中国农学通报 ›› 2025, Vol. 41 ›› Issue (33): 96-103.doi: 10.11924/j.issn.1000-6850.casb2025-0363
李大命1(
), 刘燕山1, 钟立强1, 王超群1, 王庆2, 代培1, 俞雅文1
收稿日期:2025-04-30
修回日期:2025-09-24
出版日期:2025-11-25
发布日期:2025-12-01
作者简介:李大命,男,1981年出生,河南汝南人,研究员,博士,主要从事水生生物监测评估和外来水生生物防控。通信地址:210017 江苏省南京市建邺区南湖东路90号 江苏省淡水水产研究所,Tel:025-86581574,E-mail:ldm8212@126.com。
基金资助:
LI Daming1(
), LIU Yanshan1, ZHONG Liqiang1, WANG Chaoqun1, WANG Qing2, DAI Pei1, YU Yawen1
Received:2025-04-30
Revised:2025-09-24
Published:2025-11-25
Online:2025-12-01
摘要:
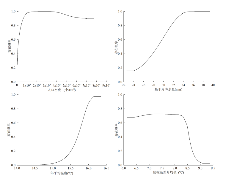
为探明福寿螺在南京地区的潜在适生区域及其关键影响因素,本研究整合了该物种在南京的地理分布点位数据和相关环境变量,基于最大熵(Maximum entropy, MaxEnt)模型,预测了当前和未来不同气候情境下其在南京的潜在地理分布格局。结果表明,MaxEnt模型预测精确度较高(AUC值为0.868±0.031),预测结果可信;人口密度、最干月降水量、年均温度和昼夜温差月均值是影响福寿螺潜在地理分布的关键环境因子,累计贡献率达86.0%;当前气候条件下,福寿螺在南京的潜在适生区主要集中在长江沿岸及南部地区,总面积约3071.4 km2。在未来3个时期(2041—2060、2061—2080、2081—2100年)和3种共享经济社会发展路径(SSP126、SSP245、SSP585)条件下,福寿螺在南京的潜在适生区范围将持续扩大,尤其是高度适生区面积会明显增加。因此,亟需采取措施加强福寿螺的管理和防治。本研究结果可为南京市福寿螺的监测、预警及管理策略提供科学参考。
李大命, 刘燕山, 钟立强, 王超群, 王庆, 代培, 俞雅文. 基于最大熵模型预测当前及未来气候情景下福寿螺在南京的潜在地理分布[J]. 中国农学通报, 2025, 41(33): 96-103.
LI Daming, LIU Yanshan, ZHONG Liqiang, WANG Chaoqun, WANG Qing, DAI Pei, YU Yawen. Potential Geographical Distribution of Pomacea canaliculata in Nanjing Under Current and Future Climate Scenarios Based on Maximum Entropy Model[J]. Chinese Agricultural Science Bulletin, 2025, 41(33): 96-103.
