中国农学通报 ›› 2026, Vol. 42 ›› Issue (6): 201-209.doi: 10.11924/j.issn.1000-6850.casb2025-0431
收稿日期:2025-05-30
修回日期:2025-10-13
出版日期:2026-03-25
发布日期:2026-03-30
通讯作者:
作者简介:刘志伟,男,1990年出生,江西瑞金人,硕士研究生,林业工程师,主要从事林业园林有害生物综合防控研究。通信地址:510405 广东省广州市广园中路428号,E-mail:liuzw2020@163.com。
基金资助:
LIU Zhiwei(
), HUO Lizhi, SUN Longhua(
)
Received:2025-05-30
Revised:2025-10-13
Published:2026-03-25
Online:2026-03-30
摘要:
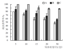
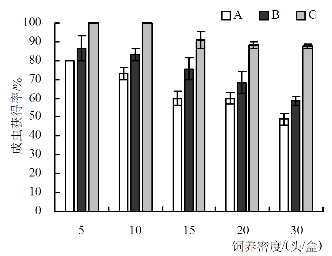
为明确蚜虫减量饲喂对双带盘瓢虫幼虫存活和成虫产卵的影响,研究在室内控制条件下开展了相关试验。试验共设置5种饲养密度(5、10、15、20、30头/盒),幼虫阶段采用“低龄期饲喂豆蚜、高龄期饲喂人工饲料”的饲喂策略,成虫阶段则按蚜虫饲喂量设0%、25%、50%、75%和100%五个梯度递减处理。结果显示:(1)A组(自3龄幼虫起转饲喂人工饲料):在30头/盒的饲养密度下,3龄幼虫存活率为65.56%,显著低于其他饲养密度(P<0.05);5头/盒的4龄幼虫存活率为100%;蛹的存活率在82%~94%之间,组间无显著差异(P>0.05);成虫获得率随着饲养密度增加而降低,其中5头/盒的成虫获得率最高(80.00%)。(2)B组(当4龄幼虫起转饲喂人工饲料):4龄幼虫的存活率在74%~87%之间,组间无显著差异(P>0.05);30头/盒的蛹存活率最低(79.53%);5、10、15头/盒的成虫获得率在75%~87%之间,组间无显著差异(P>0.05)。(3)C组(幼虫期全程饲喂蚜虫):成虫获得率最高。(4)成虫产卵表现:双带盘瓢虫的产卵量随着蚜虫饲喂量的减少而下降,其中,蚜虫减量25%时,产卵量为纯蚜虫饲喂的80%;纯人工饲料饲喂的成虫产卵量极少;不同饲喂方式对卵孵化率和成虫存活率均无显著差异(P>0.05)。研究表明,在双带盘瓢虫的幼虫饲养和成虫产卵阶段,以人工饲料部分替代蚜虫具备可行性,但需合理控制蚜虫减量比例并优化饲养密度。
刘志伟, 霍立志, 孙龙华. 蚜虫减量饲喂对双带盘瓢虫存活和产卵的影响[J]. 中国农学通报, 2026, 42(6): 201-209.
LIU Zhiwei, HUO Lizhi, SUN Longhua. Effects of Reduced Aphid Feeding on Survival and Oviposition of Coelophora biplagiata[J]. Chinese Agricultural Science Bulletin, 2026, 42(6): 201-209.
