中国农学通报 ›› 2026, Vol. 42 ›› Issue (5): 1-11.doi: 10.11924/j.issn.1000-6850.casb2025-0343
• 农学·农业基础科学 • 下一篇
收稿日期:2025-04-28
修回日期:2025-09-15
出版日期:2026-03-18
发布日期:2026-03-18
作者简介:王正凤,女,1983年出生,副研究员,博士,研究方向:禾草内生真菌学及草类植物病理学。通信地址:730070 甘肃省兰州市安宁区农科院新村1号,Tel:0931-7614844,E-mail:wangzhf1006@163.com。
基金资助:
WANG Zhengfeng1(
), ZHAO Feng2, LIU Jing3, BAO Qijun2
Received:2025-04-28
Revised:2025-09-15
Published:2026-03-18
Online:2026-03-18
摘要:
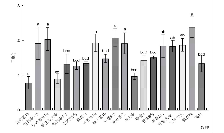
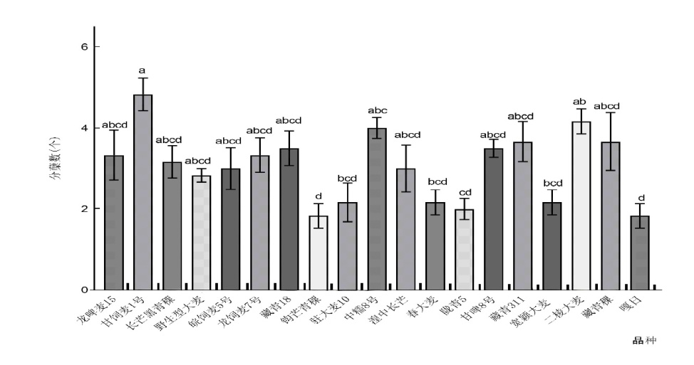
针对甘肃省寒旱地区饲草大麦品种短缺、优质种质匮乏的问题,为筛选适宜当地种植的高产优质饲草大麦种质,缓解当地饲草大麦品种资源短缺问题。本研究对19份国内外大麦种质为材料,在甘肃省农业科学院黄羊镇试验站种植,测定拔节期农艺性状(株高、分蘖数、鲜重、干重和叶面积)和营养价值指标(粗蛋白、粗脂肪、粗灰分、粗纤维、酸性洗涤纤维、中性洗涤纤维、钙、镁和磷),结合差异显著性、相关性、主成分及隶属函数分析进行综合评价。结果表明:(1)不同大麦种质农艺性状与营养价值差异显著(P<0.05)。鲜重、干重变异系数超过40%,遗传多样性丰富;(2)‘宽颖大麦’株高(57.3 cm)和‘中糯8号’株高(55.8 cm)显著高于其他种质,‘甘饲麦1号’的分蘖能力最强(5个/株);(3)‘藏青18’营养价值表现突出,粗纤维含量低(19.71%)、酸性洗涤纤维含量低,磷含量高及饲喂价值高(170.42)等特点;(4)综合评价筛选出‘藏青18’、‘二棱大麦’、‘龙饲麦7号’、‘湟中长芒’和‘宽颖大麦’5个优良种质。筛选出的5份种质在甘肃省寒旱地区拔节期综合性状优异,适宜作为饲草推广种植及育种亲本材料。未来可开展多点多年田间试验,结合产量、抗逆性及饲喂效果,进一步验证优良种质的应用价值,为寒旱区饲草产业发展提供更全面支撑。
王正凤, 赵锋, 刘静, 包奇军. 基于多性状的饲草大麦种质资源评价与筛选[J]. 中国农学通报, 2026, 42(5): 1-11.