| 未来时期 | SSP126 | SSP245 | SSP585 |
|---|---|---|---|
| 2041—2060年 | 0.860±0.037 | 0.857±0.042 | 0.862±0.052 |
| 2061—2080年 | 0.876±0.034 | 0.865±0.042 | 0.856±0.066 |
| 2081—2100年 | 0.852±0.040 | 0.866±0.037 | 0.852±0.022 |
| 未来时期 | SSP126 | SSP245 | SSP585 |
|---|---|---|---|
| 2041—2060年 | 0.860±0.037 | 0.857±0.042 | 0.862±0.052 |
| 2061—2080年 | 0.876±0.034 | 0.865±0.042 | 0.856±0.066 |
| 2081—2100年 | 0.852±0.040 | 0.866±0.037 | 0.852±0.022 |
| 环境变量 | 贡献率/% | 置换重要值/% |
|---|---|---|
| population | 37.9 | 8.6 |
| bio14 | 21.6 | 4.0 |
| bio1 | 17.4 | 20.3 |
| bio2 | 9.1 | 27.8 |
| elevation | 2.7 | 4.9 |
| bio13 | 2.7 | 8.1 |
| bio9 | 2.3 | 10.6 |
| bio8 | 2.2 | 5.1 |
| bio12 | 2.2 | 5.6 |
| bio18 | 2.1 | 4.9 |
| 环境变量 | 贡献率/% | 置换重要值/% |
|---|---|---|
| population | 37.9 | 8.6 |
| bio14 | 21.6 | 4.0 |
| bio1 | 17.4 | 20.3 |
| bio2 | 9.1 | 27.8 |
| elevation | 2.7 | 4.9 |
| bio13 | 2.7 | 8.1 |
| bio9 | 2.3 | 10.6 |
| bio8 | 2.2 | 5.1 |
| bio12 | 2.2 | 5.6 |
| bio18 | 2.1 | 4.9 |
| 地理分布 | SSP126 | SSP245 | SSP585 | ||||||||
|---|---|---|---|---|---|---|---|---|---|---|---|
| 2041—2060 | 2061—2080 | 2081—2100 | 2041—2060 | 2061—2080 | 2081—2100 | 2041—2060 | 2061—2080 | 2081—2100 | |||
| 非适生区 | 1215.5 | 2242.7 | 2523.3 | 93.8 | 50.2 | 1935.2 | 116.3 | / | / | ||
| 低适生区 | 392.6 | 751.0 | 1092.6 | 112.7 | 371.5 | 899.3 | 204.3 | 29.8 | / | ||
| 中适生区 | 937.1 | 1247.5 | 1136.2 | 410.7 | 760.4 | 1461.9 | 729.1 | 489.2 | / | ||
| 高适生区 | 4041.9 | 2345.9 | 1834.9 | 5969.8 | 5404.9 | 2290.7 | 5537.3 | 6068.0 | 6587.0 | ||
| 地理分布 | SSP126 | SSP245 | SSP585 | ||||||||
|---|---|---|---|---|---|---|---|---|---|---|---|
| 2041—2060 | 2061—2080 | 2081—2100 | 2041—2060 | 2061—2080 | 2081—2100 | 2041—2060 | 2061—2080 | 2081—2100 | |||
| 非适生区 | 1215.5 | 2242.7 | 2523.3 | 93.8 | 50.2 | 1935.2 | 116.3 | / | / | ||
| 低适生区 | 392.6 | 751.0 | 1092.6 | 112.7 | 371.5 | 899.3 | 204.3 | 29.8 | / | ||
| 中适生区 | 937.1 | 1247.5 | 1136.2 | 410.7 | 760.4 | 1461.9 | 729.1 | 489.2 | / | ||
| 高适生区 | 4041.9 | 2345.9 | 1834.9 | 5969.8 | 5404.9 | 2290.7 | 5537.3 | 6068.0 | 6587.0 | ||
| [1] |
万方浩, 候有明, 蒋明星. 入侵生物学[M]. 北京: 科学出版社, 2015.
|
| [2] |
陈宝雄, 孙玉芳, 韩智华, 等. 我国外来入侵生物防控现状、问题和对策[J]. 生物安全学报, 2020, 39(3):157-163.
|
| [3] |
董胜张, 俞晓平. 食物种类与饥饿胁迫对福寿螺生长发育的影响[J]. 生物安全学报, 2011, 20(3):213-219.
|
| [4] |
doi: 10.1007/s10530-013-0561-5 URL |
| [5] |
杨叶欣, 胡隐昌, 李小慧, 等. 寿螺在中国的入侵历史、扩散规律和危害的调查分析[J]. 中国农学通报, 2010, 26(5):245-250.
|
| [6] |
郭靖, 章家恩. 福寿螺入侵机制的研究进展[J]. 生态学杂志, 2014, 33(3):806-815.
|
| [7] |
杨代勤, 陈芳, 刘百韬, 等. 福寿螺繁殖和生长的初步研究[J]. 湖北农学院学报, 1994, 14(1):40-44.
