欢迎访问《中国农学通报》,

中国农学通报 ›› 2025, Vol. 41 ›› Issue (31): 111-117.doi: 10.11924/j.issn.1000-6850.casb2025-0342

• 植物保护·农药 • 上一篇    下一篇

松材线虫对高温胁迫的耐受性研究

喻锦秀1(), 谢衡花2, 黄清3, 李密1, 谢逸菲1, 邓婉1, 寻标兵4, 李强4, 何振1()   

  1. 1 湖南省林业科学院,长沙 410004
    2 永州市林业局,湖南永州 425300
    3 中南林业科技大学,长沙 410004
    4 浏阳市林业局,湖南浏阳 410399
  • 收稿日期:2025-04-28 修回日期:2025-09-10 出版日期:2025-11-05 发布日期:2025-11-07
  • 通讯作者:
    何振,男,1976年出生,湖南永州人,研究员,博士,研究方向:林业有害生物防治。通信地址:410004 湖南省长沙市韶山南路658号 湖南省林业科学院,E-mail:
  • 作者简介:

    喻锦秀,女,1979年出生,湖南岳阳人,副研究员,博士,主要从事林业有害生物综合防控技术研究。通信地址:410004 湖南省长沙市韶山南路658号 湖南省林业科学院,E-mail:

  • 基金资助:
    湖南省林业科技创新项目“松材线虫病疫木微波除害处理技术研究”(XLSF2025001)

Study on Tolerance of Pine Wood Nematodes to High Temperature Stress

YU Jinxiu1(), XIE Henghua2, HUANG Qing3, LI Mi1, XIE Yifei1, DENG Wan1, XUN Biaobing4, LI Qiang4, HE Zhen1()   

  1. 1 Hunan Academy of Forestry, Changsha 410004
    2 Yongzhou Forestry Bureau, Yongzhou, Hunan 425300
    3 Central South University of Forestry and Technology, Changsha 410004
    4 Liuyang Forestry Bureau, Liuyang, Hunan 410399
  • Received:2025-04-28 Revised:2025-09-10 Published:2025-11-05 Online:2025-11-07

摘要:

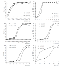
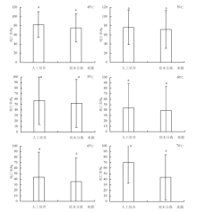
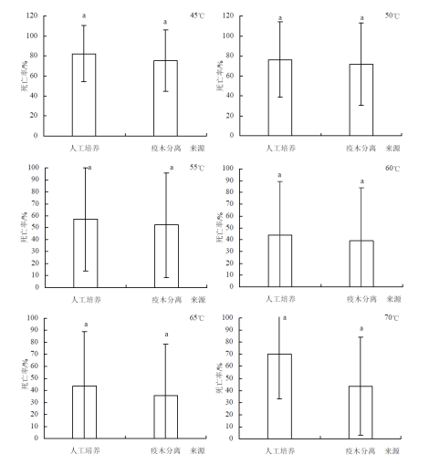
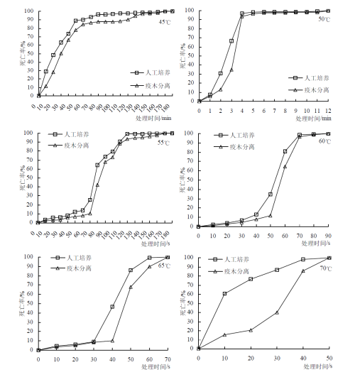
为系统研究松材线虫对高温胁迫的耐受性,分别设置40、45、50、55、60、65、70℃的水浴环境,测试人工培养和疫木中分离2种来源松材线虫在不同温度下存活的时间,以室温下对照组对比线虫活性变化。结果表明,在40℃的低强度高温胁迫下,2种来源的松材线虫最长存活时间均可达10 d,幼虫的耐受能力明显低于成虫,持续加热2 d后2种来源的松材线虫幼虫死亡率均达99%以上,但是成虫的死亡率在持续加热6 d后才达到90%左右。45、50、55、60、65、70℃高温水浴条件下人工培养和疫木分离的松材线虫存活时间上限一致,均为180 min、12 min、3 min、2 min、70 s、50 s,疫木分离的松材线虫高温耐受性要强于人工培养的松材线虫,但存活时间上限一致,无显著差异(P>0.05)。研究认为,在55~70℃的热处理条件下,松材线虫的存活时间上限为50~180 s,该结果可为松材线虫病疫木热处理和微波辐射处理提供依据。

关键词: 松材线虫, 高温胁迫, 耐受性, 疫木安全处理, 微波除害处理

Abstract:

To systematically study the tolerance of pine wood nematodes (Bursaphelenchus xylophilus) isolated from artificially cultivated and infected wood to high temperature stress, water bath environments at 40, 45, 50, 55, 60, 65 and 70℃ were set up to test the upper survival time limit of the two types of pine wood nematodes at different temperatures, and set a water bath control group at standard room temperature to observe the changes in its activity. The results showed that under low-intensity high temperature stress at 40℃, the longest survival time of both sources of pine wood nematodes could reach 10 days. The tolerance of larvae was significantly lower than that of adults. After being heated continuously for 2 days, the mortality rate of larvae from both sources reached over 99%, but the mortality rate of adults reached 90% only after being heated continuously for 6 days. Under high temperature water bath conditions at 45, 50, 55, 60, 65 and 70℃, the upper survival time limits of pine wood nematodes isolated from artificially cultivation and infected wood were the same, both being 180 minutes, 15 minutes, 3 minutes, 2 minutes, 70 seconds, and 50 seconds, respectively. The high temperature tolerance of pine wood nematodes isolated from infected wood was stronger than that of artificially cultivation, but their upper survival time limits were consistent, with no significant difference (P>0.05). This study indicates that under heat treatment conditions of 55-70℃, the upper survival time limit of pine wood nematodes is 50 seconds to 180 seconds, providing a scientific basis for heat treatment and microwave radiation treatment of infected wood.

Key words: Bursaphelenchus xylophilus, high temperature stress, tolerance, safe disposal of infected wood, microwave pest control treatment