WANG Zhengfeng, ZHAO Feng, LIU Jing, BAO Qijun. Evaluation of Forage Barley Germplasm Resources Based on Multiple Traits[J]. Chinese Agricultural Science Bulletin, 2026, 42(5): 1-11.
| 种质资源 | 来源 |
|---|---|
| 龙啤麦15 | 中国(黑龙江) |
| 甘饲麦1号 | 中国(甘肃) |
| 长芒黑青稞 | 中国(西藏) |
| 野生型大麦 | 俄罗斯 |
| 皖饲麦5号 | 中国(安徽) |
| 龙饲麦7号 | 中国(黑龙江) |
| 藏青18 | 中国(西藏) |
| 钩芒青稞 | 中国(青海) |
| 驻大麦10 | 中国(河南) |
| 中糯8号 | 中国(河北) |
| 湟中长芒 | 中国(青海) |
| 春大麦 | 中国(河南) |
| 陇青5 | 中国(甘肃) |
| 甘啤8号 | 中国(甘肃) |
| 藏青311 | 中国(西藏) |
| 宽颖大麦 | 中国(云南) |
| 二棱大麦 | 中国(云南) |
| 藏青稞 | 中国(西藏) |
| 嘎日 | 中国(西藏) |
| 种质资源 | 来源 |
|---|---|
| 龙啤麦15 | 中国(黑龙江) |
| 甘饲麦1号 | 中国(甘肃) |
| 长芒黑青稞 | 中国(西藏) |
| 野生型大麦 | 俄罗斯 |
| 皖饲麦5号 | 中国(安徽) |
| 龙饲麦7号 | 中国(黑龙江) |
| 藏青18 | 中国(西藏) |
| 钩芒青稞 | 中国(青海) |
| 驻大麦10 | 中国(河南) |
| 中糯8号 | 中国(河北) |
| 湟中长芒 | 中国(青海) |
| 春大麦 | 中国(河南) |
| 陇青5 | 中国(甘肃) |
| 甘啤8号 | 中国(甘肃) |
| 藏青311 | 中国(西藏) |
| 宽颖大麦 | 中国(云南) |
| 二棱大麦 | 中国(云南) |
| 藏青稞 | 中国(西藏) |
| 嘎日 | 中国(西藏) |
| 指标 | 最小值 | 最大值 | 平均数 | 标准偏差 | 变异系数/% |
|---|---|---|---|---|---|
| 株高/cm | 34.8 | 57.3 | 45.0 | 4.51 | 10.02 |
| 分蘖/个 | 2 | 5 | 3 | 1.04 | 34.66 |
| 鲜重/g | 2.07 | 17.73 | 8.09 | 3.43 | 42.39 |
| 干重/g | 0.70 | 6.53 | 2.97 | 1.19 | 40.06 |
| 叶面积/cm2 | 12.80 | 57.38 | 32.38 | 10.34 | 31.93 |
| 指标 | 最小值 | 最大值 | 平均数 | 标准偏差 | 变异系数/% |
|---|---|---|---|---|---|
| 株高/cm | 34.8 | 57.3 | 45.0 | 4.51 | 10.02 |
| 分蘖/个 | 2 | 5 | 3 | 1.04 | 34.66 |
| 鲜重/g | 2.07 | 17.73 | 8.09 | 3.43 | 42.39 |
| 干重/g | 0.70 | 6.53 | 2.97 | 1.19 | 40.06 |
| 叶面积/cm2 | 12.80 | 57.38 | 32.38 | 10.34 | 31.93 |
| 种质材料 | 粗蛋白CP | 粗脂肪EE | 粗纤维CF | 粗灰分AsH | 中性洗涤纤维NDF | 酸性洗涤纤维ADF |
|---|---|---|---|---|---|---|
| 龙啤麦15 | 17.76±0.94l | 4.11±0.21ab | 24.52±0.72a | 12.59±0.97cde | 39.84±1.09cd | 22.89±0.95cde |
| 甘饲麦1号 | 19.36±0.31j | 3.92±0.31bcd | 24.41±0.30a | 13.06±0.54cd | 44.11±0.32a | 24.10±0.19abc |
| 长芒黑青稞 | 14.64±1.92q | 3.87±0.64bcde | 20.61±1.25def | 11.83±1.24efg | 40.39±0.82bcd | 23.22±0.61bcd |
| 野生型大麦 | 12.73±0.94r | 4.05±0.08abc | 20.83±0.92cde | 11.32±0.59fgh | 41.89±0.50b | 23.30±0.96bcd |
| 皖饲麦5号 | 17.39±0.46m | 4.43±0.12a | 20.79±0.39cde | 13.11±0.32cd | 37.94±0.56ef | 21.26±1.29fg |