|
| [8] |
|
| [9] |
蒲佳佳, 杨平俊, 戴洋, 等. 长江下游外来生物福寿螺的种类及其种群遗传结构[J]. 生物多样性, 2023, 31(3):1-14.
|
| [10] |
doi: 10.1002/ece3.v14.1 URL |
| [11] |
吴帆, 李海云, 赵鑫, 等. 入侵生物福寿螺抗逆性的研究进展[J]. 生物安全学报, 2012, 21(4):262-266.
|
| [12] |
张春霞, 郭靖, 章家恩, 等. 外来入侵生物福寿螺与本地生物的互作影响研究进展[J]. 生态科学, 2017, 36(4):226-235.
|
| [13] |
殷颖璇, 吴银娟, 何晴, 等. 我国主要螺类生物入侵的现状、危害及防治对策[J]. 中国媒介生物学及控制杂志, 2022, 33(2):305-312.
doi: 10.11853/j.issn.1003.8280.2022.02.027 |
| [14] |
李小慧, 胡隐昌, 宋红梅, 等. 中国福寿螺的入侵现状及防治方法研究进展[J]. 中国农学通报, 2009, 25(14):229-232.
|
| [15] |
pmid: 16492190 |
| [16] |
朱耿平, 刘国卿, 卜文俊, 等. 生态位模型的基本原理及其在生物多样性保护中的应用[J]. 生物多样性, 2013, 21(1):90-98.
doi: 10.3724/SP.J.1003.2013.09106 |
| [17] |
肖麒, 章梦婷, 吴翼, 等. 基于生态位模型的外来入侵种克氏原螯虾在中国的适生区预测[J]. 应用生态学报, 2020, 31(1):309-318.
doi: 10.13287/j.1001-9332.202001.029 |
| [18] |
doi: 10.1016/j.ecolmodel.2005.03.026 URL |
| [19] |
万朝阳, 方康, 吴金明, 等. 基于MaxEnt模型预测食蚊鱼在我国的潜在地理分布[J]. 淡水渔业, 2024, 54(1):3-10.
|
| [20] |
doi: 10.1371/journal.pone.0056182 URL |
| [21] |
张海涛, 罗渡, 牟希东, 等. 应用多个生态位模型预测福寿螺在中国的潜在适生区[J]. 生态学报, 2015, 27(4):1277-1284.
|
| [22] |
周宇, 袁雪颖, 杨子轩, 等. 福寿螺入侵中国的扩散动态及潜在分布[J]. 湖泊科学, 2018, 30(5):1379-1387.
|
| [23] |
doi: 10.1007/s10661-017-6124-y URL |
| [24] |
王运生, 谢丙炎, 万方浩, 等. ROC曲线分析在评价入侵物种分布模型中的应用[J]. 生物多样性, 2007, 15(4):365-372.
|
| [25] |
王茹琳, 李庆, 封传红, 等. 基于MaxEnt的西藏飞蝗在中国的适生区预测[J]. 生态学报, 2017, 37(24):8556-8566.
|
| [26] |
张欣, 冯晓, 裴玥, 等. 基于4种生态位模型的橘小实蝇在四川盆地潜在分布区[J]. 中国农学通报, 2024, 40(5):80-87.
doi: 10.11924/j.issn.1000-6850.casb2023-0202 |
| [27] |
王奕晨, 郑鹏, 潘文斌. 运用GARP生态位模型预测福寿螺在中国的潜在适生区[J]. 福建农林大学学报(自然科学版), 2018, 47(1):21-25.
|
| [28] |
范月圆, 高煌杰, 陶少敏, 等. 基于Biomod2组合模型的福寿螺在中国的潜在分布预测[J]. 应用生态学报, 2024, 35(8):2237-2246.
doi: 10.13287/j.1001-9332.202408.024 |
| [29] |
doi: 10.1007/s00027-023-01036-9 |
| [30] |
魏然, 吴承东, 谢洪芳, 等. 入侵有害生物福寿螺在江苏的风险分析[J]. 扬州大学学报(农业和生命科学版), 2021, 42(6):119-124,137.
