欢迎访问《中国农学通报》,

中国农学通报 ›› 2025, Vol. 41 ›› Issue (27): 28-35.doi: 10.11924/j.issn.1000-6850.casb2024-0766

• 农学·农业基础科学 • 上一篇    下一篇

不同栽培方式对春花生果针和荚果发育及产量的影响

高明慧1(), 毕海滨1, 卓玛1, 杨平1(), 牛忠磊2, 张海娟3, 巩素霞1, 巩法江1, 王东峰1, 齐贵1, 李娜1   

  1. 1 淄博市农业科学研究院,山东淄博 255033
    2 淄博市淄川区农业农村事务服务中心,山东淄博 255100
    3 淄博市数字农业农村发展中心,山东淄博 255033
  • 收稿日期:2024-12-16 修回日期:2025-04-03 出版日期:2025-09-25 发布日期:2025-10-07
  • 通讯作者:
    杨平,男,1972年出生,山东诸城人,正高级农艺师,研究方向:特色作物高效栽培技术与育种。通信地址:255033 山东省淄博市张店区商场西街197号 淄博市农业科学研究院,Tel:0533-2860767,E-mail:
  • 作者简介:

    高明慧,女,1988年出生,山东滨州人,农艺师,硕士研究生,研究方向:特色作物高效栽培技术与育种。通信地址:255033 山东省淄博市张店区商场西街197号 淄博市农业科学研究院,E-mail:

  • 基金资助:
    淄博市重点研发计划“以‘研产加’产业融合助推山区精准扶贫模式研究”(2019gy010018)

Effects of Different Cultivation Modes on Gynophores and Pods Development and Yield of Spring Peanut

GAO Minghui1(), BI Haibin1, ZHUO Ma1, YANG Ping1(), NIU Zhonglei2, ZHANG Haijuan3, GONG Suxia1, GONG Fajiang1, WANG Dongfeng1, QI Gui1, LI Na1   

  1. 1 Zibo Academy of Agricultural Sciences, Zibo, Shandong 255033
    2 Zichuan District Agricultural and Rural Affairs Service Center, Zibo, Shandong 255100
    3 Zibo Digital Agriculture and Rural Development Centre, Zibo, Shandong 255033
  • Received:2024-12-16 Revised:2025-04-03 Published:2025-09-25 Online:2025-10-07

摘要:

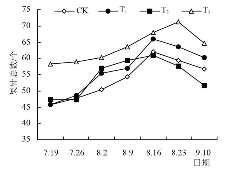
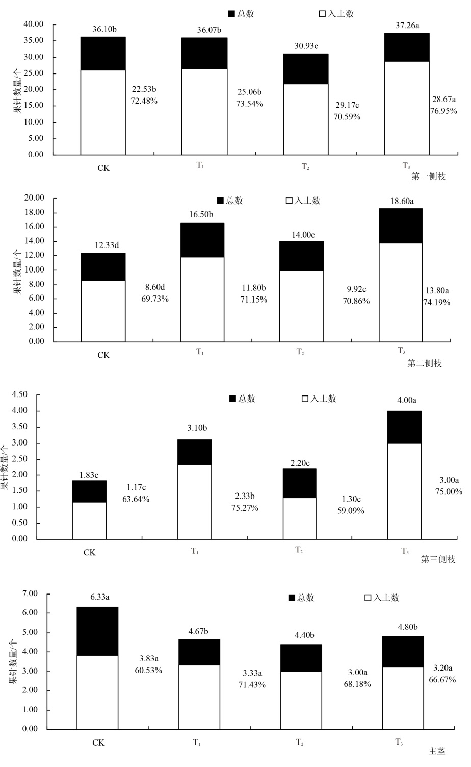
为了探索不同栽培方式对花生果针和荚果发育的影响,提高花生产量,本研究以‘潍花21’花生品种为研究对象,以常规起垄双粒播种为对照,系统比较了笔架式起垄+双粒穴播、常规起垄+单粒精播、笔架式起垄+单粒精播3种栽培方式的效果。结果表明,笔架式起垄能显著提高各生育阶段的果针总数量和果针入土率;3个处理较对照均能显著提高第二侧枝、第三侧枝的果针数量、占比和入土率,降低主茎果针数量、占比和入土率。此外,笔架式起垄能够提高短果针、中果针数量和占比;笔架式起垄和单粒精播均能够降低长果针数量、提高双果和单果数量、降低无效果数量。在产量方面,笔架式起垄+双粒穴播、常规起垄+单粒精播、笔架式起垄+单粒精播较对照分别增产11.65%、4.57%、24.52%,其中笔架式起垄+单粒精播的增产效果最为显著。综上所述,笔架式起垄和单粒精播均能促进花生果针和荚果发育、提高产量,而笔架式起垄+单粒精播的栽培方式增产效果最优,适宜在生产中推广应用。

关键词: 花生, 笔架式起垄, 单粒精播, 果针, 荚果, 产量

Abstract:

In order to explore the effects of different cultivation modes on the development of peanut gynophores and pods and to increase the yield of peanut, the effects of three cultivation methods were systematically studied with ‘Weihua 21’ peanut cultivar as the research object. The three cultivation methods included pen-frame ridging + double seed hole sowing, conventional ridging + single seed precision sowing, pen-frame ridging + single seed precision sowing, with the conventional flat ridge double seed sowing as the control. The results showed that pen-frame ridging could improve the total number of gynophores in each period, and each treatment could improve the rate of gynophores buried penetration in each period obviously; Three treatments could increase the number, proportion and burial rate of gynophores in the second and third lateral branches, and reduce the number, proportion and burial rate of gynophores in the main stem compared with CK; pen-frame ridging could increase the number and proportion of short gynophores and medium gynophores, pen-frame ridging and single seed precision sowing could reduce the number of long gynophores, increase the number of double-pod and single-pod, and reduce the number of ineffective-pod, all treatments could increase peanut yield by 11.65%, 4.57%, 24.52%, and the effect of pen-frame ridging + single seed precision sowing was the most obviously. To sum up, pen-frame ridging and single-grain precision sowing can promote the development of peanut gynophores and pods, and increase the yield. Pen-frame ridging + single seed precision sowing has the most significant effect on improving the yield, which is suitable for popularization in production.

Key words: peanut, pen-frame ridging, single seed precision sowing, gynophores, pod, yield