| 龙饲麦7号 | 17.06±2.33o | 3.14±0.77ghi | 19.82±0.47fg | 7.62±0.94i | 45.13±1.08a | 24.96±1.01ab |
| 藏青18 | 17.37±1.04n | 3.15±0.05ghi | 19.71±0.59fg | 11.01±0.84gh | 38.95±0.78def | 22.56±0.71cde |
| 钩芒青稞 | 20.76±0.68g | 3.02±0.06hi | 19.48±0.45g | 12.87±0.64cde | 37.36±0.62f | 21.65±0.33ef |
| 驻大麦10 | 20.40±0.08hi | 3.58±0.06cdef | 21.78±0.81bcd | 11.99±0.45def | 39.58±0.49de | 24.94±0.45ab |
| 中糯8号 | 16.70±0.72p | 3.72±0.02bcde | 22.14±0.64bc | 11.43±0.33fgh | 44.30±0.53a | 24.06±0.61abcd |
| 湟中长芒 | 21.92±1.12e | 3.82±0.21bcde | 21.73±0.61bcd | 14.27±0.28ab | 39.63±0.63de | 22.33±0.54def |
| 春大麦 | 21.29±1.23f | 3.25±0.16fghi | 20.57±0.51def | 10.92±0.13gh | 38.09±0.83ef | 21.42±0.56efg |
| 陇青5 | 23.13±0.60c | 2.88±0.16i | 21.09±1.43bcde | 13.35±0.45bc | 40.28±0.45cd | 22.41±0.84def |
| 甘啤8号 | 24.14±0.20a | 3.45±0.59efgh | 20.29±0.58ef | 11.13±0.78gh | 38.02±0.80ef | 21.13±1.25fg |
| 藏青311 | 22.74±0.67d | 3.41±0.09fgh | 24.18±1.04a | 12.37±1.25cdef | 39.38±1.00de | 19.79±1.23g |
| 宽颖大麦 | 20.32±2.48hi | 3.02±0.33hi | 22.85±0.45bc | 12.94±0.53cd | 41.31±0.63bc | 24.43±0.76abc |
| 二棱大麦34 | 18.39±1.12k | 2.18±0.12j | 23.12±0.58b | 11.71±0.49efgh | 43.76±0.60a | 25.07±0.15ab |
| 藏青稞 | 23.43±1.23b | 3.25±0.16fghi | 20.07±0.14ef | 14.40±0.49a | 40.09±0.48cd | 21.83±0.39ef |
| 嘎日 | 10.14±0.58s | 3.12±0.14ghi | 22.60±0.43bc | 10.69±0.46h | 44.44±0.78a | 25.90±0.80a |
| 钙Ca | 镁Mg | 磷P | 无氮浸出物NFE | 相对饲喂价值RFV | ||
| 龙啤麦15 | 0.63±0.09f | 0.28±0.27e | 0.26±0.15cd | 29.93±0.83g | 166.07±6.37de | |
| 甘饲麦1号 | 0.78±0.29d | 0.30±0.09de | 0.32±0.29b | 30.31±0.71g | 147.89±1.26g | |
| 长芒黑青稞 | 0.39±1.34j | 0.24±0.06f | 0.23±0.11ef | 31.32±0.82fg | 163.15±3.99ef | |
| 野生型大麦 | 0.38±0.26j | 0.23±0.03fg | 0.26±0.12cd | 40.56±0.62b | 157.14±3.25f | |
| 皖饲麦5号 | 0.60±0.35fg | 0.31±0.10de | 0.26±0.22cd | 40.03±1.46b | 187.44±20.38a | |
| 龙饲麦7号 | 0.22±0.17k | 0.20±0.09h | 0.23±0.25de | 49.99±1.14a | 163.20±2.58ef | |
| 藏青18 | 0.43±0.10ij | 0.29±0.06de | 0.27±0.10cd | 34.14±0.83e | 170.42±4.72cde | |
| 钩芒青稞 | 0.58±0.05fg | 0.29±0.08de | 0.26±0.08cd | 26.93±0.41i | 179.39±2.74b | |
