中国农学通报 ›› 2025, Vol. 41 ›› Issue (36): 73-83.doi: 10.11924/j.issn.1000-6850.casb2025-0240
郝勇舟1(
), 李静1, 栗振1, 黄文茵1, 常静静1, 郝艳淑2, 宋钊1, 陈潇1, 陈雷1, 张白鸽1(
)
收稿日期:2025-03-27
修回日期:2025-11-18
出版日期:2025-12-25
发布日期:2025-12-25
通讯作者:
作者简介:郝勇舟,男,1996年出生,河北石家庄人,硕士,研究方向:蔬菜园艺。通信地址:510640 广东省广州市天河区金颖路66号 广东省农业科学院蔬菜研究所,Tel:020-38469583,E-mail:haoyongzhou@foxmail.com。
基金资助:
HAO Yongzhou1(
), LI Jing1, LI Zhen1, HUANG Wenyin1, CHANG Jingjing1, HAO Yanshu2, SONG Zhao1, CHEN Xiao1, CHEN Lei1, ZHANG Baige1(
)
Received:2025-03-27
Revised:2025-11-18
Published:2025-12-25
Online:2025-12-25
摘要:
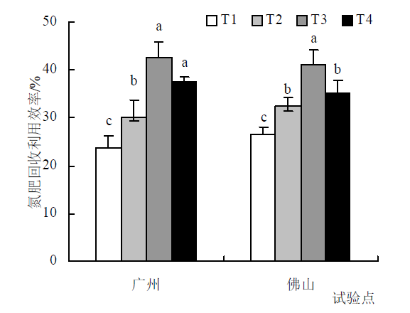
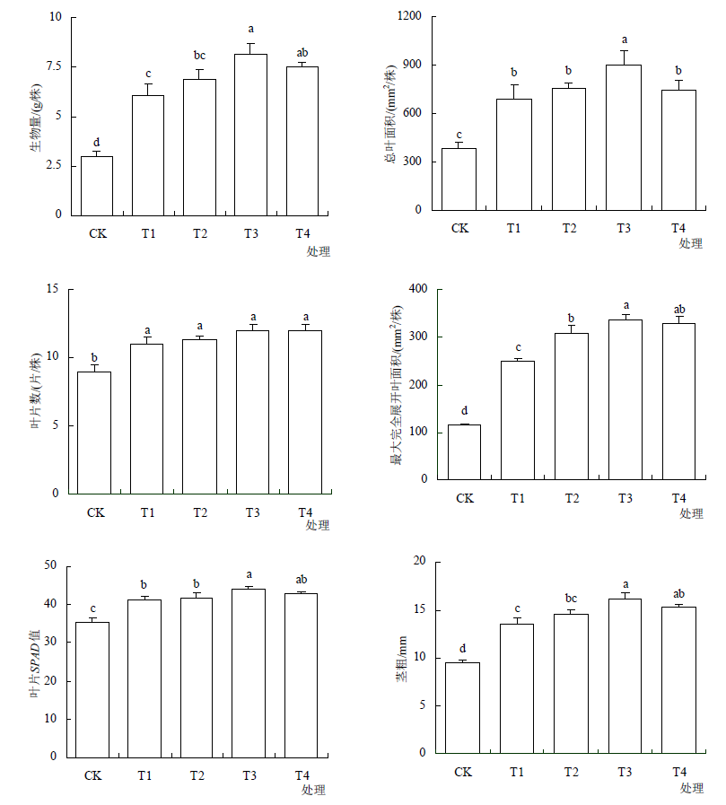
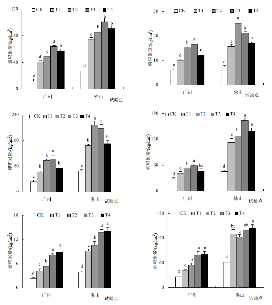
菜心(Brassica campestris ssp. chinensis var. utilis)是华南地区种植规模最大的特色蔬菜,但其生产中普遍存在氮肥过量施用与镁(Mg)素供应不足的问题,严重制约绿色高效生产。本研究针对性设计氮镁协同肥料(N-P2O5-K2O-MgO=26-0-0-2),于2023年在广州、佛山两地开展田间试验,探究含镁氮肥替代传统复合肥对菜心生长及生产效益的影响。试验设置5个处理:不施氮肥对照(CK)、单施尿素(T1)、农户习惯处理(T2,15-15-15-0复合肥)、含镁氮肥(26-0-0-2)50%替代复合肥(T3)、含镁氮肥(26-0-0-2)100%替代复合肥(T4)处理,统一控制氮肥投入量为180 kg N/hm2,系统测定苗期及成熟期菜心的农艺性状、产量、品质、养分吸收及养分吸收与利用效率。结果表明:在苗期,T3和T4处理均显著提高了菜心生物量、叶面积、叶片SPAD值和茎粗,促进菜心早期壮苗。在成熟期,T3处理增产效果最为显著,在广州和佛山两地试验中,产量较T1处理平均提高38.1%,较T2处理提升18.6%。施用氮镁协同肥料(T3、T4)后,菜心氮和镁含量显著提升,与T1、T2相比,磷和钾含量有所降低。此外,施用氮镁协同肥料的处理(T3、T4)可显著改善菜心品质,T3处理可溶性糖、可溶性蛋白和维生素C含量相较于T2处理平均分别增加17.7%、21.4%和28.5%,较T4处理分别平均提高了9.1%、5.5%和8.1%。综合来看,含镁氮肥部分替代复合肥能够有效促进菜心苗期生长、显著提高产量、明显改善品质,并提升养分吸收和利用效率,其中50%替代农户习惯复合肥的效果最佳。因此,在菜心生产中,将部分复合肥替换为含镁氮肥,既能降低氮肥投入、提高氮肥利用效率、改善镁元素不足状况,又能提升菜心品质,为华南地区菜心高产、优质、绿色生产提供了科学施肥方案与技术支撑。
郝勇舟, 李静, 栗振, 黄文茵, 常静静, 郝艳淑, 宋钊, 陈潇, 陈雷, 张白鸽. 氮镁协同肥料对菜心产量、品质及养分利用效率的影响[J]. 中国农学通报, 2025, 41(36): 73-83.
