中国农学通报 ›› 2025, Vol. 41 ›› Issue (30): 8-17.doi: 10.11924/j.issn.1000-6850.casb2025-0127
王娜娜1(
), 何宗均2, 董昱辰3, 路垚2(
), 路来风1, 赵琳娜2, 沈晓梅3
收稿日期:2025-02-24
修回日期:2025-04-15
出版日期:2025-10-25
发布日期:2025-11-04
通讯作者:
作者简介:王娜娜,女,1999年出生,内蒙古乌海人,在读研究生,主要从事土壤微生物方向的研究。通信地址:300457 天津经济技术开发区第十三大街29号-逸夫楼,天津科技大学食品科学与工程学院,Tel:022-60912584,E-mail:wangnana0325@163.com。
基金资助:
WANG Nana1(
), HE Zongjun2, DONG Yuchen3, LU Yao2(
), LU Laifeng1, ZHAO Linna2, SHEN Xiaomei3
Received:2025-02-24
Revised:2025-04-15
Published:2025-10-25
Online:2025-11-04
摘要:
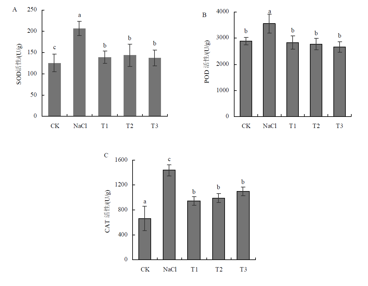
土壤盐碱化作为制约农业生产的全球性生态难题,其生物修复技术备受关注。本研究聚焦耐盐促生微生物的开发与应用,从天津典型盐碱土中筛选出3株具有显著促生功能的耐盐菌株(WQ-08、WQ-26、BH-39),经16S rRNA基因序列分析分别鉴定为枯草芽孢杆菌(Bacillus subtilis)、巨大普斯里斯特氏菌(Priestia megaterium)和短小芽孢杆菌(B. pumilus)。通过砂培模拟实验,探究其在100 mmol/L NaCl盐胁迫下对玉米幼苗(MC812)的缓解效应。结果显示,接种上述菌株可有效逆转盐胁迫导致玉米幼苗MC812的生长抑制,其中WQ-08处理组的株高、茎叶和根干重较其他处理分别提升33.32%、37.04%和36.84%;BH-39处理组根长、茎叶和根鲜重较其他处理分别增加27.33%、29.35%和30.55%。生理指标表明,各处理组玉米幼苗抗氧化酶活性显著降低,如玉米幼苗超氧化物歧化酶(SOD)活性下降9.77%、5.60%和7.71%,过氧化物酶(POD)活性下降了20.44%、22.24%和25.27%,过氧化氢酶(CAT)活性下降了34.46%、31.27%和23.28%(P<0.05)。研究表明,3株菌株兼具耐盐性与促生能力,可有效缓解玉米幼苗盐胁迫损伤,为盐碱地作物改良提供了潜在微生物资源。
王娜娜, 何宗均, 董昱辰, 路垚, 路来风, 赵琳娜, 沈晓梅. 耐盐碱菌株的筛选及其对玉米幼苗促生效果的评估[J]. 中国农学通报, 2025, 41(30): 8-17.
WANG Nana, HE Zongjun, DONG Yuchen, LU Yao, LU Laifeng, ZHAO Linna, SHEN Xiaomei. Screening of Salt-Alkali-Tolerant Bacterial Strains and Evaluation of Their Growth-Promoting Effects on Maize Seedlings[J]. Chinese Agricultural Science Bulletin, 2025, 41(30): 8-17.
