中国农学通报 ›› 2025, Vol. 41 ›› Issue (34): 53-62.doi: 10.11924/j.issn.1000-6850.casb2025-0225
收稿日期:2025-03-20
修回日期:2025-10-25
出版日期:2025-12-04
发布日期:2025-12-04
通讯作者:
作者简介:徐梅华,女,1997年出生,从事药用植物栽培研究,E-mail:gxxumeihua@163.com。
基金资助:
XU Meihua(
), QUAN Changqian, WEI Fan, TANG Danfeng(
)
Received:2025-03-20
Revised:2025-10-25
Published:2025-12-04
Online:2025-12-04
摘要:
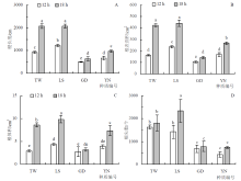
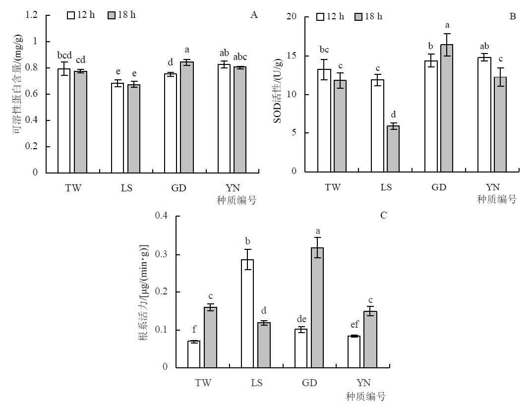
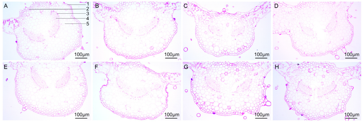
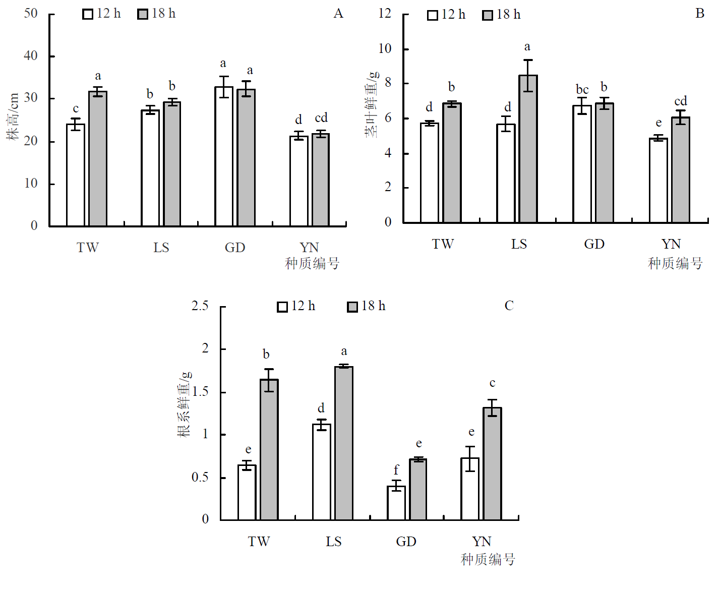
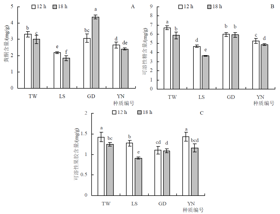
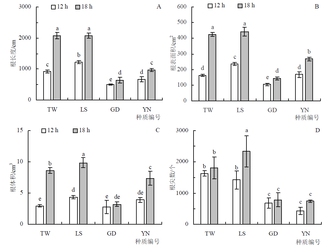
本研究旨在明确适宜凉粉草生长并提升其品质的光照时长,为凉粉草的规范化、规模化种植提供科学依据。采用人工红色LED光源,以12 h光照处理作为对照,分别对TW、LS、GD、YN 4种凉粉草实施18 h光照处理,进而评估延长红光光照时长对凉粉草插条的株高、生物量、根系发育、根系活力、可溶性蛋白含量、SOD活性、黄酮含量、可溶性糖含量和可溶性果胶含量的影响。结果表明,延长红光光照时长促进了凉粉草插条不定根的生长,根系伸长,根系吸收面积增大,根系发达且根系活力增强。与对照相比,TW、LS、GD、YN的茎叶鲜重分别增加了19.36%、49.33%、1.73%、24.01%。延长红光光照时长使TW、LS、YN的黄酮含量减少,可溶性糖含量、可溶性果胶含量均显著降低;而GD的黄酮含量显著增加了42.32%,可溶性糖、可溶性果胶含量无显著变化。试验认为,延长红光光照时长可以促进4种凉粉草插条的生长发育,但不同凉粉草种质对光照时间的响应和需求存在差异,延长红光光照时长适宜GD凉粉草的种植生产,其生长指标和黄酮含量均有明显提升。
徐梅华, 全昌乾, 韦范, 汤丹峰. 红光光照时长对凉粉草插条生理生化特性和品质的影响[J]. 中国农学通报, 2025, 41(34): 53-62.