| 日期 | A | B | C | D | E |
|---|---|---|---|---|---|
| 11月7日 | ‒ | 83.35±3.40a | 83.96±1.62a | 79.2±1.82a | 83.42±1.05a |
| 11月14日 | 55.40±7.73 | 100.00±0.00a | 79.47±2.49a | 80.00±2.29a | 81.97±1.06a |
| 11月21日 | 69.23±0.00 | 80.06±1.64a | 83.56±5.66a | 81.01±1.73a | 80.34±1.47a |
| 11月28日 | 61.54±0.00 | 76.66±1.83a | 84.76±5.55a | 80.27±2.40a | 78.88±2.05a |
| 12月5日 | 32.14±32.14 | 76.31±5.78a | 78.63±1.34a | 77.22±3.30a | 77.59±1.39a |
| 12月12日 | 55.53±8.21 | 64.88±6.55a | 72.62±3.01ab | 83.17±6.22b | 77.74±1.01ab |
| 12月19日 | ‒ | 67.06±5.86a | 62.57±5.98a | 73.35±3.36a | 73.66±3.29a |
| 12月26日 | ‒ | 66.49±4.48a | 60.01±4.69a | 58.90±1.75a | 62.89±2.65a |
| 日期 | A | B | C | D | E |
|---|---|---|---|---|---|
| 11月7日 | ‒ | 83.35±3.40a | 83.96±1.62a | 79.2±1.82a | 83.42±1.05a |
| 11月14日 | 55.40±7.73 | 100.00±0.00a | 79.47±2.49a | 80.00±2.29a | 81.97±1.06a |
| 11月21日 | 69.23±0.00 | 80.06±1.64a | 83.56±5.66a | 81.01±1.73a | 80.34±1.47a |
| 11月28日 | 61.54±0.00 | 76.66±1.83a | 84.76±5.55a | 80.27±2.40a | 78.88±2.05a |
| 12月5日 | 32.14±32.14 | 76.31±5.78a | 78.63±1.34a | 77.22±3.30a | 77.59±1.39a |
| 12月12日 | 55.53±8.21 | 64.88±6.55a | 72.62±3.01ab | 83.17±6.22b | 77.74±1.01ab |
| 12月19日 | ‒ | 67.06±5.86a | 62.57±5.98a | 73.35±3.36a | 73.66±3.29a |
| 12月26日 | ‒ | 66.49±4.48a | 60.01±4.69a | 58.90±1.75a | 62.89±2.65a |
| [1] |
doi: 10.1016/j.foodpol.2024.102632 URL |
| [2] |
doi: 10.1073/pnas.1305618110 URL |
| [3] |
doi: 10.1016/j.etap.2025.104671 URL |
| [4] |
|
| [5] |
刘珠珠, 贺亚红, 罗振坚, 等. 田间释放不同种类赤眼蜂对玉米螟的防治效果[J]. 陕西农业科学, 2024, 70(12):61-64.
|
| [6] |
顾兴波, 周潇, 李春丽, 等. 植物源农药对以雪茄烟为寄主的烟蚜防效果及对烟蚜茧蜂安全性评价试验[J]. 中国农学通报, 2024, 40(21):120-125.
doi: 10.11924/j.issn.1000-6850.casb2023-0733 |
| [7] |
邓婉, 黄科, 胡倩, 等. 蠋蝽两种不同释放方法对马尾松毛虫的林间防控效果评价[J]. 中国生物防治学报, 2025, 41(1):186-192.
doi: 10.16409/j.cnki.2095-039x.2024.07.003 |
| [8] |
doi: 10.1007/s12355-017-0528-4 URL |
| [9] |
刘超, 罗怀海, 伍兴隆, 等. 两种瓢虫对茶蚜的防治效果研究[J]. 湖北农业科学, 2022, 61(10):80-82.
|
| [10] |
王兴民, 陈晓胜. 中国瓢虫图鉴[M]. 福州: 海峡出版发行集团, 2022.
|
| [11] |
戴水莲, 邱海洪, 谢绍辉. 双带盘瓢虫对玉米蚜功能反应的初步研究[J]. 湖南农业科学, 2008(5):94-95.
|
| [12] |
doi: 10.1603/0013-8746(2005)098[0475:LTAPOL]2.0.CO;2 URL |
| [13] |
赵琦, 韦党扬, 马骁, 等. 双带盘瓢虫对桔蚜捕食作用的研究[J]. 昆虫天敌, 1998, 20(1):9-12.
|
| [14] |
吴红胜, 韩诗畴, 张宇宏, 等. 双带盘瓢虫与六斑月瓢虫成虫对螺旋粉虱幼虫的捕食作用[J]. 环境昆虫学报, 2010, 32(3):380-383.
|
| [15] |
余志儒, 陈炳辉. 网室内释放锚纹瓢虫(鞘翅目:瓢虫科)防治莴苣白尾红蚜(简报)[J]. 中华农业研究, 2001, 50(2):107-111.
|
| [16] |
张雪丽, 张清泉, 黄凤宽, 等. 双带盘瓢虫对蔗绵蚜捕食作用研究[J]. 广西农业科学, 2008, 39(6):776-778.
|
| [17] |
余志儒, 许北辰. 錨紋瓢蟲(Lemnia biplagiata)成蟲以不同性比與密度飼育之壽命與卵穫量[J]. 植物保护学会会刊, 2016, 57(4):71-81.
