欢迎访问《中国农学通报》,

中国农学通报 ›› 2025, Vol. 41 ›› Issue (30): 122-130.doi: 10.11924/j.issn.1000-6850.casb2025-0367

• 资源·环境·生态·土壤 • 上一篇    下一篇

稻麦轮作区秸秆还田对土壤性质及小麦产量的影响

吴佳1,2(), 商小兰3, 洪春来1, 姚燕来1, 周瑛2, 朱为静1()   

  1. 1 浙江省农业科学院环境资源与土壤肥料研究所, 杭州 310021
    2 浙江工业大学化学工程学院, 杭州 310014
    3 杭州市农业技术推广中心, 杭州 310020
  • 收稿日期:2025-04-30 修回日期:2025-09-12 出版日期:2025-10-25 发布日期:2025-11-04
  • 通讯作者:
    朱为静,女,1989年出生,湖北仙桃人,助理研究员,博士,主要从事障碍土壤生态修复研究。通信地址:310021 浙江杭州上城区德胜中路298号 浙江省农业科学院2号楼427,Tel:0571-86404079,E-mail:
  • 作者简介:

    吴佳,女,2002年出生,浙江宁波人,硕士,研究方向:废弃物资源化利用研究。通信地址:310021 浙江杭州上城区德胜中路298号 浙江省农业科学院2号楼425,Tel:0571-86404074,E-mail:

  • 基金资助:
    国家重点研发计划“浙江丘陵盆地中低产耕地健康土壤培育与绿色生产关键技术与模式”(2023YFD1902902); 浙江省“三农九方”科技协作计划“秸秆原位颗粒化及多元化利用关键技术”(2024SNJF078); 杭州市农业科技协作与创新攻关项目“农作物秸秆高效还田关键技术研究与应用”(202306TD10)

Effects of Straw Returning on Soil Properties and Wheat Yield in Rice-wheat Rotation Area

WU Jia1,2(), SHANG Xiaolan3, HONG Chunlai1, YAO Yanlai1, ZHOU Ying2, ZHU Weijing1()   

  1. 1 Institute of Environment, Resource, Soil and Fertilizer, Zhejiang Academy of Agricultural Sciences, Hangzhou 310021
    2 School of Chemical Engineering, Zhejiang University of Technology, Hangzhou 310014
    3 Hangzhou Agricultural Technology Extension Center, Hangzhou 310020
  • Received:2025-04-30 Revised:2025-09-12 Published:2025-10-25 Online:2025-11-04

摘要:

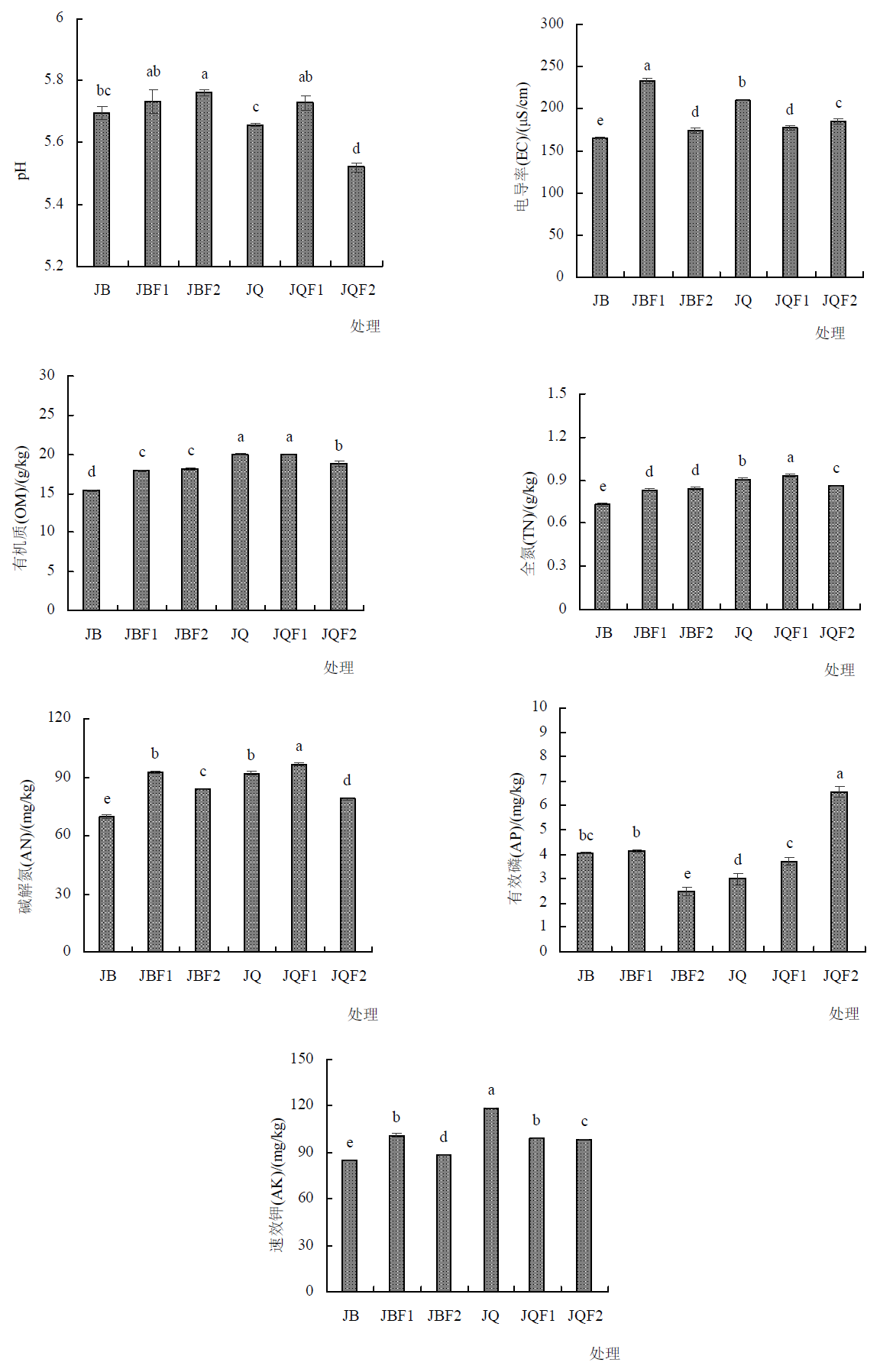
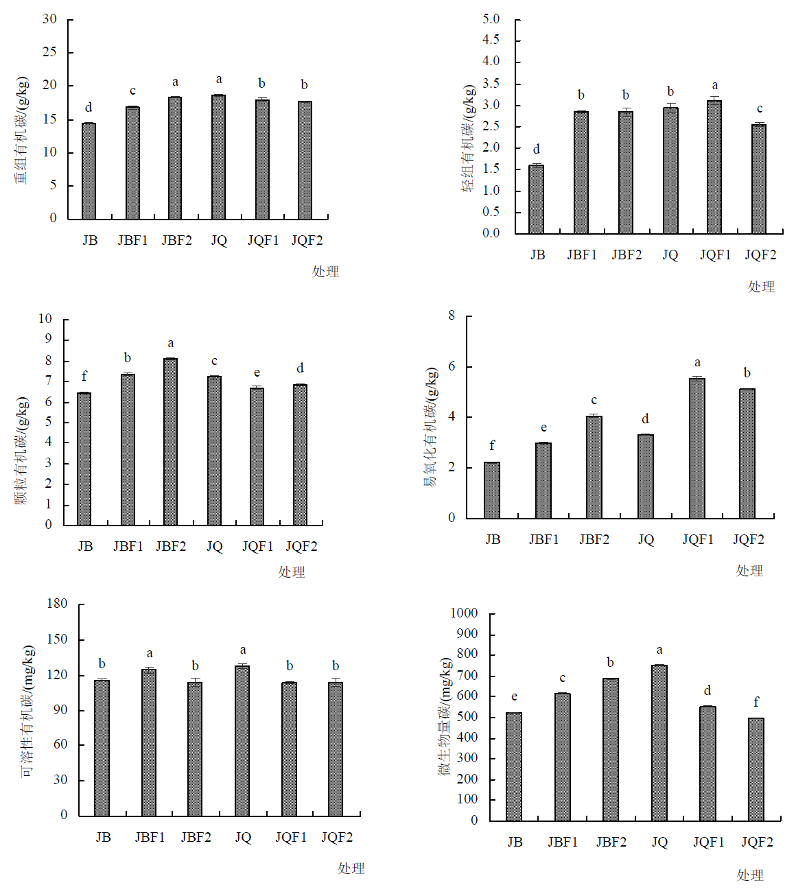
为探究稻麦轮作区水稻秸秆还田对土壤培肥和小麦产量的影响,采用大田小区试验,设置6个处理:1/3秸秆还田(JB)、1/3还田+腐熟剂(湖北产JBF1、山东产JBF2)、全量秸秆还田(JQ)、全量还田+腐熟剂(湖北产JQF1、山东产JQF2),研究0~20 cm表层土壤团聚体结构、化学性质与小麦产量之间的相关性。结果表明:与JB相比,JQ及所有配施腐熟剂处理(JBF1、JBF2、JQF1、JQF2)显著提高了土壤>0.25 mm水稳性大团聚体占比和团聚体稳定性指标(R0.25、平均重量直径MWD、几何平均直径GMD);同时显著提高了土壤电导率(EC)、有机质(OM)、全氮(TN)、有效氮(AN)及速效钾(AK)含量,其中土壤OM的提升主要与重组有机碳(HFOC)、轻组有机碳(LFOC)和易氧化碳(ROC)的积累有关。产量结果显示:与JB或JQ相比,配施腐熟剂能使小麦分别增产16.8%~26.4%和10.1~20.6%,且JQF1处理小麦产量最高。创新发现:全量还田条件下,湖北产腐熟剂(JQF1)效果显著优于山东产(JQF2),较JQF2显著提高>0.25 mm大团聚体含量8.3%、小麦产量5.2%(P<0.05)。相关性分析表明,小麦产量与>0.25 mm团聚体占比、团聚体稳定性、土壤OM、TN及AN含量呈显著正相关。综上,秸秆还田配施腐熟剂实现了土壤培肥与作物增产的协同效应,具体表现为:较JB处理提高土壤>0.25 mm大团聚体含量15.2%、OM含量8.7%、AN含量10.3%,同时小麦产量显著增加12.5%,是稻麦轮作区的优良耕作措施。