XU Meihua, QUAN Changqian, WEI Fan, TANG Danfeng. Effect of Red Lighting Duration on Physio-biochemical Characteristics and Quality of Cuttings from Platostoma palustre[J]. Chinese Agricultural Science Bulletin, 2025, 41(34): 53-62.
| 因素 | 株高 | 茎叶鲜重 | 根系鲜重 | 根长度 | 根表面积 | 根体积 | 根尖数 | 可溶性蛋白含量 | SOD活性 | 根系活力 | 黄酮含量 | 可溶性糖含量 | 可溶性果胶含量 |
|---|---|---|---|---|---|---|---|---|---|---|---|---|---|
| 种质 | *** | *** | *** | *** | *** | *** | *** | *** | *** | *** | *** | *** | *** |
| 光照时长 | ** | *** | *** | *** | *** | *** | ** | ns | *** | *** | ns | *** | *** |
| 种质×光照时长 | ** | ** | *** | *** | *** | *** | ns | ** | *** | *** | *** | ** | * |
| 因素 | 株高 | 茎叶鲜重 | 根系鲜重 | 根长度 | 根表面积 | 根体积 | 根尖数 | 可溶性蛋白含量 | SOD活性 | 根系活力 | 黄酮含量 | 可溶性糖含量 | 可溶性果胶含量 |
|---|---|---|---|---|---|---|---|---|---|---|---|---|---|
| 种质 | *** | *** | *** | *** | *** | *** | *** | *** | *** | *** | *** | *** | *** |
| 光照时长 | ** | *** | *** | *** | *** | *** | ** | ns | *** | *** | ns | *** | *** |
| 种质×光照时长 | ** | ** | *** | *** | *** | *** | ns | ** | *** | *** | *** | ** | * |
| [1] |
doi: 10.1080/1343943X.2020.1847667 URL |
| [2] |
doi: 10.3390/molecules27113423 URL |
| [3] |
doi: 10.3389/fpls.2021.761068 URL |
| [4] |
doi: 10.1111/jfds.2000.65.issue-6 URL |
| [5] |
doi: 10.1016/j.foodchem.2022.132531 URL |
| [6] |
doi: 10.1111/crf3.2018.17.issue-5 URL |
| [7] |
doi: 10.3390/foods13071134 URL |
| [8] |
|
| [9] |
doi: 10.1002/jsfa.v88:1 URL |
| [10] |
doi: 10.1080/14620316.2005.11511925 URL |
| [11] |
doi: 10.1111/j.1469-8137.2008.02681.x pmid: 19154317 |
| [12] |
doi: 10.1007/s00344-021-10337-y |
| [13] |
|
| [14] |
徐超华, 李军营, 崔明昆, 等. 延长光照时间对烟草叶片生长发育及光合特性的影响[J]. 西北植物学报, 2013, 33(4):763-770.
|
| [15] |
doi: 10.1016/j.scienta.2019.108630 URL |
| [16] |
doi: 10.1186/s12870-024-05448-z pmid: 39060976 |
| [17] |
doi: 10.1016/j.foodchem.2020.127991 URL |
| [18] |
邓丽莉, 潘晓倩, 生吉萍, 等. 考马斯亮蓝法测定苹果组织微量可溶性蛋白含量的条件优化[J]. 食品科学, 2012, 33(24):185-189.
doi: 10.7506/spkx1002-6630-201224038 |
| [19] |
doi: 10.1271/bbb.63.485 pmid: 27393255 |
| [20] |
白宝璋, 金锦子, 白崧, 等. 玉米根系活力TTC测定法的改良[J]. 玉米科学, 1994(4):44-47.
|
| [21] |
王丽娟, 张学英, 徐金娥, 等. 不同光质对草莓果实花青苷、酚类物质及类黄酮物质的影响[J]. 河北农业大学学报, 2009, 32(2):54-57.
|
| [22] |
doi: 10.1093/jxb/44.10.1627 URL |
| [23] |
doi: 10.1021/ac60070a036 URL |
| [24] |
doi: 10.1104/pp.107.101824 URL |
| [25] |
pmid: 18867618 |
| [26] |
doi: 10.1186/s12870-019-2170-7 |
| [27] |
doi: 10.1016/j.scienta.2020.109565 URL |
| [28] |
doi: 10.3390/plants9020155 URL |
| [29] |
杨舒贻, 陈晓阳, 惠文凯, 等. 逆境胁迫下植物抗氧化酶系统响应研究进展[J]. 福建农林大学学报(自然科学版), 2016, 45(5):481-489.
|
| [30] |
|
| [31] |
蔡宇宇, 朱仲龙, 贾忠奎, 等. 光周期对红花玉兰‘娇红1号’生理及光合特性的影响[J]. 经济林研究, 2024, 42(1):189-200.
