中国农学通报 ›› 2025, Vol. 41 ›› Issue (36): 157-164.doi: 10.11924/j.issn.1000-6850.casb2024-0703
• 食品·营养·检测·安全 • 上一篇
高新梅1,2,3(
), 赵彦坤1,2,3, 高振贤1,2,3, 郭家宝1,2,3, 王玮1,2,3, 曹巧1,2,3, 刘彦军1,2,3, 张国丛1,2,3(
), 班进福1,2,3(
), 何明琦1,2,3(
)
GAO Xinmei1,2,3(
), ZHAO Yankun1,2,3, GAO Zhenxian1,2,3, GUO Jiabao1,2,3, WANG Wei1,2,3, CAO Qiao1,2,3, LIU Yanjun1,2,3, ZHANG Guocong1,2,3(
), BAN Jinfu1,2,3(
), HE Mingqi1,2,3(
)
摘要:
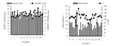
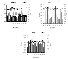
小麦粉是重要的食品加工原料,在北方地区,由其制成的馒头更是居民的主食。为深入解析小麦面团流变发酵特性与馒头加工品质的内在联系,本研究以‘石优17’‘石优20’‘石麦19’等30个不同筋度的小麦品种为材料,创新性地整合相关性及通径分析方法,系统评估了面团特性对馒头品质的影响。研究结果表明:馒头的硬度、胶着性、咀嚼度与面团最大膨胀高度(Hm)、试验结束时的面团高度(h)和面团开始泄漏二氧化碳气的时间(Tx)呈极显著负相关,表明较高的面团膨胀能力和持气性可能导致馒头口感品质下降;馒头的粘着性与气体保留率(Vr/Vt)呈极显著正相关,与峰值时间(T1)、气体释放总量(Vt)和保留体积(Vr)呈极显著负相关,与膨胀衰减比(Hm-h)/Hm呈显著正相关,表明调控面团发酵过程中的气体释放与保留行为是改善馒头粘着性的关键。通径分析进一步表明,对馒头感官评分具有显著正向促进作用的参数依次为:最大压力(P)、弹性指数(Ie)、弱化度、粉质质量指数、峰值时间(T1)和保留体积(Vr);具有显著负向抑制作用的参数则为形变能量(W)和曲线形状比值(P/L)。本研究首次应用通径分析量化了面团流变特性对馒头感官品质的直接与间接效应,为优质馒头专用小麦育种及加工工艺优化提供了重要的理论指导。