|
| [31] |
doi: 10.1007/s10750-020-04447-z |
| [32] |
doi: 10.1093/mollus/eyw024 URL |
| [33] |
杨倩倩, 李迦南, 赵星星, 等. 温度对福寿螺生物学特性的影响及高低温适应机制研究进展[J]. 水生生物学报, 2022, 46(11):1754-1760.
|
| [34] |
doi: 10.3390/biology11010110 URL |
| [1] | 张喆, 雷雪双, 刘志, 李兆华, 张劲. 基于Web of Science和CNKI的福寿螺研究文献计量分析[J]. 中国农学通报, 2024, 40(7): 155-164. |
| [2] | 张欣, 冯晓, 裴玥, 王茹琳, 赵金鹏. 基于4种生态位模型的橘小实蝇在四川盆地潜在分布区[J]. 中国农学通报, 2024, 40(5): 80-87. |
| [3] | 张春玲, 杨毅哲, 陈丽丽, 陈瑜, 王佳, 李欣迪, 张献瑞, 史岩, 谢军, 武艺凡, 刘刚. 外来植物节节麦入侵过程中的生态位进化与入侵潜力研究[J]. 中国农学通报, 2024, 40(29): 120-130. |
| [4] | 李维薇, 刘佳妮, 桂富荣, 和淑琪, 陈泉燕, 何桂武, 陈斌. 中国面临外来生物入侵挑战与防控对策研究——以草地贪夜蛾为例[J]. 中国农学通报, 2020, 36(12): 120-126. |
| [5] | 黄 蓉,龚年祖,刘华玮,胡姗姗,段春锋,李 璇. 南京城市化对极端气温的影响[J]. 中国农学通报, 2017, 33(21): 118-125. |
| [6] | 钱久李,林佳炜,林辉苑,黎华寿. 蕉岭地区福寿螺分布与防治措施调查研究[J]. 中国农学通报, 2016, 32(25): 114-118. |
| [7] | 谢佰承,杜东升,陆魁东,段居琦,刘富来. 基于MaxEnt模型湖南双季稻种植气候适宜性分布研究[J]. 中国农学通报, 2015, 31(9): 247-251. |
| [8] | 程天印,曲凌玄,王晓君. 应用PCR-DGGE技术分析福寿螺胃肠道菌群[J]. 中国农学通报, 2015, 31(11): 98-102. |
| [9] | 康小武 全国明 章家恩 严文斌. 入侵植物马缨丹叶片挥发物的化感作用[J]. 中国农学通报, 2014, 30(22): 287-291. |
| [10] | 徐惠 孙玉杰 龚敏飞. 基于村尺度的农村居民点整理时序研究——以南京市六合区为例[J]. 中国农学通报, 2014, 30(14): 179-184. |
| [11] | 封雷 马翠云 吴华清 齐开杰 张绍铃. 不同梨品种需冷量与南京地区促成栽培扣棚时期的比较研究[J]. 中国农学通报, 2013, 29(4): 94-98. |
| [12] | 何铭谦 宋春秀 章家恩 罗明珠 李宏哲 彭莉 李韵. 广东省典型地区福寿螺越冬后的种群密度调查研究[J]. 中国农学通报, 2011, 27(1): 428-432. |
| [13] | 张荣娟 陶卓民. 南京创意农业发展的途径与方法初探[J]. 中国农学通报, 2010, 26(17): 422-426. |
| [14] | 全国明,,章家恩,徐华勤,毛丹鹃,谢俊芳. 外来入侵植物飞机草的生物学特性及控制策略[J]. 中国农学通报, 2009, 25(9): 236-243. |
| [15] | 叶建人,李云明. 福寿螺在水稻田的消长规律及其田间分布动态[J]. 中国农学通报, 2009, 25(3): 185-188. |
| 阅读次数 | ||||||
|
全文 |
|
|||||
|
摘要 |
|
|||||