|
| [32] |
doi: 10.3389/fpls.2021.781236 URL |
| [33] |
doi: 10.1186/s12864-019-6419-1 |
| [34] |
doi: 10.1016/j.scienta.2021.110258 URL |
| [35] |
doi: 10.1016/j.scienta.2012.04.005 URL |
| [36] |
doi: 10.1016/j.scienta.2023.112801 URL |
| [37] |
doi: 10.1016/j.pbi.2004.11.003 pmid: 15653406 |
| [38] |
doi: 10.1007/s00425-019-03293-1 |
| [39] |
doi: 10.1111/gcb.15078 pmid: 32162388 |
| [40] |
doi: S0981-9428(19)30454-1 pmid: 31710920 |
| [41] |
孙远明, 杨君, 施金风, 等. 凉粉草胶的性质及凝胶结构[J]. 浙江农业大学学报, 1997(S1):64.
|
| [42] |
朱新焰, 字淑慧, 唐宇, 等. 不同生长年限白及的多糖组织化学定位研究[J]. 西南农业学报, 2019, 32(3):511-515.
|
| [1] | 姜勇强, 吴瑶, 方中健, 叶广英, 惠俊爱, 周荣, 王再花. LED光质对铁皮石斛和金钗石斛组培苗生长及品质的影响[J]. 中国农学通报, 2025, 41(9): 65-72. |
| [2] | 王杰, 余晓夏, 何建章, 陈建土, 吴美芳. 台湾香檬叶总黄酮提取工艺及抗氧化活性筛选[J]. 中国农学通报, 2025, 41(8): 133-139. |
| [3] | 朱江, 周俊妞, 郑吉祥, 牟海飞, 韦广谭, 谭祖雄, 张英俊, 田青兰, 吴艳艳, 黄伟华, 刘洁云. 百香果扦插生根解剖结构及影响因素研究[J]. 中国农学通报, 2025, 41(7): 40-46. |
| [4] | 符梅, 李桂花, 罗文龙, 骆善伟, 郭巨先. 基于广泛靶向代谢组学的芋头代谢物和抗氧化酶活性的差异分析[J]. 中国农学通报, 2025, 41(6): 118-125. |
| [5] | 丛添玥, 邢翔宇, 尤梦瑶, 程丽, 郑春英. 基于黄酮类化合物生物合成的工业大麻内生真菌HMY07次生代谢产物研究[J]. 中国农学通报, 2025, 41(5): 56-62. |
| [6] | 孙宜, 石青松, 刘恒星, 刘浡洋, 樊金龙, 孙猛. 软枣猕猴桃嫩枝扦插繁育技术研究[J]. 中国农学通报, 2025, 41(34): 39-45. |
| [7] | 韦晓娟, 张幸, 王坤, 杨德任. 35种金花茶组植物花叶活性成分分析[J]. 中国农学通报, 2025, 41(33): 59-66. |
| [8] | 赵志惠, 代继云, 刘宇宁, 付慧, 盈盈, 黄奕颖, 降晓伟, 刘江英, 卫媛, 张燕东, 王丽霞, 于海东, 万玉萌, 邱鹏程, 石富, 刘婷璐, 孙凤舞, 吴洪新. 内蒙古草原16种植物提取物抗氧化活性研究[J]. 中国农学通报, 2025, 41(32): 116-123. |
| [9] | 林士杰, 王梓默, 朱红波, 王聪慧, 勾天兵, 韩姣, 何怀江. 紫椴研究进展[J]. 中国农学通报, 2025, 41(31): 7-13. |
| [10] | 唐桂梅, 黄国林, 赵凡, 刘洋, 张力, 李卫东, 肖晓玲. 药茶用菊花扦插效果的量化评价[J]. 中国农学通报, 2025, 41(3): 42-47. |
| [11] | 吴丹丹, 吴晓行, 林梦桦, 梁颖, 顾洪生. 不同树龄‘莱阳茌梨’果实品质分析[J]. 中国农学通报, 2025, 41(22): 156-164. |
| [12] | 佘娜, 张焊, 冯月, 陈功轩, 李景蕻. 外源激素配比对铁皮石斛茎段快繁的影响[J]. 中国农学通报, 2025, 41(19): 42-48. |
| [13] | 莫方舒, 何家敏, 李文忠, 陈琴, 刘闵豪, 肖兴翠. 基质配比、穗条类型及生根剂对野茉莉扦插生根的影响[J]. 中国农学通报, 2025, 41(18): 90-98. |
| [14] | 刘添锋, 廖汝玉, 刘智成, 蒋春艳, 蔡建荣, 赖丽婷, 丘启松. 单氰胺对油㮈提早成花及花芽中碳水化合物和脯氨酸的影响[J]. 中国农学通报, 2025, 41(15): 59-64. |
| [15] | 戴明鋆, 蒋毅, 陈玥章, 张华, 史敏晶. 西藏林芝地区反苞蒲公英主要化学成分分析[J]. 中国农学通报, 2025, 41(13): 71-79. |
| 阅读次数 | ||||||
|
全文 |
|
|||||
|
摘要 |
|
|||||