欢迎访问《中国农学通报》,

中国农学通报 ›› 2025, Vol. 41 ›› Issue (34): 1-6.doi: 10.11924/j.issn.1000-6850.casb2025-0248

• 农学·农业基础科学 •    下一篇

有机肥替代部分化肥氮对特色小麦干物质积累、产量及品质的影响

黄玲(), 赵凯, 邵敏敏, 张玉丹, 杨本洲, 王福玉, 陈贵菊, 孙雷明, 王霖, 翟红梅()   

  1. 济宁市农业科学研究院,山东济宁 272031
  • 收稿日期:2025-03-20 修回日期:2025-11-03 出版日期:2025-12-04 发布日期:2025-12-04
  • 通讯作者:
    翟红梅,女,1969年出生,山东鱼台人,高级农艺师,博士,研究方向:小麦栽培与育种。通信地址:272031 山东省济宁市任城区济岱路9号 济宁农科院,Tel:0537-2033758,E-mail:
  • 作者简介:

    黄玲,女,1979年出生,山东曲阜人,高级农艺师,硕士研究生,研究方向:小麦栽培与育种。通信地址:272031 山东省济宁市任城区济岱路9号 济宁农科院,Tel:0537-2033758,E-mail:

  • 基金资助:
    济宁市重点研发计划“特色小麦高产高效绿色栽培技术研究及推广应用”(2023NYNS013)

Effect of Replacing Nitrogen Fertilizers with Organic Fertilizers on Dry Matter Accumulation, Yield and Quality of Colored Wheat

HUANG Ling(), ZHAO Kai, SHAO Minmin, ZHANG Yudan, YANG Benzhou, WANG Fuyu, CHEN Guiju, SUN Leiming, WANG Lin, ZHAI Hongmei()   

  1. Jining Academy of Agricultural Sciences, Jining, Shandong 272031
  • Received:2025-03-20 Revised:2025-11-03 Published:2025-12-04 Online:2025-12-04

摘要:

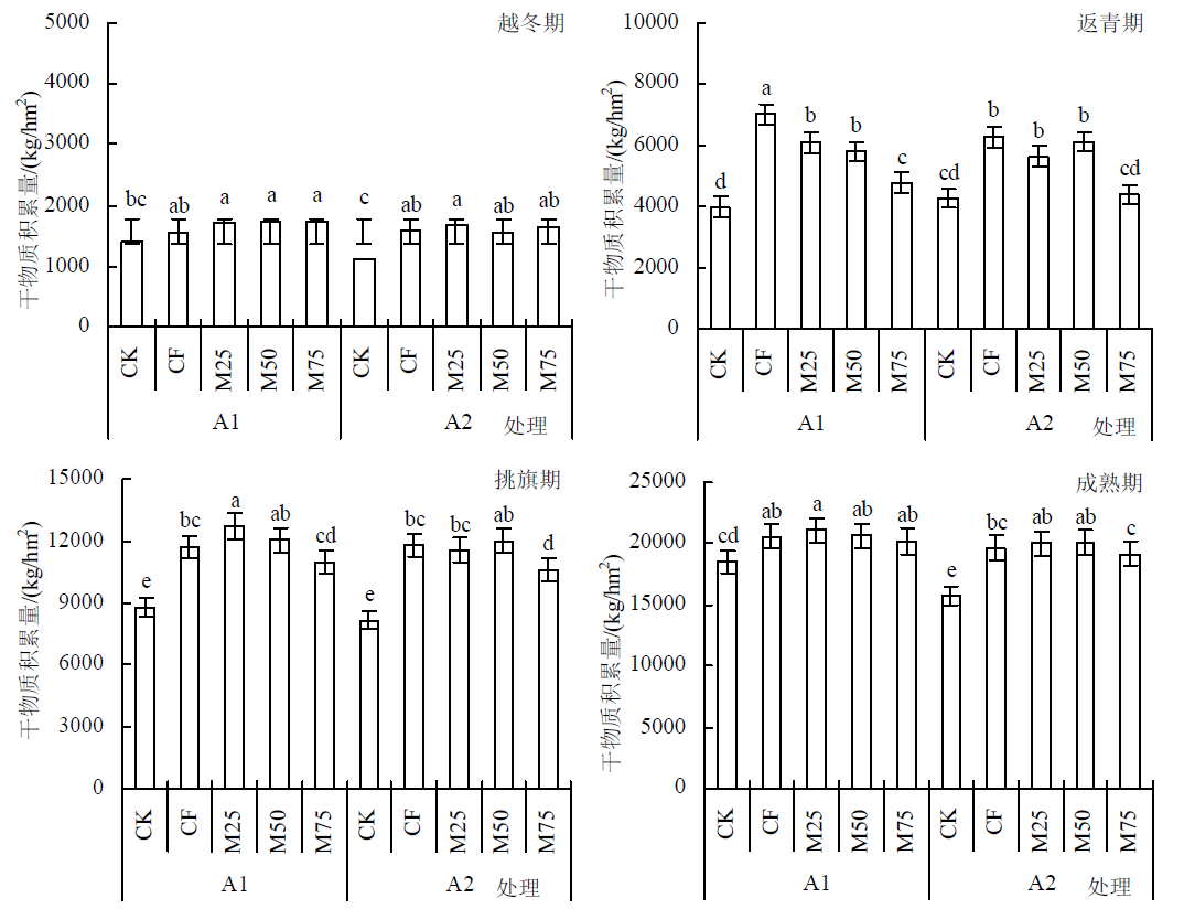
为提高鲁西南地区特色小麦的产量和品质,探讨不同比例的有机肥替代化肥氮对特色小麦干物质积累量、产量及品质的影响,旨在明确该区域特色小麦的最优施肥方案。2022—2023年设置不施肥(CK)、100%化肥(CF)、25%有机肥+75%化肥(M25)、50%有机肥+50%化肥(M50)、75%有机肥+25%化肥(M75)共5种处理,研究其对‘山农紫麦1号’(A1)和‘济蓝麦1号’(A2)的影响。结果表明,与CK处理相比,各施肥处理均可显著提高特色小麦越冬期、返青期、挑旗期和成熟期的干物质积累量、籽粒产量及品质。成熟期物质积累量方面,A1品种各有机肥配施处理与CF处理无显著差异,其中M25处理最高;A2品种M25、M50处理显著高于CF处理,M75处理则与CF处理无显著差异。籽粒产量方面,2种小麦变化趋势一致;与CF处理相比,M25和M50处理均能增加小麦籽粒产量,品种A1增幅为1.01%~3.76%,品种A2增幅为3.48%~5.0%;M75处理均降低了籽粒产量;随有机肥替代比例从25%增至75%,产量呈先升后降趋势(M25>M50>CF>M75)。品质指标方面,M25处理显著改善籽粒品质,A1、A2品种粗蛋白含量分别提高3.14%、1.81%,湿面筋含量分别提高1.70%、2.46%,延展性分别提高1.10%、0.79%。随着有机肥替代化肥氮的增加,粗蛋白含量和湿面筋含量逐渐下降;各处理间籽粒容重无显著差异,A2品种延展性亦无显著差异。综上,在鲁西南地区,采用25%有机肥替代化肥氮(M25)更有利于提高特色小麦产量与改善籽粒品质。