关键词: 秸秆还田, 腐熟剂, 团聚体, 土壤化学性质, 有机碳组分, 产量

Abstract:

To investigate the effects of rice straw returning on soil fertility enhancement and wheat yield in a rice-wheat rotation system, a field plot experiment was conducted. This study examined the correlations among soil aggregate structure, chemical properties, and wheat yield in the 0-20 cm topsoil layer under different straw incorporation methods and two decomposer treatments: 1/3 straw incorporation (JB), 1/3 straw incorporation with decomposer (JBF1 and JBF2), full straw incorporation (JQ), and full straw incorporation with decomposer (JQF1 and JQF2). The results showed that, compared with JB, JQ or treatments with decomposer (JBF1 and JBF2) significantly increased the proportion of water-stable macroaggregates (>0.25 mm), aggregate stability indicators (R0.25), mean weight diameter (MWD), and geometric mean diameter (GMD). Simultaneously, JQ or treatments with decomposer (JBF1 and JBF2) significantly enhanced soil electrical conductivity (EC), organic matter (OM), total nitrogen (TN), available nitrogen (AN), and available potassium (AK) compared to JB. The increase in soil OM was primarily associated with higher levels of heavy fraction organic carbon (HFOC), light fraction organic carbon (LFOC), and readily oxidizable carbon (ROC). Compared to 1/3 or full straw incorporation alone, applying decomposer increased wheat yield by 16.8%-26.4% and 10.1%-20.6%, respectively, with the JQF1 treatment achieving the highest wheat yield. It was found that under the condition of full returning to the field, the effect of Hubei decomposer (JQF1) was significantly better than that of Shandong decomposer (JQF2), which significantly increased the content of >0.25 mm macroaggregates by 8.3% and wheat yield by 5.2% compared with JQF2 (P<0.05). Correlation analysis indicated that wheat yield was significantly influenced by the proportion of >0.25 mm aggregates, aggregate stability, and the contents of soil OM, TN, and AN. In conclusion, straw incorporation combined with decomposer application achieved a synergistic effect of soil fertility improvement and crop yield increase. Specifically, the content of soil > 0.25 mm macroaggregates, OM and AN increased by 15.2 %, 8.7 % and 10.3 %, and the wheat yield increased by 12.5 %, respectively, compared with JB treatment. Straw incorporation combined with decomposer application is a suitable farming practice for rice-wheat rotation areas.

Key words: straw returning, decomposer, aggregate, soil chemical property, organic carbon components, yield