|
| [18] |
陈锦宏, 秦睿嫔, 王潇雨, 等. 米蛾卵和柞蚕卵对松毛虫赤眼蜂人工扩繁效率影响的比较[J]. 植物保护学报, 2024, 51(4):952-959.
|
| [19] |
陈万斌, 李玉艳, 向梅, 等. 夜蛾黑卵蜂人工扩繁及应用研究进展[J]. 植物保护, 2021, 47(6):11-20.
|
| [20] |
唐良德, 臧连生. 六斑月瓢虫生物生态学及其生物防治研究进展[J]. 中国生物防治学报, 2023, 39(3):697-709.
doi: 10.16409/j.cnki.2095-039x.2023.05.002 |
| [21] |
周宇航, 程英, 金雪剑, 等. 七星瓢虫规模化生产与释放的应用效果[J]. 西南农业学报, 2017, 30(3):602-605.
|
| [22] |
程英, 周宇航, 冉海燕, 等. 正交试验优化七星瓢虫成虫人工饲料[J]. 应用昆虫学报, 2023, 60(5):1618-1625.
|
| [23] |
龚和, 翟启慧, 魏定义, 等. 七星瓢虫的卵黄发生:卵黄原蛋白的发生和取食代饲料的影响[J]. 昆虫学报, 1980, 23(3):252-259.
|
| [24] |
doi: 10.18474/0749-8004-55.3.382 URL |
| [25] |
doi: 10.1111/enr.v52.4 URL |
| [26] |
doi: 10.1016/j.aspen.2016.03.005 URL |
| [27] |
张屾, 毛建军, 曾凡荣. 非昆虫源人工饲料对异色瓢虫生物学特性的影响[J]. 中国生物防治学报, 2015, 31(1):35-40.
|
| [28] |
曾睿琳, 刘虹伶, 冯长春, 等. 人工饲料对七星瓢虫成虫生物学特性的影响[J]. 中国农学通报, 2020, 36(34):117-123.
doi: 10.11924/j.issn.1000-6850.casb20200100015 |
| [29] |
余毅, 程英, 周宇航, 等. 饲养条件对人工饲料饲养七星瓢虫的影响[J]. 山地农业学报, 2023, 42(1):75-80.
|
| [30] |
黄翠琴, 胡凤玉. 狭臀瓢虫人工饲料和替代猎物的研究[J]. 生物灾害科学, 2019, 42(3):238-242.
|
| [31] |
陈鹏. 人工饲料对异色瓢虫生殖的影响[D]. 济南: 山东农业大学, 2021.
|
| [32] |
吴钰薇, 商晔, 郑林浩, 等. 糖源对“东方黏虫-异色瓢虫”饲养体系的影响[J]. 中国生物防治学报, 2024, 40(4):828-833.
doi: 10.16409/j.cnki.2095-039x.2023.11.008 |
| [33] |
顾辉杰, 戴长春, 杨益众, 等. 不同猎物对多异瓢虫生长发育与繁殖的影响[J]. 植物保护学报, 2021, 48(5):1187-1188.
|
| [34] |
韩明港, 刘倩宇, 赵洪洋, 等. 冷冻豆蚜为猎物对异色瓢虫生长发育和繁殖的影响[J]. 植物保护, 2023, 49(4):204-210.
|
| [35] |
陈河竹, 祝进, 徐翔, 等. 蚜虫减量饲喂对异色瓢虫产卵特性的影响[J]. 中国农学通报, 2023, 39(14):119-124.
doi: 10.11924/j.issn.1000-6850.casb2022-0467 |
| [36] |
彭应力, 余佳敏, 王勇, 等. 蚜虫减量饲喂对七星瓢虫成虫产卵特性的影响[J]. 湖北农业科学, 2024, 63(5):45-49.
|
| [37] |
doi: 10.1007/s11829-024-10047-8 |
| [38] |
doi: 10.1186/s41938-023-00712-0 |
| [39] |
YADAV T, OMKAR, MISHRA G. Maternal cannibalistic preferences affect offspring preferences and development in Menochilus sexmaculatus Fabricius (Coleoptera: Coccinellidae): a transgenerational investigation[J]. Ethology, 2022, 129(2):107-115.
doi: 10.1111/eth.v129.2 URL |
| [40] |
蒋瑞鑫, 张宇宏, 吴红胜, 等. 孟氏隐唇瓢虫成虫自残幼虫的研究[J]. 环境昆虫学报, 2012, 34(1):63-68.