| 菌株编号 | NaCl浓度/(g/L) | |||||||
|---|---|---|---|---|---|---|---|---|
| 30 | 50 | 70 | 90 | 110 | 130 | 150 | 180 | |
| WQ-08 | + | + | + | + | + | + | + | + |
| JH-12 | + | + | + | + | + | - | - | - |
| NH-31 | + | + | + | + | + | + | + | - |
| BH-43 | + | + | + | + | + | - | - | - |
| WQ-26 | + | + | + | + | + | + | + | + |
| JH-19 | + | + | + | + | + | + | - | - |
| NH-51 | + | + | + | + | + | + | + | - |
| BH-39 | + | + | + | + | + | + | + | + |
| 菌株编号 | NaCl浓度/(g/L) | |||||||
|---|---|---|---|---|---|---|---|---|
| 30 | 50 | 70 | 90 | 110 | 130 | 150 | 180 | |
| WQ-08 | + | + | + | + | + | + | + | + |
| JH-12 | + | + | + | + | + | - | - | - |
| NH-31 | + | + | + | + | + | + | + | - |
| BH-43 | + | + | + | + | + | - | - | - |
| WQ-26 | + | + | + | + | + | + | + | + |
| JH-19 | + | + | + | + | + | + | - | - |
| NH-51 | + | + | + | + | + | + | + | - |
| BH-39 | + | + | + | + | + | + | + | + |
| 菌株编号 | pH | |||||
|---|---|---|---|---|---|---|
| 8.0 | 9.0 | 10.0 | 11.0 | 12.0 | 13.0 | |
| WQ-08 | + | + | + | + | + | + |
| JH-12 | + | + | + | - | - | - |
| NH-31 | + | + | + | + | + | - |
| BH-43 | + | + | + | + | - | - |
| WQ-26 | + | + | + | + | + | + |
| JH-19 | + | + | + | - | - | - |
| NH-51 | + | + | + | + | - | - |
| BH-39 | + | + | + | + | + | - |
| 菌株编号 | pH | |||||
|---|---|---|---|---|---|---|
| 8.0 | 9.0 | 10.0 | 11.0 | 12.0 | 13.0 | |
| WQ-08 | + | + | + | + | + | + |
| JH-12 | + | + | + | - | - | - |
| NH-31 | + | + | + | + | + | - |
| BH-43 | + | + | + | + | - | - |
| WQ-26 | + | + | + | + | + | + |
| JH-19 | + | + | + | - | - | - |
| NH-51 | + | + | + | + | - | - |
| BH-39 | + | + | + | + | + | - |
| 菌株编号 | NaCl 100 g/L pH 8.0 | NaCl 130 g/L pH 11.0 | NaCl 180 g/L pH 12.0 |
|---|---|---|---|
| WQ-08 | + | + | + |
| JH-12 | + | - | - |
| NH-31 | + | + | - |
| BH-43 | + | - | - |
| WQ-26 | + | + | + |
| JH-19 | + | + | - |
| NH-51 | + | - | - |
| BH-39 | + | + | + |
| 菌株编号 | NaCl 100 g/L pH 8.0 | NaCl 130 g/L pH 11.0 | NaCl 180 g/L pH 12.0 |
|---|---|---|---|
| WQ-08 | + | + | + |
| JH-12 | + | - | - |
| NH-31 | + | + | - |
| BH-43 | + | - | - |
| WQ-26 | + | + | + |
| JH-19 | + | + | - |
| NH-51 | + | - | - |
| BH-39 | + | + | + |
| 菌株编号 | 固氮能力 | 溶磷能力 | 解钾能力 | 产铁载体能力 | 产EPS能力 | 产ACC脱氨酶能力 |
|---|---|---|---|---|---|---|
| WQ-08 | + | + | + | + | ++ | + |
| JH-12 | ++ | + | + | - | + | + |
| NH-31 | + | + | + | + | + | - |
| BH-43 | - | + | - | + | - | - |
| WQ-26 | ++ | ++ | ++ | + | ++ | + |
| JH-19 | - | + | - | - | + | - |
| NH-51 | + | ++ | + | ++ | + | - |
| BH-39 | + | ++ | ++ | + | ++ | + |
| 菌株编号 | 固氮能力 | 溶磷能力 | 解钾能力 | 产铁载体能力 | 产EPS能力 | 产ACC脱氨酶能力 |
|---|---|---|---|---|---|---|
| WQ-08 | + | + | + | + | ++ | + |
| JH-12 | ++ | + | + | - | + | + |
| NH-31 | + | + | + | + | + | - |
| BH-43 | - | + | - | + | - | - |
| WQ-26 | ++ | ++ | ++ | + | ++ | + |
| JH-19 | - | + | - | - | + | - |
| NH-51 | + | ++ | + | ++ | + | - |
| BH-39 | + | ++ | ++ | + | ++ | + |
| 项目 | CK | NaCl | T1(NaCl+WQ-08) | T2(NaCl+WQ-26) | T3(NaCl+BH-39) |
|---|---|---|---|---|---|
| 株高/cm | 22.621±0.038b | 17.285±0.007c | 25.924±0.136a | 23.476±0.029a | 24.213±0.012a |
| 根长/cm | 6.326±0.033b | 5.281±0.028c | 6.725±0.036b | 6.524±0.006b | 7.26±0.0124a |
| 茎叶鲜重/g | 1.008±0.025b | 0.799±0.033c | 1.117±0.012b | 1.128±0.055b | 1.131±0.055a |
| 根鲜重/g | 0.028±0.001b | 0.025±0.006c | 0.032±0.001a | 0.029±0.006a | 0.036±0.007b |
| 茎叶干重/g | 0.072±0.003a | 0.051±0.004b | 0.081±0.006a | 0.077±0.011a | 0.079±0.009a |
| 根干重/g | 0.017±0.001b | 0.012±0.006c | 0.019±0.009a | 0.015±0.001b | 0.018±0.007a |
| SPAD值 | 24.268±0.432a | 21.334±0.286b | 25.725±0.672a | 24.232±0.954a | 23.367±1.212a |
| 项目 | CK | NaCl | T1(NaCl+WQ-08) | T2(NaCl+WQ-26) | T3(NaCl+BH-39) |
|---|---|---|---|---|---|
| 株高/cm | 22.621±0.038b | 17.285±0.007c | 25.924±0.136a | 23.476±0.029a | 24.213±0.012a |
| 根长/cm | 6.326±0.033b | 5.281±0.028c | 6.725±0.036b | 6.524±0.006b | 7.26±0.0124a |
| 茎叶鲜重/g | 1.008±0.025b | 0.799±0.033c | 1.117±0.012b | 1.128±0.055b | 1.131±0.055a |
| 根鲜重/g | 0.028±0.001b | 0.025±0.006c | 0.032±0.001a | 0.029±0.006a | 0.036±0.007b |
| 茎叶干重/g | 0.072±0.003a | 0.051±0.004b | 0.081±0.006a | 0.077±0.011a | 0.079±0.009a |
| 根干重/g | 0.017±0.001b | 0.012±0.006c | 0.019±0.009a | 0.015±0.001b | 0.018±0.007a |
| SPAD值 | 24.268±0.432a | 21.334±0.286b | 25.725±0.672a | 24.232±0.954a | 23.367±1.212a |
| [1] |
张红, 王文浩, 刘文俊, 等. 向日葵对盐碱胁迫的响应机制及缓解措施研究进展[J]. 山西农业科学, 2020, 48(2):4.
|
| [2] |
赵英, 王丽, 赵惠丽, 等. 滨海盐碱地改良研究现状及展望[J]. 中国农学通报, 2022, 38(3):67-74.
doi: 10.11924/j.issn.1000-6850.casb2021-0255 |
| [3] |
武芳, 李勇, 路兆军. 盐碱土壤中微生物菌株的分离、筛选与功能评价[J]. 安徽农学通报, 2019, 25(23):24-27,35.
|
| [4] |
刘根学. 盐碱地改良技术在滨海公园绿化中的应用[J]. 中国高新科技, 2018(8):51-53.
|
| [5] |
赵廷伟, 彭轶楠, 梁燕, 等. 耐盐碱微生物菌种的筛选鉴定及其功能性与促生性[J]. 微生物学通报, 2022, 49(10):4033-4047.
|
| [6] |
赵作章, 陈劲松, 彭尔瑞, 等. 土壤盐渍化及治理研究进展[J]. 中国农村水利水电, 2023(6):202-208.
doi: 10.12396/znsd.221319 |
| [7] |
张典利, 孟臻, 亓文哲, 等. 植物根际促生菌的研究与应用现状[J]. 世界农药, 2018, 40(6):37-43,50.
|
| [8] |
|
| [9] |
|
| [10] |
|
| [11] |
|
| [12] |
|
| [13] |
孙雪, 董永华, 王娜, 等. 耐盐碱促生菌的筛选及性能[J]. 生物工程学报, 2020, 36(7):1356-1364.
|
| [14] |
曹晶晶, 熊悯梓, 钞亚鹏, 等. 极耐盐碱固氮菌的分离鉴定及固氮特性研究[J]. 微生物学报, 2021, 61(11):3483-3495.
|
| [15] |
|
| [16] |
|
| [17] |
漫静, 唐波, 邓波, 等. 羊草根际促生菌的分离筛选及促生作用研究[J]. 草业学报, 2021, 30(1):59-71.
doi: 10.11686/cyxb2020321 |
| [18] |
万水霞, 李帆, 王静, 等. 溶磷菌剂对玉米幼苗生长及根际土壤细菌群落结构和磷素形态的影响[J]. 中国土壤与肥料, 2024(2):80-88.
|
| [19] |
张雷, 邱路凡, 刘丽红, 等. 一株高效解钾菌的筛选、鉴定及培养条件的优化[J]. 湖北农业科学, 2024, 63(4):30-36.
|
| [20] |
张婷, 游小英. 产铁载体的根际促生菌鉴定及其对月季生长和养分吸收的影响[J]. 江苏农业科学, 2024, 52(4):174-181.
|
| [21] |
常海霞, 李明源, 麦日艳古·亚生, 等. 产胞外多糖多功能促生菌的筛选鉴定及促生评价[J]. 生物技术通报, 2024, 40(3):273-285.
doi: 10.13560/j.cnki.biotech.bull.1985.2023-0942 |
| [22] |
周益帆, 王金斌, 何川, 等. 一株产吲哚乙酸的Bacillus velezensis JB0319的筛选、鉴定及其促生作用[J]. 土壤通报, 2024, 55(1):173-183.
|
| [23] |
张小霞, 王一, 苏萍, 等. 一株嗜盐嗜碱菌属促生菌的分离及功能鉴定[J]. 微生物学通报, 2024, 51(11):4617-4632.
|
| [24] |
|
| [25] |
doi: 10.1139/cjm-2019-0323 pmid: 31714812 |
| [26] |
doi: S0734-9750(16)30106-9 pmid: 27587331 |
| [27] |
|
| [28] |
|
| [29] |
郑娜, 柯林峰, 杨景艳, 等. 来源于污染土壤的植物根际促生细菌对番茄幼苗的促生与盐耐受机制[J]. 应用与环境生物学报, 2018, 24(1):47-52.
|
| [30] |
肖雯丽, 王含瑞, 王梦亮, 等. 盐碱胁迫下植物响应机制的研究进展[J]. 中国农学通报, 2024, 40(33):78-85.
doi: 10.11924/j.issn.1000-6850.casb2023-0775 |
| [31] |
王恩军, 李善家, 韩多红, 等. 中性盐和碱性盐胁迫对黑果枸杞种子萌发及幼苗生长的影响[J]. 干旱地区农业研究, 2014, 32(6):64-69.
|
| [32] |
|
| [33] |
|
| [34] |
李青璞, 白建海, 姚拓, 等. 盐胁迫下植物根际促生菌对垂穗披碱草生长及生理生化的影响[J]. 草原与草坪, 2024, 44(5):115-123.
|
| [1] | 梁文召, 周诗意, 韦瑞燕, 石琳亚, 刘乃新, 于清涛. 氧化石墨烯引发对盐胁迫下水稻种子萌发的影响[J]. 中国农学通报, 2025, 41(9): 1-7. |
| [2] | 黄文茵, 张白鸽, 常静静, 陈潇, 李静, 陈雷, 赵俊宏, 罗谋雄, 宋钊. 外源肌醇对盐胁迫下番茄产量和品质的影响[J]. 中国农学通报, 2025, 41(9): 73-80. |
| [3] | 张宇羽, 王香宁, 曾雪娇, 官洁, 张毅, 李冰, 蔡艳. 控释氮肥与尿素配施对川东套作春玉米氮素吸收与利用的影响[J]. 中国农学通报, 2025, 41(8): 25-30. |
| [4] | 薛远赛, 王锡久, 邹士国, 张守福, 刘光亚, 韩伟, 孙显. 复合寡糖对山东典型作物产量的影响[J]. 中国农学通报, 2025, 41(8): 50-56. |
| [5] | 李梦寒, 胡文平, 董鑫, 普布桑珠, 宗巴吉. 种植密度和收获时期对林芝市粮饲通用型玉米产量的影响[J]. 中国农学通报, 2025, 41(7): 9-14. |
| [6] | 李相花, 范彩英, 徐芹, 侯剑, 王慧, 刘艳艳, 王恒, 刘光亚, 韩伟. 不同玉米大豆种植模式对作物产量、经济效益与土壤养分的影响[J]. 中国农学通报, 2025, 41(6): 22-28. |
| [7] | 田沁雨, 胡华兵, 王荣华, 王茂芊. L-抗坏血酸浸种对盐胁迫下甜菜种子萌发的影响[J]. 中国农学通报, 2025, 41(6): 53-59. |
| [8] | 孙广涛, 包桂荣, 邰继承, 萨如拉, 刘乃嘉, 于淼, 李安宁. 玉米花生间作对作物及土壤特性的影响[J]. 中国农学通报, 2025, 41(5): 7-12. |
| [9] | 李文宗, 许一凡, 陈建华, 胡超, 王贞, 黄雅敏. 富铁锌高叶酸玉米的创制及加工贮藏方法的探究[J]. 中国农学通报, 2025, 41(5): 135-142. |
| [10] | 陈朝辉, 魏廷邦. 水肥耦合对玉米光合作用、干物质积累量和产量的影响[J]. 中国农学通报, 2025, 41(4): 1-9. |
| [11] | 罗静, 杜珊珊, 孙绘健, 姚青青, 何忠盛, 王东力. 陆地棉种质资源种子萌发期耐盐性综合评价[J]. 中国农学通报, 2025, 41(3): 25-35. |
| [12] | 刘威, 蔡卫佳, 王昊, 罗桂杰, 刘旭. 食叶草研究进展[J]. 中国农学通报, 2025, 41(3): 36-41. |
| [13] | 颜栋, 张军强, 钟月华, 冯冰, 吴华山, 马洪波. 椰糠覆盖对小麦产量、盐碱地土壤理化性质及细菌群落结构的影响[J]. 中国农学通报, 2025, 41(29): 63-68. |
| [14] | 高铭阳, 沙野, 胡文朗, 黄怡, 张净然, 隋新华, 米国华. 不同促根壮苗技术对东北低洼地玉米生长和产量的影响[J]. 中国农学通报, 2025, 41(29): 7-14. |
| [15] | 王瑞萍, 李亚平, 牛敬, 王富, 王培蓉, 王榕, 夏玉红. 滴灌条件下土壤调理剂对土壤理化性状及向日葵产量的影响[J]. 中国农学通报, 2025, 41(28): 94-101. |
| 阅读次数 | ||||||
|
全文 |
|
|||||
|
摘要 |
|
|||||