HAO Yongzhou, LI Jing, LI Zhen, HUANG Wenyin, CHANG Jingjing, HAO Yanshu, SONG Zhao, CHEN Xiao, CHEN Lei, ZHANG Baige. Effect of Nitrogen-Magnesium Synergistic Fertilizer on Yield, Quality and Nutrient Utilization Efficiency of Flowering Chinese Cabbage[J]. Chinese Agricultural Science Bulletin, 2025, 41(36): 73-83.
| 试验点 | 碱解氮/(mg/kg) | 有效磷/(mg/kg) | 速效钾/(mg/kg) | 交换性钙/(mg/kg) | 交换性镁/(mg/kg) | 有机质/(g/kg) | pH |
|---|---|---|---|---|---|---|---|
| 佛山 | 108.5 | 27.3 | 162.9 | 1028.2 | 70.0 | 10.8 | 5.42 |
| 广州 | 115.8 | 31.5 | 188.6 | 940.8 | 98.3 | 23.4 | 6.10 |
| 试验点 | 碱解氮/(mg/kg) | 有效磷/(mg/kg) | 速效钾/(mg/kg) | 交换性钙/(mg/kg) | 交换性镁/(mg/kg) | 有机质/(g/kg) | pH |
|---|---|---|---|---|---|---|---|
| 佛山 | 108.5 | 27.3 | 162.9 | 1028.2 | 70.0 | 10.8 | 5.42 |
| 广州 | 115.8 | 31.5 | 188.6 | 940.8 | 98.3 | 23.4 | 6.10 |
| 试验点 | 处理 | 氮含量/% | 磷含量/% | 钾含量/% | 钙含量/% | 镁含量/% | 锌含量/(mg/kg) |
|---|---|---|---|---|---|---|---|
| 广州 | CK | 1.15±0.09b | 0.56±0.05bc | 2.87±0.28c | 2.51±0.20a | 0.21±0.01c | 24.54±1.29bc |
| T1 | 2.17±0.13a | 0.53±0.01bc | 3.36±0.30bc | 2.14±0.10b | 0.22±0.02c | 21.96±1.83c | |
| T2 | 2.21±0.05a | 0.69±0.07a | 4.48±0.48a | 2.33±0.13ab | 0.24±0.02c | 25.11±1.55bc | |
| T3 | 2.26±0.10a | 0.59±0.02b | 3.67±0.35b | 2.08±0.08bc | 0.29±0.01b | 27.74±2.69b | |
| T4 | 2.27±0.09a | 0.49±0.03c | 2.85±0.27c | 1.84±0.12c | 0.35±0.04a | 32.01±1.96a | |
| 佛山 | CK | 1.11±0.07b | 0.30±0.02d | 2.63±0.28d | 1.86±0.05c | 0.16±0.01d | 25.21±1.76bc |
| T1 | 1.68±0.08a | 0.35±0.03bc | 3.26±0.32bc | 2.54±0.16b | 0.21±0.01c | 29.21±2.60a | |
| T2 | 1.64±0.05a | 0.49±0.02a | 4.01±0.25a | 2.45±0.08b | 0.20±0.01c | 23.73±1.00c | |
| T3 | 1.78±0.06a | 0.37±0.02b | 3.49±0.19b | 2.89±0.18a | 0.24±0.01b | 24.54±1.95bc | |
