中国农学通报 ›› 2025, Vol. 41 ›› Issue (36): 1-11.doi: 10.11924/j.issn.1000-6850.casb2025-0032
• 农学·农业基础科学 • 下一篇
何丽华1(
), 宋云生2, 董明辉2(
), 江贻2, 吴正贵1
收稿日期:2025-01-10
修回日期:2025-03-15
出版日期:2025-12-25
发布日期:2025-12-25
通讯作者:
作者简介:何丽华,女,1972年出生,安徽怀宁人,高级农艺师,硕士,主要从事作物高质高效安全生产技术研究。通信地址:215008 江苏省苏州市姑苏区竹辉路158号 苏州市农业技术推广中心,Tel:0512-65112287,E-mail:1265062504@qq.com。
基金资助:
HE Lihua1(
), SONG Yunsheng2, DONG Minghui2(
), JIANG Yi2, WU Zhenggui1
Received:2025-01-10
Revised:2025-03-15
Published:2025-12-25
Online:2025-12-25
摘要:
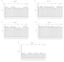
为明确移栽行距与播期组合对晚粳稻生长特性、产量及品质的协同调控效应,优化太湖地区晚粳稻栽培技术,本研究以‘苏香粳100’(常规晚粳稻)和‘甬优1526’(杂交晚粳稻)为试材,采用三因素(品种×移栽行距×播期)随机区组设计,设置常规行距(30 cm,T1)和宽窄行(40 cm+20 cm,T2)2种行距,5月13日(B1)、5月23日(B2)、6月2日(B3)、6月12日(B4)4个播期,系统测定茎蘖动态、叶面积指数、SPAD值、干物质积累、产量及稻米品质指标。结果表明,宽窄行移栽与5月23日播种组合表现最优,‘苏香粳100’与‘甬优1526’在该组合下成穗率分别为82.96%和79.80%,孕穗期SPAD值为46.02和50.08,叶面积指数为5.68和7.64,干物质积累量分别为23.34和26.37 t/hm2,产量达11.9和13.9 t/hm2,均显著优于其他组合(P<0.01)。稻米品质方面,垩白度降至4.1%,直链淀粉含量适中,胶稠度达90.1 mm,整精米率提高至76.1%,品质优势显著(P<0.05)。研究表明,宽窄行配合适宜播期能够协同优化晚粳稻群体结构与物质转化效率,实现稳产提质,适宜在太湖稻区及周边主产区推广应用。
何丽华, 宋云生, 董明辉, 江贻, 吴正贵. 基于移栽行距和播期配置优化的晚粳稻生长特性、产量与品质调控研究[J]. 中国农学通报, 2025, 41(36): 1-11.
HE Lihua, SONG Yunsheng, DONG Minghui, JIANG Yi, WU Zhenggui. Study on Growth, Yield, and Quality Regulation of Late Japonica Rice Based on Transplanting Row Spacing and Sowing Date Optimization[J]. Chinese Agricultural Science Bulletin, 2025, 41(36): 1-11.
| 品种 | 移栽 行距 | 播期 | 分蘖期/ (×104/hm2) | 拔节期/ (×104/hm2) | 孕穗期/ (×104/hm2) | 抽穗期/ (×104/hm2) | 成熟期/ (×104/hm2) | 茎蘖成穗率/% |
|---|---|---|---|---|---|---|---|---|
| V1 | T1 | B1 | 160.68 f | 358.32 g | 339.96 g | 307.68 d | 283.20 d | 79.04 bc |
| B2 | 174.48 d | 370.68 cd | 347.40 e | 313.92 c | 296.40 b | 79.96 b | ||
| B3 | 193.32 b | 369.96 d | 348.60 e | 290.88 f | 278.52 e | 75.28 e | ||
| B4 | 207.12 a | 373.68 b | 362.16 b | 293.28 f | 268.80 f | 71.93 fg | ||
| T2 | B1 | 161.64 ef | 366.96 e | 349.80 e | 319.68 b | 295.20 b | 80.44 b | |
| B2 | 177.60 d | 370.32 d | 352.80 d | 319.92 b | 307.20 a | 82.96 a | ||
| B3 | 195.96 b | 372.84 bc | 357.48 c | 336.48 a | 289.20 c | 77.57 d | ||
| B4 | 209.04 a | 382.20 a | 366.60 a | 302.88 e | 278.40 e | 72.84 f | ||
| V2 | T1 | B1 | 142.32 h | 319.44 k | 292.56 l | 298.92 e | 250.44 l | 78.40 cd |
| B2 | 151.92 g | 327.60 j | 305.54 k | 285.48 g | 261.01 hi | 79.67 bc | ||
| B3 | 166.32 e | 345.12 i | 332.40 h | 261.24 i | 260.76 i | 75.58 e | ||
| B4 | 178.68 d | 360.84 f | 360.48 b | 253.32 j | 252.84 k | 70.07 h | ||
| T2 | B1 | 149.16 g | 321.48 k | 308.04 j | 291.72 f | 255.24 j | 79.40 bc | |
| B2 | 157.56 f | 329.64 j | 320.40 i | 311.52 cd | 263.04 gh | 79.80 bc | ||