| 驻大麦10 | 0.57±0.31g | 0.29±0.08de | 0.26±0.38cd | 28.38±0.81h | 168.79±2.18bcd | |
| 中糯8号 | 0.77±0.14d | 0.35±0.30bcd | 0.23±0.13de | 37.31±0.79c | 147.34±2.73g | |
| 湟中长芒 | 0.76±0.29d | 0.36±0.11bc | 0.27±0.15cd | 27.15±0.79i | 167.86±1.76cde | |
| 春大麦 | 0.92±0.62b | 0.36±0.18bc | 0.27±0.22cd | 30.35±0.85g | 176.41±3.53bcd | |
| 陇青5 | 0.74±0.32de | 0.32±0.13cd | 0.34±0.73ab | 30.27±0.75g | 164.99±0.45def | |
| 甘啤8号 | 0.85±0.70c | 0.37±0.09bc | 0.27±0.06cd | 32.23±0.79f | 177.35±6.09bc | |
| 藏青311 | 1.19±0.75a | 0.41±0.16a | 0.26±0.23cd | 25.48±0.84j | 173.68±5.79bcd | |
| 宽颖大麦 | 0.95±0.10b | 0.37±0.44b | 0.28±0.25c | 30.61±0.46g | 157.37±3.63f | |
| 二棱大麦34 | 0.45±0.29i | 0.25±0.42f | 0.22±0.11f | 33.74±0.92e | 147.49±2.28g | |
| 藏青稞 | 0.69±0.53e | 0.34±0.21cd | 0.36±0.44a | 30.25±0.70g | 166.82±2.24de | |
| 嘎日 | 0.51±0.12h | 0.25±0.25f | 0.27±0.26cd | 35.82±0.71d | 143.89±3.05g |
| 种质材料 | 粗蛋白CP | 粗脂肪EE | 粗纤维CF | 粗灰分AsH | 中性洗涤纤维NDF | 酸性洗涤纤维ADF |
|---|---|---|---|---|---|---|
| 龙啤麦15 | 17.76±0.94l | 4.11±0.21ab | 24.52±0.72a | 12.59±0.97cde | 39.84±1.09cd | 22.89±0.95cde |
| 甘饲麦1号 | 19.36±0.31j | 3.92±0.31bcd | 24.41±0.30a | 13.06±0.54cd | 44.11±0.32a | 24.10±0.19abc |
| 长芒黑青稞 | 14.64±1.92q | 3.87±0.64bcde | 20.61±1.25def | 11.83±1.24efg | 40.39±0.82bcd | 23.22±0.61bcd |
| 野生型大麦 | 12.73±0.94r | 4.05±0.08abc | 20.83±0.92cde | 11.32±0.59fgh | 41.89±0.50b | 23.30±0.96bcd |
| 皖饲麦5号 | 17.39±0.46m | 4.43±0.12a | 20.79±0.39cde | 13.11±0.32cd | 37.94±0.56ef | 21.26±1.29fg |
| 龙饲麦7号 | 17.06±2.33o | 3.14±0.77ghi | 19.82±0.47fg | 7.62±0.94i | 45.13±1.08a | 24.96±1.01ab |
| 藏青18 | 17.37±1.04n | 3.15±0.05ghi | 19.71±0.59fg | 11.01±0.84gh | 38.95±0.78def | 22.56±0.71cde |
| 钩芒青稞 | 20.76±0.68g | 3.02±0.06hi | 19.48±0.45g | 12.87±0.64cde | 37.36±0.62f | 21.65±0.33ef |
| 驻大麦10 | 20.40±0.08hi | 3.58±0.06cdef | 21.78±0.81bcd | 11.99±0.45def | 39.58±0.49de | 24.94±0.45ab |
| 中糯8号 | 16.70±0.72p | 3.72±0.02bcde | 22.14±0.64bc | 11.43±0.33fgh | 44.30±0.53a | 24.06±0.61abcd |
| 湟中长芒 | 21.92±1.12e | 3.82±0.21bcde | 21.73±0.61bcd | 14.27±0.28ab | 39.63±0.63de | 22.33±0.54def |