| T4 | 1.73±0.13a | 0.32±0.01cd | 2.87±0.28cd | 2.64±0.15b | 0.27±0.03a | 27.48±1.25ab |
| 试验点 | 处理 | 氮含量/% | 磷含量/% | 钾含量/% | 钙含量/% | 镁含量/% | 锌含量/(mg/kg) |
|---|---|---|---|---|---|---|---|
| 广州 | CK | 1.15±0.09b | 0.56±0.05bc | 2.87±0.28c | 2.51±0.20a | 0.21±0.01c | 24.54±1.29bc |
| T1 | 2.17±0.13a | 0.53±0.01bc | 3.36±0.30bc | 2.14±0.10b | 0.22±0.02c | 21.96±1.83c | |
| T2 | 2.21±0.05a | 0.69±0.07a | 4.48±0.48a | 2.33±0.13ab | 0.24±0.02c | 25.11±1.55bc | |
| T3 | 2.26±0.10a | 0.59±0.02b | 3.67±0.35b | 2.08±0.08bc | 0.29±0.01b | 27.74±2.69b | |
| T4 | 2.27±0.09a | 0.49±0.03c | 2.85±0.27c | 1.84±0.12c | 0.35±0.04a | 32.01±1.96a | |
| 佛山 | CK | 1.11±0.07b | 0.30±0.02d | 2.63±0.28d | 1.86±0.05c | 0.16±0.01d | 25.21±1.76bc |
| T1 | 1.68±0.08a | 0.35±0.03bc | 3.26±0.32bc | 2.54±0.16b | 0.21±0.01c | 29.21±2.60a | |
| T2 | 1.64±0.05a | 0.49±0.02a | 4.01±0.25a | 2.45±0.08b | 0.20±0.01c | 23.73±1.00c | |
| T3 | 1.78±0.06a | 0.37±0.02b | 3.49±0.19b | 2.89±0.18a | 0.24±0.01b | 24.54±1.95bc | |
| T4 | 1.73±0.13a | 0.32±0.01cd | 2.87±0.28cd | 2.64±0.15b | 0.27±0.03a | 27.48±1.25ab |
| [1] |
|
| [2] |
doi: 10.3389/fpls.2022.802274 URL |
| [3] |
徐可, 叶晓磊, 廖博, 等. 镁营养对油菜叶片光合碳分配的影响[J]. 中国油料作物学报, 2025, 47(3):666-676.
doi: 10.19802/j.issn.1007-9084.2024129 |
| [4] |
丁俊, 娄伟, 谭启玲, 等. 含微量元素镁肥对赣南脐橙施用效果研究[J]. 华中农业大学学报, 2025, 44(1):35-42.
|
| [5] |
doi: 10.1007/s11104-012-1574-z URL |
| [6] |
陈少卿, 耿国涛, 王少华, 等. 镁肥用量对直播冬油菜产量和镁肥利用率的影响[J]. 湖北农业科学, 2023, 62(10):26-29.
|
| [7] |
蔺向前, 赵国斌, 闫建东, 等. 硝酸钾钙镁复合肥对设施黄瓜和番茄产量及经济效益的影响[J]. 生态产业科学与磷氟工程, 2024, 39(9):70-72.
|
| [8] |
耿国涛, 叶晓磊, 余小红, 等. 基施硫酸镁和氯化镁对油菜产量和品质的影响[J]. 土壤学报, 2025, 62(2):472-483.