| B3 | 178.32 d | 351.24 h | 343.20 f | 282.48 g | 263.76 g | 75.09 e | ||
| B4 | 186.01 c | 365.40 e | 366.72 a | 266.76 h | 259.08 i | 70.90 gh | ||
| 方差分析 | 显著性(P值) | |||||||
| V | * | ** | ** | ** | ** | * | ||
| T | * | ** | ** | ** | * | * | ||
| B | ** | ** | ** | ** | ** | ** | ||
| V×T | NS | * | * | * | NS | NS | ||
| V×B | * | ** | ** | ** | * | * | ||
| T×B | ** | ** | ** | ** | * | ** | ||
| V×T×B | NS | NS | * | * | NS | NS | ||
| 品种 | 移栽 行距 | 播期 | 分蘖期/ (×104/hm2) | 拔节期/ (×104/hm2) | 孕穗期/ (×104/hm2) | 抽穗期/ (×104/hm2) | 成熟期/ (×104/hm2) | 茎蘖成穗率/% |
|---|---|---|---|---|---|---|---|---|
| V1 | T1 | B1 | 160.68 f | 358.32 g | 339.96 g | 307.68 d | 283.20 d | 79.04 bc |
| B2 | 174.48 d | 370.68 cd | 347.40 e | 313.92 c | 296.40 b | 79.96 b | ||
| B3 | 193.32 b | 369.96 d | 348.60 e | 290.88 f | 278.52 e | 75.28 e | ||
| B4 | 207.12 a | 373.68 b | 362.16 b | 293.28 f | 268.80 f | 71.93 fg | ||
| T2 | B1 | 161.64 ef | 366.96 e | 349.80 e | 319.68 b | 295.20 b | 80.44 b | |
| B2 | 177.60 d | 370.32 d | 352.80 d | 319.92 b | 307.20 a | 82.96 a | ||
| B3 | 195.96 b | 372.84 bc | 357.48 c | 336.48 a | 289.20 c | 77.57 d | ||
| B4 | 209.04 a | 382.20 a | 366.60 a | 302.88 e | 278.40 e | 72.84 f | ||
| V2 | T1 | B1 | 142.32 h | 319.44 k | 292.56 l | 298.92 e | 250.44 l | 78.40 cd |
| B2 | 151.92 g | 327.60 j | 305.54 k | 285.48 g | 261.01 hi | 79.67 bc | ||
| B3 | 166.32 e | 345.12 i | 332.40 h | 261.24 i | 260.76 i | 75.58 e | ||
| B4 | 178.68 d | 360.84 f | 360.48 b | 253.32 j | 252.84 k | 70.07 h | ||
| T2 | B1 | 149.16 g | 321.48 k | 308.04 j | 291.72 f | 255.24 j | 79.40 bc | |
| B2 | 157.56 f | 329.64 j | 320.40 i | 311.52 cd | 263.04 gh | 79.80 bc | ||
| B3 | 178.32 d | 351.24 h | 343.20 f | 282.48 g | 263.76 g | 75.09 e | ||
| B4 | 186.01 c | 365.40 e | 366.72 a | 266.76 h | 259.08 i | 70.90 gh | ||
| 方差分析 | 显著性(P值) | |||||||
| V | * | ** | ** | ** | ** | * | ||
| T | * | ** | ** | ** | * | * | ||
| B | ** | ** | ** | ** | ** | ** | ||
| V×T | NS | * | * | * | NS | NS | ||
| V×B | * | ** | ** | ** | * | * | ||
| T×B | ** | ** | ** | ** | * | ** | ||
| V×T×B | NS | NS | * | * | NS | NS | ||
| 品种 | 移栽行距 | 播期 | 分蘖期/(t/hm2) | 拔节期/(t/hm2) | 孕穗期/(t/hm2) | 抽穗期/(t/hm2) | 成熟期/(t/hm2) | 收获指数/% |
|---|---|---|---|---|---|---|---|---|
| V1 | T1 | B1 | 1.38 abc | 4.71 h | 6.55 de | 12.18 ef | 20.48 efg | 0.43 fghi |
| B2 | 1.41 abc | 4.89 gh | 6.76 cde | 12.41 ef | 21.20 ef | 0.52 cde | ||
| B3 | 1.43 abc | 5.22 efg | 6.33 de | 12.10 ef | 19.87 fg | 0.41 ghi | ||
| B4 | 1.49 abc | 5.44 def | 6.22 e | 11.96 f | 19.25 g | 0.38 i | ||
| T2 | B1 | 1.49 abc | 5.13 fg | 6.73 cde | 13.04 de | 21.94 de | 0.48 def | |