|
| [41] |
doi: 10.1111/jen.2015.139.issue-8 URL |
| [42] |
doi: 10.1111/jzo.v321.2 URL |
| [43] |
doi: 10.1111/een.v48.1 URL |
| [44] |
郭佳妮, 李保平, 孟玲. 三种瓢虫集团内捕食卵对初龄幼虫生长发育的影响[J]. 生态学报, 2017, 37(6):1-6.
|
| [45] |
杜迎刚, 季清娥, 陈家骅, 等. 异色瓢虫幼虫对卵的种内自残和种间捕食[J]. 环境昆虫学报, 2014, 36(6):874-878.
|
| [46] |
|
| [47] |
doi: 10.1007/s10905-015-9510-8 URL |
| [48] |
雍艳萍, 许冰燕, 刘虹伶, 等. 密度对多异瓢虫幼虫生存的影响[J]. 中国农学通报, 2024, 40(27):115-120.
doi: 10.11924/j.issn.1000-6850.casb2024-0070 |
| [49] |
梁辉, 邓全, 刘国, 等. 密度对十斑大瓢虫不同虫态生存的影响[J]. 中国农学通报, 2025, 41(8):105-110.
doi: 10.11924/j.issn.1000-6850.casb2024-0530 |
| [50] |
吴钰薇. 异色瓢虫规模化饲养及其捕食甜菜夜蛾的潜能研究[D]. 吉林农业大学, 2023a.
|
| [51] |
李超. 六斑月瓢虫人工饲料的研究[D]. 福州: 福建农林大学, 2016.
|
| [52] |
陆秋成, 刘东阳, 王勇, 等. 不同胡萝卜素浓度及饲料制作方法对七星瓢虫幼虫的影响[J]. 中国农学通报, 2021, 37(35):82-87.
doi: 10.11924/j.issn.1000-6850.casb2021-0067 |
| [53] |
伍兴隆, 刘东阳, 王勇, 等. 不同种类花粉对七星瓢虫幼虫发育的影响[J]. 中国植保导刊, 2020, 40(12):10-14,22.
|
| [54] |
陈心玲, 金社林, 孙元星, 等. 补充饲喂油菜花粉对异色瓢虫幼虫生长发育及成虫生殖的影响[J]. 中国生物防治学报, 2025, 41(4):788-795.
doi: 10.16409/j.cnki.2095-039x.2024.11.006 |
| [55] |
孙元星, 陈明娟, 李明凌, 等. 人工饲料添加花粉对异色瓢虫幼虫生长发育的影响[J]. 中国生物防治学报, 2023, 39(5):1058-1065.
doi: 10.16409/j.cnki.2095-039x.2022.11.019 |
| [56] |
吴钰薇, 高鹏, 郑林浩, 等. 东方粘虫对异色瓢虫生长发育及繁殖的影响[J]. 中国生物防治学报, 2023b, 39(6):1295-1300.
|
| [57] |
doi: 10.1111/fec.v36.2 URL |
| [58] |
doi: 10.1007/s00265-005-0947-1 URL |
| [59] |
doi: 10.1007/s00521-023-09020-y |
| [60] |
doi: 10.23960/j.hptt.210131-145 URL |
| [61] |
林会, 刘东阳, 王勇, 等. β-胡萝卜素及饲料形态对七星瓢虫成虫生物学的影响[J]. 贵州农业科学, 2022, 50(11):43-48.
|
| [62] |
徐金兰, 刘虹伶, 余佳敏, 等. 保幼激素类似物ZR-515对七星瓢虫生物学特性的影响[J]. 湖南农业科学, 2023(4):25-30.
|
| [63] |
刘东阳, 伍兴隆, 陈雨, 等. 不同种类花粉对七星瓢虫繁殖能力的影响[J]. 湖南农业科学, 2022(11):60-64.
|
| [64] |
刘虹伶, 何蓉, 余佳敏, 等. 氯化胆碱对七星瓢虫成虫生物学特性的影响[J]. 中国农学通报, 2024, 40(33):150-156.
doi: 10.11924/j.issn.1000-6850.casb2024-0227 |
| [65] |
陈子敬, 陈云芳, 刘美钊, 等. 花粉蜜源对异色瓢虫生物学特性的影响[J]. 河北农业科学, 2024, 28(3):74-77,100.