|
| [9] |
王军威, 甄才红, 柳菁, 等. 信阳地区冬油菜镁肥和硫肥效果研究[J]. 耕作与栽培, 2024, 44(4):45-46.
|
| [10] |
郭善兴, 王新颖, 程淑芳. 硅钙钾镁碱性土壤调理剂在冠县玉米生产上应用效果初探[J]. 中国农技推广, 2024, 40(8):92-94.
|
| [11] |
doi: 10.3389/fpls.2020.00797 pmid: 32595681 |
| [12] |
焦加斌, 李金隆, 李静, 等. 华南冬瓜主产区土壤镁素淋洗损失规律[J]. 土壤, 2024, 56(2):309-318.
|
| [13] |
doi: 10.1071/CP15104 URL |
| [14] |
doi: 10.3389/fpls.2019.00766 URL |
| [15] |
doi: 10.1016/j.agwat.2021.106739 URL |
| [16] |
许东林, 周贤玉, 肖婉钰, 等. 19个中熟菜心品种农艺性状的相关及聚类分析[J]. 长江蔬菜, 2021(16):42-44.
|
| [17] |
黄绍文, 唐继伟, 李春花, 等. 我国蔬菜化肥减施潜力与科学施用对策[J]. 植物营养与肥料学报, 2017, 23(6):1480-1493.
|
| [18] |
鲍士旦. 土壤农化分析[M]. 北京: 北京农业出版社, 2000:79-81, 103-110, 132-135, 154-159.
|
| [19] |
彭少兵, 黄见良, 钟旭华, 等. 提高中国稻田氮肥利用率的研究策略[J]. 中国农业科学, 2002(9):1095-1103.
|
| [20] |
|
| [21] |
曹建康, 姜微波, 赵玉梅. 果蔬采后生理生化实验指导[M]. 北京: 北京轻工业出版社, 2007:54-58.
|
| [22] |
doi: 10.3389/fpls.2023.1285512 URL |
| [23] |
doi: 10.3389/fpls.2023.1221436 URL |
| [24] |
doi: 10.1002/jpln.v188.1 URL |
| [25] |
doi: 10.1071/FP17241 pmid: 32290968 |
| [26] |
doi: 10.1002/jpln.v175.5 URL |
| [27] |
doi: 10.3390/biology9070144 URL |
| [28] |
周春秀, 张婷. 论黄瓜无土栽培中营养液各元素的功能[J]. 新农业, 2019(1):28-29.
|
| [29] |
李春俭, 王正, 张福锁. 镁肥在我国主要作物上的提质增效作用[J]. 中国土壤与肥料, 2022(3):1-6.
|
| [30] |
陈水利. 硫酸镁肥不同施用量对黄瓜经济性状和产量的影响[J]. 福建农业科技, 2019(6):30-32.
|
| [31] |
doi: 10.24154/jhs.v8i1.335 URL |
| [32] |
doi: 10.1016/j.fcr.2021.108082 URL |
| [33] |
doi: 10.1038/nature03145 |
| [34] |
doi: 10.1007/s00425-015-2371-8 URL |
| [35] |
doi: 10.1111/ppl.2008.133.issue-4 URL |
| [36] |
doi: 10.1007/s11104-019-04157-z |
| [37] |
|
| [38] |
丁玉川, 焦晓燕, 聂督, 等. 不同氮源与镁配施对马铃薯产量、品质及养分吸收的影响[J]. 农学学报, 2012, 2(6):49-53.
|
| [39] |
doi: 10.1104/pp.110.168047 URL |
| [40] |
doi: 10.1007/s11104-012-1555-2 URL |
| [41] |
聂录, 林玉萍, 张少波. 镁肥对水稻产量和品质的影响[J]. 现代化农业, 2017(6):17-18.
|
| [42] |
doi: 10.1016/j.scienta.2021.110502 URL |
| [43] |
林海晴, 李静, 李嘉炜, 等. 镁肥用量对4种叶类蔬菜产量、品质及养分吸收的影响[J]. 中国农学通报, 2024, 40(4):74-82.
doi: 10.11924/j.issn.1000-6850.casb2023-0112 |
| [44] |
焦加斌, 李金隆, 郑朝元, 等. 减肥加镁对冬瓜产量及果实品质的影响[J]. 广东农业科学, 2021, 48(9):124-132.