| B2 | 1.55 abc | 5.19 fg | 7.27 bc | 13.62 d | 23.34 cd | 0.51 cde | ||
| B3 | 1.56 ab | 5.40 def | 6.86 cd | 12.59 ef | 20.67 efg | 0.47 ef | ||
| B4 | 1.62 a | 5.69 bcd | 6.50 de | 12.38 ef | 20.17 fg | 0.39 hi | ||
| V2 | T1 | B1 | 1.31 c | 5.47 cdef | 7.56 ab | 15.61 abc | 23.27 cd | 0.56 abc |
| B2 | 1.32 bc | 5.40 def | 7.70 ab | 15.98 ab | 24.49 bc | 0.58 ab | ||
| B3 | 1.42 abc | 5.87 b | 7.73 ab | 15.17 bc | 23.05 cd | 0.52 cde | ||
| B4 | 1.61 a | 6.51 a | 7.93 a | 14.83 c | 23.39 cd | 0.44 fgh | ||
| T2 | B1 | 1.31 c | 5.84 bc | 7.72 ab | 15.93 ab | 26.02 ab | 0.59 a | |
| B2 | 1.48 abc | 5.60 bcde | 7.93 a | 16.33 a | 26.37 a | 0.59 a | ||
| B3 | 1.57 a | 6.58 a | 7.89 a | 15.67 abc | 25.46 ab | 0.53 bcd | ||
| B4 | 1.62 a | 6.69 a | 8.01 a | 15.43 abc | 24.51 bc | 0.45 fg | ||
| 方差分析 | 显著性(P值) | |||||||
| V | ** | ** | ** | ** | ** | ** | ||
| T | ** | ** | ** | ** | ** | ** | ||
| B | ** | ** | ** | ** | ** | ** | ||
| V×T | * | * | NS | NS | * | * | ||
| V×B | ** | ** | ** | ** | ** | ** | ||
| T×B | ** | ** | ** | ** | ** | ** | ||
| V×T×B | NS | * | * | NS | NS | NS | ||
| 品种 | 移栽行距 | 播期 | 分蘖期/(t/hm2) | 拔节期/(t/hm2) | 孕穗期/(t/hm2) | 抽穗期/(t/hm2) | 成熟期/(t/hm2) | 收获指数/% |
|---|---|---|---|---|---|---|---|---|
| V1 | T1 | B1 | 1.38 abc | 4.71 h | 6.55 de | 12.18 ef | 20.48 efg | 0.43 fghi |
| B2 | 1.41 abc | 4.89 gh | 6.76 cde | 12.41 ef | 21.20 ef | 0.52 cde | ||
| B3 | 1.43 abc | 5.22 efg | 6.33 de | 12.10 ef | 19.87 fg | 0.41 ghi | ||
| B4 | 1.49 abc | 5.44 def | 6.22 e | 11.96 f | 19.25 g | 0.38 i | ||
| T2 | B1 | 1.49 abc | 5.13 fg | 6.73 cde | 13.04 de | 21.94 de | 0.48 def | |
| B2 | 1.55 abc | 5.19 fg | 7.27 bc | 13.62 d | 23.34 cd | 0.51 cde | ||
| B3 | 1.56 ab | 5.40 def | 6.86 cd | 12.59 ef | 20.67 efg | 0.47 ef | ||
| B4 | 1.62 a | 5.69 bcd | 6.50 de | 12.38 ef | 20.17 fg | 0.39 hi | ||
| V2 | T1 | B1 | 1.31 c | 5.47 cdef | 7.56 ab | 15.61 abc | 23.27 cd | 0.56 abc |
| B2 | 1.32 bc | 5.40 def | 7.70 ab | 15.98 ab | 24.49 bc | 0.58 ab | ||
| B3 | 1.42 abc | 5.87 b | 7.73 ab | 15.17 bc | 23.05 cd | 0.52 cde | ||
| B4 | 1.61 a | 6.51 a | 7.93 a | 14.83 c | 23.39 cd | 0.44 fgh | ||
| T2 | B1 | 1.31 c | 5.84 bc | 7.72 ab | 15.93 ab | 26.02 ab | 0.59 a | |
| B2 | 1.48 abc | 5.60 bcde | 7.93 a | 16.33 a | 26.37 a | 0.59 a | ||
| B3 | 1.57 a | 6.58 a | 7.89 a | 15.67 abc | 25.46 ab | 0.53 bcd | ||
| B4 | 1.62 a | 6.69 a | 8.01 a | 15.43 abc | 24.51 bc | 0.45 fg | ||
| 方差分析 | 显著性(P值) | |||||||
| V | ** | ** | ** | ** | ** | ** | ||
| T | ** | ** | ** | ** | ** | ** | ||
| B | ** | ** | ** | ** | ** | ** | ||
| V×T | * | * | NS | NS | * | * | ||
| V×B | ** | ** | ** | ** | ** | ** | ||
| T×B | ** | ** | ** | ** | ** | ** | ||