|
| [66] |
doi: 10.3390/insects14070587 URL |
| [67] |
张培旭, 何恒果, 雷敏, 等. 不同剂型人工饲料对七星瓢虫成虫生物学特性的影响[J]. 中国生物防治学报, 2024, 40(1):27-32.
|
| [68] |
doi: 10.1038/srep13111 |
| [1] | 梁辉, 邓全, 刘国, 陈河竹, 马鹏, 李斌, 刘东阳, 余佳敏, 江连强, 蒲德强. 密度对十斑大瓢虫不同虫态生存的影响[J]. 中国农学通报, 2025, 41(8): 105-110. |
| [2] | 梁嘉燕, 孔雷蕾, 胡晓丹, 杨旭健, 杨武, 白嵩. 广东丝苗米品种萌发幼苗期及苗期的耐盐性评价[J]. 中国农学通报, 2025, 41(11): 8-15. |
| [3] | 张方平, 朱俊洪, 叶政培, 陈俊谕, 郑丽旧, 石霞. 橡胶树品种对橡副珠蜡蚧发育与繁殖的影响[J]. 中国农学通报, 2025, 41(10): 122-126. |
| [4] | 刘虹伶, 何蓉, 余佳敏, 邓全, 刘东阳, 李思翰, 张培旭, 雍艳萍, 伍兴隆, 肖科军, 蒲德强. 氯化胆碱对七星瓢虫成虫生物学特性的影响[J]. 中国农学通报, 2024, 40(33): 150-156. |
| [5] | 雍艳萍, 许冰燕, 刘虹伶, 李杨, 何恒果, 蒲德强. 密度对多异瓢虫幼虫生存的影响[J]. 中国农学通报, 2024, 40(27): 115-120. |
| [6] | 张玉松, 赵凯琴, 罗延青, 燕林祥, 李西桐, 张云云, 符明联. 甘蓝型油菜蚜虫发生规律及抗蚜种质的筛选[J]. 中国农学通报, 2024, 40(10): 120-126. |
| [7] | 许淳皓, 景田兴, 杨益众. 蚜虫适应干旱的表现及相关机制研究[J]. 中国农学通报, 2023, 39(29): 109-115. |
| [8] | 陈河竹, 祝进, 徐翔, 雷敏, 肖科军, 彭应力, 陆秋成, 蔡鹏, 房超, 李跃建, 蒲德强. 蚜虫减量饲喂对异色瓢虫产卵特性的影响[J]. 中国农学通报, 2023, 39(14): 119-124. |
| [9] | 池艳艳, 林少源, 徐淑, 陈炳旭. 唑虫酰胺防治甘蓝田常见害虫应用效果分析[J]. 中国农学通报, 2022, 38(3): 110-115. |
| [10] | 陆秋成, 刘东阳, 王勇, 徐金兰, 江连强, 刘超, 蔡鹏, 李跃建, 何恒果, 蒲德强. 不同胡萝卜素浓度及饲料制作方法对七星瓢虫幼虫的影响[J]. 中国农学通报, 2021, 37(35): 82-87. |
| [11] | 于慧龄, 叶乐夫, 王雪, 徐臻, 冯新雨, 马田园, 付雪. 木醋液对桃蚜生长繁殖的急慢性效应[J]. 中国农学通报, 2021, 37(18): 147-152. |
| [12] | 曾睿琳, 刘虹伶, 冯长春, 刘东阳, 王勇, 雷强, 郭仕平, 李斌, 官宇, 刘杨, 刘超, 伍兴隆, 王小强, 蒲德强. 人工饲料对七星瓢虫成虫生物学特性的影响[J]. 中国农学通报, 2020, 36(34): 117-123. |
| [13] | 王小强,曹馨月,郑珍蕾,蒲德强,李跃建,房超,蔡鹏. 密度对七星瓢虫不同虫态生存的影响[J]. 中国农学通报, 2019, 35(32): 121-125. |
| [14] | 孙斌,张志刚,王素平,窦瑞木. 14种悬浮种衣剂防治玉米地下害虫、蚜虫和茎基腐病的防效评价[J]. 中国农学通报, 2019, 35(24): 128-132. |
| [15] | 郝士鋆,樊剑锋,王叶琼,富盛桂,张李香. 不同豆类对绿豆象发育繁殖的影响[J]. 中国农学通报, 2017, 33(21): 138-141. |
| 阅读次数 | ||||||
|
全文 |
|
|||||
|
摘要 |
|
|||||