| 春大麦 | 21.29±1.23f | 3.25±0.16fghi | 20.57±0.51def | 10.92±0.13gh | 38.09±0.83ef | 21.42±0.56efg |
| 陇青5 | 23.13±0.60c | 2.88±0.16i | 21.09±1.43bcde | 13.35±0.45bc | 40.28±0.45cd | 22.41±0.84def |
| 甘啤8号 | 24.14±0.20a | 3.45±0.59efgh | 20.29±0.58ef | 11.13±0.78gh | 38.02±0.80ef | 21.13±1.25fg |
| 藏青311 | 22.74±0.67d | 3.41±0.09fgh | 24.18±1.04a | 12.37±1.25cdef | 39.38±1.00de | 19.79±1.23g |
| 宽颖大麦 | 20.32±2.48hi | 3.02±0.33hi | 22.85±0.45bc | 12.94±0.53cd | 41.31±0.63bc | 24.43±0.76abc |
| 二棱大麦34 | 18.39±1.12k | 2.18±0.12j | 23.12±0.58b | 11.71±0.49efgh | 43.76±0.60a | 25.07±0.15ab |
| 藏青稞 | 23.43±1.23b | 3.25±0.16fghi | 20.07±0.14ef | 14.40±0.49a | 40.09±0.48cd | 21.83±0.39ef |
| 嘎日 | 10.14±0.58s | 3.12±0.14ghi | 22.60±0.43bc | 10.69±0.46h | 44.44±0.78a | 25.90±0.80a |
| 钙Ca | 镁Mg | 磷P | 无氮浸出物NFE | 相对饲喂价值RFV | ||
| 龙啤麦15 | 0.63±0.09f | 0.28±0.27e | 0.26±0.15cd | 29.93±0.83g | 166.07±6.37de | |
| 甘饲麦1号 | 0.78±0.29d | 0.30±0.09de | 0.32±0.29b | 30.31±0.71g | 147.89±1.26g | |
| 长芒黑青稞 | 0.39±1.34j | 0.24±0.06f | 0.23±0.11ef | 31.32±0.82fg | 163.15±3.99ef | |
| 野生型大麦 | 0.38±0.26j | 0.23±0.03fg | 0.26±0.12cd | 40.56±0.62b | 157.14±3.25f | |
| 皖饲麦5号 | 0.60±0.35fg | 0.31±0.10de | 0.26±0.22cd | 40.03±1.46b | 187.44±20.38a | |
| 龙饲麦7号 | 0.22±0.17k | 0.20±0.09h | 0.23±0.25de | 49.99±1.14a | 163.20±2.58ef | |
| 藏青18 | 0.43±0.10ij | 0.29±0.06de | 0.27±0.10cd | 34.14±0.83e | 170.42±4.72cde | |
| 钩芒青稞 | 0.58±0.05fg | 0.29±0.08de | 0.26±0.08cd | 26.93±0.41i | 179.39±2.74b | |
| 驻大麦10 | 0.57±0.31g | 0.29±0.08de | 0.26±0.38cd | 28.38±0.81h | 168.79±2.18bcd | |
| 中糯8号 | 0.77±0.14d | 0.35±0.30bcd | 0.23±0.13de | 37.31±0.79c | 147.34±2.73g | |
| 湟中长芒 | 0.76±0.29d | 0.36±0.11bc | 0.27±0.15cd | 27.15±0.79i | 167.86±1.76cde | |
| 春大麦 | 0.92±0.62b | 0.36±0.18bc | 0.27±0.22cd | 30.35±0.85g | 176.41±3.53bcd | |
| 陇青5 | 0.74±0.32de | 0.32±0.13cd | 0.34±0.73ab | 30.27±0.75g | 164.99±0.45def | |
| 甘啤8号 | 0.85±0.70c | 0.37±0.09bc | 0.27±0.06cd | 32.23±0.79f | 177.35±6.09bc | |
| 藏青311 | 1.19±0.75a | 0.41±0.16a | 0.26±0.23cd | 25.48±0.84j | 173.68±5.79bcd | |