| V×T×B | NS | * | * | NS | NS | NS | ||
| 品种 | 移栽行距 | 播期 | 单位面积穗数/ (×104/hm2) | 平均每穗粒数/粒 | 结实率/% | 千粒重/g | 产量/ (t/hm2) | |||||
|---|---|---|---|---|---|---|---|---|---|---|---|---|
| V1 | T1 | B1 | 295.2 de | 137.2 e | 87.5 ab | 24.9 cd | 8.8 efg | |||||
| B2 | 301.2 cd | 152.4 d | 86.3 ab | 25.8 b | 9.9 de | |||||||
| B3 | 278.4 f | 137.9 e | 87.0 ab | 24.7 cde | 8.2 fgh | |||||||
| B4 | 280.8 f | 122.8 f | 87.5 ab | 24.1 def | 7.3 h | |||||||
| T2 | B1 | 307.2 c | 155.0 d | 87.9 ab | 25.2 bc | 10.6 d | ||||||
| B2 | 332.4 a | 157.2 d | 86.1 bc | 26.6 a | 11.9 c | |||||||
| B3 | 324.0 b | 139.2 e | 87.5 ab | 24.7 cde | 9.8 de | |||||||
| B4 | 290.4 e | 125.4 f | 88.7 a | 24.3 de | 7.8 gh | |||||||
| V2 | T1 | B1 | 240.0 h | 257.9 b | 82.2 de | 23.4 f | 11.9 c | |||||
| B2 | 247.2 g | 261.5 ab | 82.8 de | 24.0 ef | 12.8 bc | |||||||
| B3 | 228.0 i | 257.4 b | 81.4 e | 22.4 g | 10.7 d | |||||||
| B4 | 214.8 j | 237.5 c | 81.3 e | 22.3 g | 9.2 ef | |||||||
| T2 | B1 | 249.6 g | 267.4 a | 82.6 de | 23.9 ef | 13.1 ab | ||||||
| B2 | 249.1 g | 269.1 a | 83.9 cd | 24.7 cde | 13.9 a | |||||||
| B3 | 240.0 h | 265.2 ab | 82.1 de | 23.4 f | 12.2 bc | |||||||
| B4 | 234.0 hi | 244.4 c | 81.7 de | 22.6 g | 10.6 d | |||||||
| 方差分析 | 显著性(P值) | |||||||||||
| V | ** | ** | ** | ** | ** | |||||||
| T | ** | ** | ** | ** | ** | |||||||
| B | ** | ** | ** | ** | ** | |||||||
| V×T | * | * | NS | NS | * | |||||||
| V×B | ** | ** | * | ** | ** | |||||||
| T×B | ** | ** | * | ** | ** | |||||||
| V×T×B | NS | NS | NS | NS | NS | |||||||
| 品种 | 移栽行距 | 播期 | 单位面积穗数/ (×104/hm2) | 平均每穗粒数/粒 | 结实率/% | 千粒重/g | 产量/ (t/hm2) | |||||
|---|---|---|---|---|---|---|---|---|---|---|---|---|
| V1 | T1 | B1 | 295.2 de | 137.2 e | 87.5 ab | 24.9 cd | 8.8 efg | |||||
| B2 | 301.2 cd | 152.4 d | 86.3 ab | 25.8 b | 9.9 de | |||||||
| B3 | 278.4 f | 137.9 e | 87.0 ab | 24.7 cde | 8.2 fgh | |||||||
| B4 | 280.8 f | 122.8 f | 87.5 ab | 24.1 def | 7.3 h | |||||||
| T2 | B1 | 307.2 c | 155.0 d | 87.9 ab | 25.2 bc | 10.6 d | ||||||
| B2 | 332.4 a | 157.2 d | 86.1 bc | 26.6 a | 11.9 c | |||||||
| B3 | 324.0 b | 139.2 e | 87.5 ab | 24.7 cde | 9.8 de | |||||||
| B4 | 290.4 e | 125.4 f | 88.7 a | 24.3 de | 7.8 gh | |||||||
| V2 | T1 | B1 | 240.0 h | 257.9 b | 82.2 de | 23.4 f | 11.9 c | |||||
| B2 | 247.2 g | 261.5 ab | 82.8 de | 24.0 ef | 12.8 bc | |||||||
| B3 | 228.0 i | 257.4 b | 81.4 e | 22.4 g | 10.7 d | |||||||
| B4 | 214.8 j | 237.5 c | 81.3 e | 22.3 g | 9.2 ef | |||||||
| T2 | B1 | 249.6 g | 267.4 a | 82.6 de | 23.9 ef | 13.1 ab | ||||||
| B2 | 249.1 g | 269.1 a | 83.9 cd | 24.7 cde | 13.9 a | |||||||
| B3 | 240.0 h | 265.2 ab | 82.1 de | 23.4 f | 12.2 bc | |||||||