关键词: 特色小麦, 有机肥替代, 干物质积累, 产量, 品质

Abstract:

To improve the yield and quality of colored wheat in southwest Shandong, this study explored the effects of different proportions of organic fertilizer instead of chemical fertilizer nitrogen on dry matter accumulation, yield and quality of colored wheat, aiming to clarify the optimal fertilization scheme for colored wheat in this area. A field experiment was conducted from 2022 to 2023, to systematically study the effects of no fertilizer (CK), single chemical fertilizer (CF), 25% (M25), 50% (M50) and 75% (M75) organic fertilizer replacing nitrogen fertilizer on dry matter accumulation, grain yield, quality of two colored wheat varieties (A1 ‘Shannongzimai 1’ and A2 ‘Jilanmai 1’). The results showed that compared with CK treatment, different fertilization treatments could increase grain yield, quality and the dry matter accumulation of wheat at wintering, regreening, flag-picking and maturity stages to varying degrees. In term of dry matter accumulation at the maturity stage, there was no significant difference between organic fertilizer and CF in A1 cultivars, and M25 was the highest; compared with CF, both M25 and M50 were much higher in A2 variety, and there was no significant difference with M75. The variation law of grain yield of the two varieties under different fertilization treatments was basically the same, with the increase of the proportion of organic fertilizer replacing chemical fertilizer, grain yield were gradually decreased. Compared with CF, M25 and M50 treatments could increase the grain yield, with a range of 1.01% to 3.76% for variety A1 and 3.48% to 5.0% for variety A2. M75 treatment reduced grain yield. In M25 treatment, the crude protein content of the two varieties increased by 3.14% and 1.81%, the content of wet gluten increased by 1.70% and 2.46%; the ductility increased by 1.10% and 0.79%, respectively. With the increase of organic fertilizer replacing nitrogen fertilizer, the crude protein content and wet gluten content decreased, volume weight and the ductility of A2 variety were no significant difference. In summary, M25 treatment could effectively improve grain yield, quality of colored wheat in the wheat planting area of southwest Shandong.

Key words: colored wheat, organic substitution, dry matter accumulation, grain yield, quality