|
| [45] |
doi: 10.1016/j.envpol.2021.117881 URL |
| [1] | 李阳阳, 陈帅民, 徐铭鸿, 迟畅, 马巍, 王胤平, 宋艳, 范作伟, 吴海燕. 腐解菌剂耦合尿素对水稻秸秆腐解率及产量的影响[J]. 中国农学通报, 2025, 41(9): 18-24. |
| [2] | 田翠玲, 田家良. 不同生育期喷施海藻酸增效液对冬小麦光合特性及产量的影响[J]. 中国农学通报, 2025, 41(9): 25-31. |
| [3] | 任庆国, 吴广俊, 林平, 张继雨, 张鑫, 张永珊, 海涛. 小麦新品种‘菏麦26’的产量及品质特性研究[J]. 中国农学通报, 2025, 41(9): 32-37. |
| [4] | 黄文茵, 张白鸽, 常静静, 陈潇, 李静, 陈雷, 赵俊宏, 罗谋雄, 宋钊. 外源肌醇对盐胁迫下番茄产量和品质的影响[J]. 中国农学通报, 2025, 41(9): 73-80. |
| [5] | 汪峰, 朱诗君, 应虹, 柴伟纲, 戴瑶璐, 袁晴, 金树权. 有机改良剂配合适度深耕对丘陵复垦稻田生产力提升效果[J]. 中国农学通报, 2025, 41(9): 91-98. |
| [6] | 王俊江, 尹媛红, 陆楚盛, 陆展华, 蔡昊炀, 叶群欢, 廖嘉晖, 卢钰升, 梁开明, 傅友强. 水稻关键生育期灌溉对干旱胁迫下稻谷产量和水分利用效率的影响[J]. 中国农学通报, 2025, 41(8): 1-10. |
| [7] | 李林, 晏云, 亢江飞, 孟琦翰, 方社法, 陈颖民, 郭建秋. 播期和密度对‘洛豆1304’生育进程、光合特性、农艺性状、产量及品质的影响[J]. 中国农学通报, 2025, 41(8): 11-18. |
| [8] | 薛远赛, 王锡久, 邹士国, 张守福, 刘光亚, 韩伟, 孙显. 复合寡糖对山东典型作物产量的影响[J]. 中国农学通报, 2025, 41(8): 50-56. |
| [9] | 马卓, 周韩冰, 赵满兴, 张霞, 王欣, 马丹妮. 黄腐酸钾对延安山地苹果养分吸收、产量及品质的影响[J]. 中国农学通报, 2025, 41(8): 63-68. |
| [10] | 王成, 李国瑞, 狄建军, 罗蕊, 李明静, 黄凤兰. 蓖麻菌酶生物肥对樱桃番茄生长、产量及品质的影响[J]. 中国农学通报, 2025, 41(8): 69-75. |
| [11] | 杨莹, 樊丽, 杨志超, 曹鑫博, 葛菁萍. 壳寡糖及微生物代谢产物在农业生产中的应用[J]. 中国农学通报, 2025, 41(8): 83-89. |
| [12] | 唐忠建, 张金枝, 王晓梅, 徐文杰, 付雅洁, 赵明艳, 吴如意, 樊雯娟, 张杰. 花穗修整长度对‘夏黑’葡萄果实品质的影响[J]. 中国农学通报, 2025, 41(7): 34-39. |
| [13] | 董建梅, 胡江, 李晶, 刘红明, 付小猛, 赖新朴, 杜玉霞. 砧木对柠檬‘云柠1号’矿质养分吸收的影响[J]. 中国农学通报, 2025, 41(7): 47-54. |
| [14] | 王鑫, 张欣欣, 米明, 李硕, 李好健, 马海林, 司东霞. 一次性施用氮肥对芍药生长及光合特性的影响[J]. 中国农学通报, 2025, 41(7): 61-66. |
| [15] | 苏丹, 王子诚, 贾俊英, 孙德智, 李志军, 郭园, 庄得凤. 水分调控对北苍术生长特性及药材产量品质的影响[J]. 中国农学通报, 2025, 41(7): 75-83. |
| 阅读次数 | ||||||
|
全文 |
|
|||||
|
摘要 |
|
|||||