| 宽颖大麦 | 0.95±0.10b | 0.37±0.44b | 0.28±0.25c | 30.61±0.46g | 157.37±3.63f | |
| 二棱大麦34 | 0.45±0.29i | 0.25±0.42f | 0.22±0.11f | 33.74±0.92e | 147.49±2.28g | |
| 藏青稞 | 0.69±0.53e | 0.34±0.21cd | 0.36±0.44a | 30.25±0.70g | 166.82±2.24de | |
| 嘎日 | 0.51±0.12h | 0.25±0.25f | 0.27±0.26cd | 35.82±0.71d | 143.89±3.05g |
| 供试指标 | 主成分 | ||||
|---|---|---|---|---|---|
| 1 | 2 | 3 | 4 | 5 | |
| 株高PH | 0.189 | 0.568 | -0.029 | -0.533 | 0.273 |
| 鲜重FW | 0.257 | 0.396 | 0.813 | -0.128 | 0.036 |
| 分蘖TN | -0.043 | 0.385 | 0.665 | 0.340 | -0.368 |
| 叶面积LA | 0.326 | 0.307 | 0.491 | -0.497 | 0.128 |
| 粗蛋白CP | 0.887 | 0.077 | -0.269 | -0.063 | -0.156 |
| 粗脂肪EE | 0.071 | -0.045 | 0.397 | 0.624 | 0.516 |
| 粗灰分AsH | 0.689 | 0.214 | -0.158 | 0.131 | 0.459 |
| 粗纤维CF | 0.072 | 0.653 | -0.240 | 0.516 | -0.061 |
| 酸性洗涤纤维ADF | -0.766 | 0.394 | -0.363 | -0.095 | 0.116 |
| 中性洗涤纤维NDF | -0.747 | 0.598 | -0.104 | 0.023 | -0.071 |
| 磷P | 0.379 | 0.247 | -0.252 | 0.098 | 0.279 |
| 钙Ca | 0.777 | 0.349 | -0.161 | 0.086 | -0.287 |
| 镁Mg | 0.817 | 0.231 | -0.133 | 0.043 | -0.249 |
| 无氮浸出物NEF | -0.819 | -0.110 | 0.203 | -0.003 | -0.023 |
| 相对饲喂价值RFV | 0.771 | -0.580 | 0.183 | -0.005 | 0.011 |
| 特征值 | 5.307 | 2.301 | 1.982 | 1.369 | 0.974 |
| 贡献率 | 35.379 | 15.338 | 13.21 | 9.126 | 6.492 |
| 累计贡献率 | 35.379 | 50.717 | 63.92 | 73.05 | 79.54 |
| 供试指标 | 主成分 | ||||
|---|---|---|---|---|---|
| 1 | 2 | 3 | 4 | 5 | |
| 株高PH | 0.189 | 0.568 | -0.029 | -0.533 | 0.273 |
| 鲜重FW | 0.257 | 0.396 | 0.813 | -0.128 | 0.036 |
| 分蘖TN | -0.043 | 0.385 | 0.665 | 0.340 | -0.368 |
| 叶面积LA | 0.326 | 0.307 | 0.491 | -0.497 | 0.128 |
| 粗蛋白CP | 0.887 | 0.077 | -0.269 | -0.063 | -0.156 |
| 粗脂肪EE | 0.071 | -0.045 | 0.397 | 0.624 | 0.516 |
| 粗灰分AsH | 0.689 | 0.214 | -0.158 | 0.131 | 0.459 |
| 粗纤维CF | 0.072 | 0.653 | -0.240 | 0.516 | -0.061 |
| 酸性洗涤纤维ADF | -0.766 | 0.394 | -0.363 | -0.095 | 0.116 |
| 中性洗涤纤维NDF | -0.747 | 0.598 | -0.104 | 0.023 | -0.071 |
| 磷P | 0.379 | 0.247 | -0.252 | 0.098 | 0.279 |
| 钙Ca | 0.777 | 0.349 | -0.161 | 0.086 | -0.287 |
| 镁Mg | 0.817 | 0.231 | -0.133 | 0.043 | -0.249 |
