欢迎访问《中国农学通报》,

中国农学通报 ›› 2025, Vol. 41 ›› Issue (31): 118-122.doi: 10.11924/j.issn.1000-6850.casb2025-0276

• 植物保护·农药 • 上一篇    下一篇

茶网蝽卵空间分布型及其抽样技术

陈亭旭(), 陈世春, 江宏燕, 廖姝然, 王晓庆()   

  1. 重庆市农业科学院茶叶研究所,重庆 402160
  • 收稿日期:2025-04-10 修回日期:2025-10-13 出版日期:2025-11-05 发布日期:2025-11-07
  • 通讯作者:
    王晓庆,女,1982年出生,内蒙古乌市人,研究员,博士,主要从事茶树害虫测报与综合防控研究。通信地址:402160 重庆永川区桂山路2号 茶叶研究所,E-mail:
  • 作者简介:

    陈亭旭,女,1990年出生,贵州遵义人,助理研究员,硕士,主要从事茶树害虫综合防治研究。通信地址:402160 重庆永川区桂山路2号 茶叶研究所,E-mail:

  • 基金资助:
    财政部和农业农村部“国家现代农业产业技术体系”(CARS-19)

Spatial Distribution Pattern and Sampling Technique of Stephanitis chinensis Egg

CHEN Tingxu(), CHEN Shichun, JIANG Hongyan, LIAO Shuran, WANG Xiaoqing()   

  1. Tea Research Institute, Chongqing Academy of Agricultural Sciences, Chongqing 402160
  • Received:2025-04-10 Revised:2025-10-13 Published:2025-11-05 Online:2025-11-07

摘要:

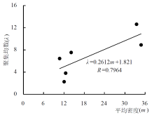
为明确茶网蝽(Stephanitis chinensis)空间分布型及抽样技术,采用6种聚集度指标、Taylor幂法则和Iwao的回归方程分析茶园中茶网蝽卵的空间分布型,同时对茶网蝽卵聚集原因和最适理论抽样数进行分析与计算。结果显示,茶网蝽卵呈密度依赖性负二项聚集分布,基本成分为单个个体,个体间相互排斥,其聚集是由其生活习性与周围环境共同引起的。当防治阈值为6粒/叶、分布临界值为1.96时,防治上、下限方程分别为 T 1 ( n ) = 6 n + 15 . 3478 n T 0 ( n ) = 6 n - 15 . 3478 n,百叶卵量达753粒以上需进行防治。本研究运用茶网蝽卵空间分布型参数建立Iwao理论抽样数模型,从而明确最适理论抽样数和序贯抽样表,可为茶网蝽卵种群密度的准确调查和预测提供参考。

关键词: 茶树, 茶网蝽, 卵, 空间分布, 聚集度指标, 聚集, 抽样技术

Abstract:

To clarify the spatial distribution pattern and sampling techniques of Stephanitis chinensis egg, this study analyzed the spatial distribution of S. chinensis egg in tea plantations using six aggregation indices, Taylor’s power law, and Iwao’s regression model. The aggregation causes and the optimal theoretical sampling number were further investigated. The results demonstrated that S. chinensis egg exhibited a density-dependent negative binomial aggregated distribution, where the basic component of the distribution was individual egg, and mutual repulsion was observed among individuals. The aggregation was jointly driven by the insect’s life history traits and environmental factors. When the control threshold was set at 6 eggs per leaf and the confidence level parameter was 1.96, the upper and lower limit equations were T 1 ( n ) = 6 n + 15 . 3478 n and T 0 ( n ) = 6 n - 15 . 3478 n, indicating that chemical intervention is required when the egg density exceeds 753 eggs per 100 leaves. By utilizing the spatial distribution parameters of S. chinensis egg, an Iwao’s theoretical sampling model was established to determine the optimal sampling number and sequential sampling table. This provides a methodological reference for accurate field density surveys and population prediction of S. chinensis eggs in tea plantations.

Key words: tea plant, Stephanitis chinensis, egg, spatial distribution, aggregation index, gathering, sampling technique