| B4 | 234.0 hi | 244.4 c | 81.7 de | 22.6 g | 10.6 d | |||||||
| 方差分析 | 显著性(P值) | |||||||||||
| V | ** | ** | ** | ** | ** | |||||||
| T | ** | ** | ** | ** | ** | |||||||
| B | ** | ** | ** | ** | ** | |||||||
| V×T | * | * | NS | NS | * | |||||||
| V×B | ** | ** | * | ** | ** | |||||||
| T×B | ** | ** | * | ** | ** | |||||||
| V×T×B | NS | NS | NS | NS | NS | |||||||
| 品种 | 移栽 行距 | 播期 | 糙米率/% | 整精米率/ % | 垩白粒率/ % | 垩白度/ % | 蛋白质/ % | 直链淀粉/ % | 胶稠度/ mm | 崩解值/ cP | 消减值/ cP | |||||
|---|---|---|---|---|---|---|---|---|---|---|---|---|---|---|---|---|
| V1 | T1 | B1 | 85.6 a | 75.9 ab | 52.7 de | 4.3 de | 8.3 e | 9.6 h | 91.5 a | 1207 h | -566 g | |||||
| B2 | 85.2 ab | 74.6 bc | 53.7 d | 4.8 cd | 9.3 d | 10.8 g | 89.1 bc | 1249 h | -611 i | |||||||
| B3 | 85.1 ab | 73.9 c | 58.01bc | 6.01 b | 9.5 c | 11.0 g | 83.5 d | 1222 h | -583 h | |||||||
| B4 | 84.3 b | 72.3 c | 59.8 a | 7.7 a | 10.1 ab | 12.0 f | 78.5 f | 1191 i | -547 g | |||||||
| T2 | B1 | 85.9 a | 76.1 a | 52.4 e | 4.1 e | 9.2 d | 10.0 g | 90.1 ab | 1261 h | -535 g | ||||||
| B2 | 85.6 a | 75.8 ab | 53.5 de | 4.7 de | 9.7 c | 10.9 g | 87.5 c | 1289 h | -584 h | |||||||
| B3 | 85.3 ab | 74.7 bc | 57.3 d | 5.5 bc | 10.5 a | 11.4 g | 81.5 e | 1267 h | -557 g | |||||||
| B4 | 85.1 ab | 73.2 c | 58.6 ab | 7.1 a | 10.6 a | 12.1 f | 76.5 g | 1247 h | -524 g | |||||||
| V2 | T1 | B1 | 83.1 b | 65.1 d | 20.1 f | 2.8 g | 6.6 g | 13.8 e | 78.5 f | 1497 f | -261 cd | |||||
| B2 | 82.5 bc | 63.4 d | 21.9 f | 3.1 f | 6.9 g | 14.4 cd | 76.5 g | 1529 b | -307 f | |||||||
| B3 | 81.5 c | 62.3 e | 24.8 f | 4.6 de | 7.1 f | 14.6 c | 71.5 h | 1510 de | -290 e | |||||||
| B4 | 81.2 c | 61.6 e | 27.8 f | 6.4 a | 7.5 f | 15.5 a | 66.5 i | 1480 g | -251 bc | |||||||
| T2 | B1 | 83.4 b | 66.9 d | 18.3 f | 2.3 g | 7.4 f | 14.1 d | 78.0 f | 1517 cd | -240 ab | ||||||
| B2 | 82.9 bc | 65.4 d | 19.4 f | 2.7 g | 7.7 f | 14.2 d | 75.0 g | 1540 a | -288 e | |||||||
| B3 | 81.9 c | 64.7 d | 23.7 f | 3.7 f | 8.1 e | 15.1 b | 70.0 h | 1521 bc | -267 d | |||||||
| B4 | 82.5 bc | 64.3 d | 25.5 f | 3.8 f | 8.5 e | 15.6 a | 65.5 i | 1502 ef | -230 a | |||||||
| 方差分析 | 显著性(P值) | |||||||||||||||
| V | ** | ** | ** | ** | ** | ** | ** | ** | ** | |||||||
| T | ** | ** | ** | ** | ** | ** | ** | ** | ** | |||||||
| B | ** | ** | ** | ** | ** | ** | ** | ** | ** | |||||||
| V×T | * | * | * | NS | * | * | * | * | * | |||||||
| V×B | ** | ** | ** | ** | ** | ** | ** | ** | ** | |||||||
| T×B | ** | ** | ** | ** | ** | ** | ** | ** | ** | |||||||
| V×T×B | NS | NS | * | NS | NS | NS | NS | NS | NS | |||||||
| 品种 | 移栽 行距 | 播期 | 糙米率/% | 整精米率/ % | 垩白粒率/ % | 垩白度/ % | 蛋白质/ % | 直链淀粉/ % | 胶稠度/ mm | 崩解值/ cP | 消减值/ cP | |||||
|---|---|---|---|---|---|---|---|---|---|---|---|---|---|---|---|---|
| V1 | T1 | B1 | 85.6 a | 75.9 ab | 52.7 de | 4.3 de | 8.3 e | 9.6 h | 91.5 a | 1207 h | -566 g | |||||
| B2 | 85.2 ab | 74.6 bc | 53.7 d | 4.8 cd | 9.3 d | 10.8 g | 89.1 bc | 1249 h | -611 i | |||||||
| B3 | 85.1 ab | 73.9 c | 58.01bc | 6.01 b | 9.5 c | 11.0 g | 83.5 d | 1222 h | -583 h | |||||||
| B4 | 84.3 b | 72.3 c | 59.8 a | 7.7 a | 10.1 ab | 12.0 f | 78.5 f | 1191 i | -547 g | |||||||
| T2 | B1 | 85.9 a | 76.1 a | 52.4 e | 4.1 e | 9.2 d | 10.0 g | 90.1 ab | 1261 h | -535 g | ||||||
| B2 | 85.6 a | 75.8 ab | 53.5 de | 4.7 de | 9.7 c | 10.9 g | 87.5 c | 1289 h | -584 h | |||||||
| B3 | 85.3 ab | 74.7 bc | 57.3 d | 5.5 bc | 10.5 a | 11.4 g | 81.5 e | 1267 h | -557 g | |||||||
| B4 | 85.1 ab | 73.2 c | 58.6 ab | 7.1 a | 10.6 a | 12.1 f | 76.5 g | 1247 h | -524 g | |||||||
| V2 | T1 | B1 | 83.1 b | 65.1 d | 20.1 f | 2.8 g | 6.6 g | 13.8 e | 78.5 f | 1497 f | -261 cd | |||||
| B2 | 82.5 bc | 63.4 d | 21.9 f | 3.1 f | 6.9 g | 14.4 cd | 76.5 g | 1529 b | -307 f | |||||||
| B3 | 81.5 c | 62.3 e | 24.8 f | 4.6 de | 7.1 f | 14.6 c | 71.5 h | 1510 de | -290 e | |||||||
| B4 | 81.2 c | 61.6 e | 27.8 f | 6.4 a | 7.5 f | 15.5 a | 66.5 i | 1480 g | -251 bc | |||||||
| T2 | B1 | 83.4 b | 66.9 d | 18.3 f | 2.3 g | 7.4 f | 14.1 d | 78.0 f | 1517 cd | -240 ab | ||||||
| B2 | 82.9 bc | 65.4 d | 19.4 f | 2.7 g | 7.7 f | 14.2 d | 75.0 g | 1540 a | -288 e | |||||||
| B3 | 81.9 c | 64.7 d | 23.7 f | 3.7 f | 8.1 e | 15.1 b | 70.0 h | 1521 bc | -267 d | |||||||
| B4 | 82.5 bc | 64.3 d | 25.5 f | 3.8 f | 8.5 e | 15.6 a | 65.5 i | 1502 ef | -230 a | |||||||
| 方差分析 | 显著性(P值) | |||||||||||||||
| V | ** | ** | ** | ** | ** | ** | ** | ** | ** | |||||||
| T | ** | ** | ** | ** | ** | ** | ** | ** | ** | |||||||
| B | ** | ** | ** | ** | ** | ** | ** | ** | ** | |||||||
| V×T | * | * | * | NS | * | * | * | * | * | |||||||
| V×B | ** | ** | ** | ** | ** | ** | ** | ** | ** | |||||||
| T×B | ** | ** | ** | ** | ** | ** | ** | ** | ** | |||||||
| V×T×B | NS | NS | * | NS | NS | NS | NS | NS | NS | |||||||
| [1] |
陈培峰, 乔中英, 谢裕林, 等. 优质多抗香稻新品种‘苏香粳100’的选育与应用[J]. 作物研究, 2017, 31(1):15-17.
|
| [2] |
张洪程, 胡雅杰, 杨建昌, 等. 中国特色水稻栽培学发展与展望[J]. 中国农业科学, 2021, 54(7):1301-1321.
doi: 10.3864/j.issn.0578-1752.2021.07.001 |
| [3] |
胡雅杰, 钱海军, 曹伟伟, 等. 机插方式和密度对不同穗型水稻品种产量及其构成的影响[J]. 中国水稻科学, 2016, 30(5):493-506.
doi: 10.16819/j.1001-7216.2016.6015 |
| [4] |
董明辉, 陈培峰, 江贻, 等. 江苏太湖地区不同生育类型粳稻品种产量对不同播期气候因子的响应[J]. 作物学报, 2021, 47(5):952-963.
doi: 10.3724/SP.J.1006.2021.02031 |
| [5] |
doi: 10.1371/journal.pone.0182310 URL |
| [6] |
doi: 10.1016/j.fcr.2020.107832 URL |
| [7] |
李智, 洪祥, 匡新华. 密度和株行距对中低产田水稻产量及灌浆期光合特征的影响[J]. 湖南农业科学, 2023(5):14-19.
|
| [8] |
刘俊峰, 李漪濛, 梁超, 等. 施氮方式与行距配置对水稻冠层结构及产量的影响[J]. 华北农学报, 2022, 37(1):77-85.
doi: 10.7668/hbnxb.20192614 |
| [9] |
谢裕林, 于雅洁, 董明辉, 等. 茎鞘非结构性碳水化合物积累运转与稻米品质对播期和行距配置的响应[J]. 江苏农业科学, 2022, 50(8):93-100.
|
| [10] |
代金英, 胡蕾, 孙一标, 等. 播期对苏北盐碱地不同水稻品种生长发育进程及产量的影响[J]. 中国农学通报, 2021, 37(3):1-6.
doi: 10.11924/j.issn.1000-6850.casb20200300231 |
| [11] |
周丽慧, 孙凯文, 朱镇, 等. 优良食味粳稻产量、品质及资源利用效率对播期的响应[J]. 江苏农业科学, 2023, 51(2):81-86.
|
| [12] |
宋云生, 曹鹏辉, 于雅洁, 等. 基于PARMS技术的稻瘟病抗性基因分子标记研究及其在江苏太湖稻区的应用[J]. 江西农业学报, 2023, 35(8):23-28,35.
|
| [13] |
王孟佳, 殷敏, 褚光, 等. 长江中下游双季晚粳稻产量、生育时期及温光资源配置的生态性差异[J]. 中国水稻科学, 2021, 35(5):475-486.
doi: 10.16819/j.1001-7216.2021.201109 |
| [14] |
doi: 10.1016/j.rhisph.2025.101038 URL |
| [15] |
郑盛华, 陈红琳, 朱孟琦, 等. 播期对川西平原直播稻光合特性和产量的影响[J]. 核农学报, 2019, 33(3):574-582.
doi: 10.11869/j.issn.100-8551.2019.03.0574 |
| [16] |
毛智军, 叶飞, 吴兴, 等. 播期对直播稻甬优15生长发育、产量和温光利用的影响[J]. 浙江农业科学, 2019, 60(8):1366-1369.
doi: 10.16178/j.issn.0528-9017.20190828 |
| [17] |
张洪熙, 张祖建, 王才林, 等. 江苏不同熟期粳稻品种的齐穗期和安全播期预测[J]. 作物学报, 2013, 39(8):1416-1424.
|
| [18] |
崔思远, 曹光乔, 张文毅, 等. 适宜机插株行距促进水稻生长提高产量[J]. 农业工程学报, 2014, 30(22):37-43.
|
| [19] |
原小燕, 张云云, 符明联, 等. 间作带型、宽窄行与密植对玉米和花生产量及相关性状的影响[J]. 西南农业学报, 2018, 31(11):2288-2293.
|
| [20] |
朱镇, 赵庆勇, 张亚东, 等. 播期、施氮量和密度对南粳9108产量及其构成因素的影响[J]. 西南农业学报, 2016, 29(3):590-594.
|
| [21] |
doi: 10.1007/s42106-024-00287-2 |
| [22] |
杨海超, 夏可, 陈杰, 等. 行株距配置对水稻冠层光合特性及产量的影响[J]. 江苏农业科学, 2023, 51(21):93-98.
|
| [23] |
乔中英, 陈培峰, 顾俊荣, 等. 氮肥运筹与栽插密度对籼粳杂交稻甬优1538产量形成和米质的影响[J]. 西南农业学报, 2016, 29(9):2068-2073.
|
| [24] |
杨洪, 李旭毅, 卿发红, 等. 不同产量水平水稻群体光合特性和产量构成差异[J]. 江苏农业学报, 2023, 39(5):1089-1096.
|
| [25] |
陈天晔, 袁嘉琦, 刘艳阳, 等. 江淮下游不同播期对稻-麦周年作物产量、品质及温光资源利用的影响[J]. 作物学报, 2020, 46(10):1566-1578.
doi: 10.3724/SP.J.1006.2020.02007 |
| [26] |
田青兰, 李培程, 刘利, 等. 四川不同生态区高产栽培条件下的杂交籼稻的稻米品质[J]. 作物学报, 2015, 41(8):1257-1268.
|
| [27] |
宋云生, 顾俊荣, 金梅娟, 等. 不同轮作模式对优质食味稻米品质的影响及氮肥调控效应[J]. 中国农学通报, 2024, 40(20):1-8.
doi: 10.11924/j.issn.1000-6850.casb2023-0627 |
| [28] |
李合松, 王学华, 吴卫国, 等. 不同栽插方式对米粉稻生长发育和产量及稻米品质的影响[J]. 湖南农业大学学报(自然科学版), 2007(4):391-395.
|
| [29] |
刘晓亮, 齐春艳, 侯立刚, 等. 株行距配置对苏打盐碱地水稻产量形成及稻米品质的影响[J]. 中国农学通报, 2019, 35(10):1-6.
doi: 10.11924/j.issn.1000-6850.casb18110032 |
| [30] |
张红叶, 杨力, 金鑫. 超级稻连粳7号不同播(栽)期与株行距配置对产量结构的影响[J]. 北方水稻, 2015, 45(6):35-38.
|
| [31] |
李官平, 曾涛, 吴桂芝, 等. 钵苗宽窄行机插同步侧深施肥对水稻产量及经济效益的影响[J]. 耕作与栽培, 2024, 44(3):44-46,50.
|
| [32] |
陶玥玥, 盛雪雯, 徐坚, 等. 长三角水稻-油菜周年两熟温光资源分配与利用特征[J]. 作物学报, 2023, 49(5):1327-1338.
doi: 10.3724/SP.J.1006.2023.22033 |
| [1] | 田翠玲, 田家良. 不同生育期喷施海藻酸增效液对冬小麦光合特性及产量的影响[J]. 中国农学通报, 2025, 41(9): 25-31. |
| [2] | 王鑫, 张欣欣, 米明, 李硕, 李好健, 马海林, 司东霞. 一次性施用氮肥对芍药生长及光合特性的影响[J]. 中国农学通报, 2025, 41(7): 61-66. |
| [3] | 苏丹, 王子诚, 贾俊英, 孙德智, 李志军, 郭园, 庄得凤. 水分调控对北苍术生长特性及药材产量品质的影响[J]. 中国农学通报, 2025, 41(7): 75-83. |
| [4] | 边巴卓玛, 宋国英, 刘国一. 有机肥替代部分化学氮肥、磷肥对春青稞干物质、养分积累分配的影响[J]. 中国农学通报, 2025, 41(5): 69-76. |
| [5] | 蔡伟俊, 何永定, 李鸿博, 赵晓凤, 沈万宽. 甘蔗斑茅属间远缘杂交BC3F1品系光合特性研究[J]. 中国农学通报, 2025, 41(5): 13-22. |
| [6] | 陈朝辉, 魏廷邦. 水肥耦合对玉米光合作用、干物质积累量和产量的影响[J]. 中国农学通报, 2025, 41(4): 1-9. |
| [7] | 黄玲, 赵凯, 邵敏敏, 张玉丹, 杨本洲, 王福玉, 陈贵菊, 孙雷明, 王霖, 翟红梅. 有机肥替代部分化肥氮对特色小麦干物质积累、产量及品质的影响[J]. 中国农学通报, 2025, 41(34): 1-6. |
| [8] | 彭定坤, 谷郡, 谭一帆, 朱臻, 韩永亮, 彭建伟. 硅肥用量对辣椒产量与品质的影响[J]. 中国农学通报, 2025, 41(31): 27-33. |
| [9] | 高凯, 曾广宇, 雷明旭, 石文文, 田燕燕, 何龙飞. 郁闭度对桉树林下间作大高良姜光合作用及产量的影响[J]. 中国农学通报, 2025, 41(24): 37-44. |
| [10] | 徐菲菲, 彭霄, 左上歧, 陈蓉, 王佳婧, 吴永成. 不同亲本行比配置和母本摘薹对‘佳油5号’制种产量和经济效益的影响[J]. 中国农学通报, 2025, 41(23): 31-37. |
| [11] | 刘春晓, 汪黎明, 董瑞, 刘铁山. 种植密度对籽粒机收玉米‘鲁单608’生长发育和产量的影响[J]. 中国农学通报, 2025, 41(2): 23-27. |
| [12] | 陈海龙, 陈朝辉, 魏廷邦. 氮肥减量与有机肥配施对玉米干物质积累及产量的调控机理[J]. 中国农学通报, 2025, 41(2): 7-16. |
| [13] | 苏明, 刘萍涛, 洪自强, 李翻过, 孙怡欣, 刘祥婷, 杨涓, 康建宏. 盐碱地有机肥与微生物菌肥复配施用对有机枸杞叶片生理特性及产量、品质的影响[J]. 中国农学通报, 2025, 41(19): 87-94. |
| [14] | 何昊晨, 卫欣茹, 杨武杰, 周长安, 王延玲, 王梅, 姚远, 杨久涛, 李明丽, 韩乾, 刘鑫. 大豆玉米带状复合种植不同田间配置对大豆农艺性状和产量的影响[J]. 中国农学通报, 2025, 41(15): 15-22. |
| [15] | 洪自强, 王晓苹, 苏明, 苏丽, 白柳静, 张正珍, 杨涓, 吴宏亮, 康建宏. 地表覆盖对枸杞光合特性、抗氧化指标及产量的影响[J]. 中国农学通报, 2025, 41(1): 63-68. |
| 阅读次数 | ||||||
|
全文 |
|
|||||
|
摘要 |
|
|||||