ≥13℃ had the smallest average and standard deviation; the CV of differences between thresholds and soil temperature ≥15℃ ranged from -2.528 to 1.713. In a word, based on the closest timing and highest stability between soil and air temperature indicators, the average air temperature ≥13℃ is recommended as the optimum temperature indicator during sowing of waxy foxtail millet in southeastern Guizhou. This approach enhances the scientific rationality of planting and effectively mitigates low-temperature risks at seedling-stage.

Key words: waxy foxtail millet, sowing indicator, air temperature, soil temperature, southeastern Guizhou

中图分类号: