欢迎访问《中国农学通报》,

中国农学通报 ›› 2025, Vol. 41 ›› Issue (28): 94-101.doi: 10.11924/j.issn.1000-6850.casb2025-0149

• 资源·环境·生态·土壤·气象 • 上一篇    下一篇

滴灌条件下土壤调理剂对土壤理化性状及向日葵产量的影响

王瑞萍(), 李亚平, 牛敬, 王富, 王培蓉, 王榕, 夏玉红()   

  1. 巴彦淖尔市水利科学研究所,内蒙古巴彦淖尔 015000
  • 收稿日期:2025-02-24 修回日期:2025-08-18 出版日期:2025-10-05 发布日期:2025-10-10
  • 通讯作者:
    夏玉红,女,1970年出生,内蒙古临河人,正高级工程师,学士,主要从事农业灌溉与盐碱地治理。通信地址:015000 内蒙古巴彦淖尔市临河区新华西街水务大楼13层,E-mail:
  • 作者简介:

    王瑞萍,女,1978年出生,内蒙古五原人,正高级工程师,硕士,研究方向:农业灌溉与盐碱地治理。通信地址:015000 内蒙古巴彦淖尔市临河区新华西街水务大楼13层,E-mail:

  • 基金资助:
    国家重点研发计划项目“黄河宁蒙灌区节水—控盐—减污—生态保护技术研究与示范”(2021YFC3201200); 国家重点研发计划项目“灌区节水—控盐—减污—提质和生态保护协同技术集成与示范”(2021YFC3201205); 清华大学—宁夏银川水联网数字治水联合研究院联合开放基金资助项目“滴灌条件下土壤调理剂对河套灌区盐碱地水盐调控及改良效果的研究”(sklhse-2023-Iow03)

Effects of Soil Conditioner on Physicochemical Properties of Soil and Sunflower Yield Under Drip Irrigation

WANG Ruiping(), LI Yaping, NIU Jing, WANG Fu, WANG Peirong, WANG Rong, XIA Yuhong()   

  1. Bayannur Water Conservancy Science Research Institute, Bayannur, Inner Mongolia 015000
  • Received:2025-02-24 Revised:2025-08-18 Published:2025-10-05 Online:2025-10-10

摘要:

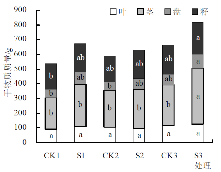
针对内蒙古河套灌区土壤盐化和碱化并存的问题,于2023—2024年开展大田试验,探究滴灌条件下不同类型土壤调理剂对盐碱化耕地土壤理化性状及向日葵产量的影响,为盐碱地改良提供依据。采用膜下滴灌水肥一体化方式,施用3种代表性土壤调理剂(微生物菌剂、酸性有机调理剂施地佳、复合调理剂益百稼),结合合理的施肥,系统分析其对0~60 cm土层盐碱化土壤理化性状指标及向日葵产量构成要素的影响。结果表明,相较于对照,各调理剂处理均显著降低土壤的容重、pH、全盐含量、碱化度。其中,施用微生物菌剂的处理土壤容重下降幅度最明显,降低幅度为1.89%;施用施地佳处理的全盐含量和碱化度下降最明显,降幅分别为27.06%、14.02%,土壤全氮、有效磷、速效钾含量均有不同程度的提高;施用益百稼处理的土壤全氮、有效磷、速效钾含量增加较明显,增幅分别为21.30%、36.63%、14.95%;向日葵的干物质质量和产量也有不同程度的增加,干物质质量增幅为6.60%~25.79%,产量增幅为6.77%~14.08%,施用施地佳和微生物菌剂的增产效果比益百稼显著。总体而言,微生物菌剂更有利于改善土壤结构,酸性有机土壤调理剂降盐除碱效果突出。建议基于调理剂成分、性能和土壤盐碱障碍类型优化组合应用策略。

关键词: 河套灌区, 土壤调理剂, 盐碱化, 产量, 土壤

Abstract:

In response to the coexistence of soil salinization and alkalization in the Hetao irrigation area of Inner Mongolia, this study investigated the comprehensive effects of different types of soil conditioners on salt and alkali reduction under drip irrigation conditions and its impact on sunflower yield in saline-alkali cultivated land. Three representative soil conditioner products (microbial agents, acidic organic conditioner Shidijia, compound conditioner Yibaijia) were selected, and drip irrigation was used as supply method of the water and conditioners. Combined with reasonable fertilization measures, field experiments were conducted to analyze the effects of different types of conditioners on the physicochemical properties of saline-alkali soil and the components of sunflower yield. The results showed that compared with the control, the bulk density, pH, total salt content, and alkalinity of the soil in the 0-60 cm soil layer decreased to varying degrees after the application of soil conditioners. Among them, the treatment with microbial agents showed the most significant decrease in soil bulk density of 1.89%; the treatment with Shidijia showed the most significant decrease in total salt content and alkalinity of 27.06% and 14.02% respectively, and the contents of total nitrogen, available phosphorus and available potassium in the soil increased to varying degrees; the treatment with Yibaijia had the more significant increase in the contents of total nitrogen, available phosphorus, and available potassium in the soil of 21.30%, 36.63% and 14.95% respectively; the dry matter and yield of sunflowers also increased to varying degrees, with an increase in dry matter mass of 6.60% to 25.79% and an increase in yield of 6.77% to 14.08%. The treatment with Shidijia and microbial agents had a more significant yield-increasing effect than Yibaijia. Overall, microbial agents were more conducive to improving soil structure, and acidic organic soil conditioners were more conducive to reducing soil salinization. It is suggested to optimize the combination application strategy based on the composition and performance of conditioners, and soil saline-alkali obstacle types.

Key words: Hetao irrigation area, soil conditioner products, salinization, yield, soil