| 无氮浸出物NEF | -0.819 | -0.110 | 0.203 | -0.003 | -0.023 |
| 相对饲喂价值RFV | 0.771 | -0.580 | 0.183 | -0.005 | 0.011 |
| 特征值 | 5.307 | 2.301 | 1.982 | 1.369 | 0.974 |
| 贡献率 | 35.379 | 15.338 | 13.21 | 9.126 | 6.492 |
| 累计贡献率 | 35.379 | 50.717 | 63.92 | 73.05 | 79.54 |
| 种质材料 | 株高PH | 鲜重FW | 分蘖TN | 叶面积LA | 粗蛋白CP | 粗脂肪EE | 粗灰分Ash | 粗纤维CF | 酸性洗涤纤维ADF | |
|---|---|---|---|---|---|---|---|---|---|---|
| 龙啤麦15 | 0.46 | 0.39 | 0.33 | 0.36 | 0.48 | 0.35 | 0.61 | 0.40 | 0.56 | |
| 甘饲麦1号 | 0.51 | 0.35 | 0.42 | 0.50 | 0.51 | 0.47 | 0.54 | 0.54 | 0.66 | |
| 长芒黑青稞 | 0.51 | 0.42 | 0.58 | 0.48 | 0.46 | 0.41 | 0.36 | 0.36 | 0.51 | |
| 野生型大麦 | 0.18 | 0.33 | 0.83 | 0.45 | 0.45 | 0.42 | 0.37 | 0.57 | 0.45 | |
| 皖饲麦5号 | 0.21 | 0.38 | 0.50 | 0.56 | 0.60 | 0.63 | 0.62 | 0.53 | 0.5 | |
| 龙饲麦7号 | 0.57 | 0.36 | 0.44 | 0.61 | 0.47 | 0.53 | 0.49 | 0.65 | 0.46 | |
| 藏青18 | 0.53 | 0.33 | 0.56 | 0.63 | 2.38 | 0.38 | 0.59 | 0.60 | 0.59 | |
| 钩芒青稞 | 0.52 | 0.33 | 0.42 | 0.46 | 0.65 | 0.57 | 0.43 | 0.48 | 0.54 | |
| 驻大麦10 | 0.59 | 0.28 | 0.39 | 0.53 | 0.60 | 0.57 | 0.48 | 0.56 | 0.46 | |
| 中糯8号 | 0.47 | 0.44 | 0.50 | 0.50 | 0.44 | 0.50 | 0.57 | 0.34 | 0.47 | |
| 湟中长芒 | 0.45 | 0.52 | 0.50 | 0.50 | 0.44 | 0.62 | 0.57 | 0.64 | 0.42 | |
| 春大麦 | 0.50 | 0.39 | 0.58 | 0.53 | 0.43 | 0.45 | 0.45 | 0.60 | 0.43 | |
| 陇青5 | 0.47 | 0.33 | 0.50 | 0.45 | 0.53 | 0.59 | 0.46 | 0.61 | 0.39 | |
| 甘啤8号 | 0.38 | 0.33 | 0.50 | 0.53 | 0.40 | 0.57 | 0.37 | 0.37 | 0.44 | |
| 藏青311 | 0.32 | 0.33 | 0.50 | 0.46 | 0.37 | 0.50 | 0.43 | 0.55 | 0.60 | |
| 宽颖大麦 | 0.48 | 0.50 | 0.58 | 0.43 | 0.37 | 0.61 | 0.59 | 0.55 | 0.42 | |
| 二棱大麦 | 0.67 | 0.27 | 0.58 | 0.40 | 0.53 | 0.65 | 0.56 | 0.60 | 0.56 | |
| 藏青稞 | 0.42 | 0.41 | 0.33 | 0.52 | 0.45 | 0.58 | 0.39 | 0.43 | 0.55 | |
| 嘎日 | 0.65 | 0.33 | 0.42 | 0.46 | 0.37 | 0.35 | 0.53 | 0.50 | 0.53 | |
| 中性洗涤纤维NDF | 全磷P | 钙Ca | 镁Mg | 无氮浸出物NFE | 相对饲喂价值RFV | 平均隶属函数值AMFV | 排序N | |||
| 龙啤麦15 | 0.61 | 0.54 | 0.45 | 0.48 | 0.51 | 0.40 | 0.46 | 8 | ||
| 甘饲麦1号 | 0.36 | 0.65 | 0.44 | 0.50 | 0.37 | 0.57 | 0.49 | 6 | ||
| 长芒黑青稞 | 0.45 | 0.40 | 0.49 | 0.44 | 0.52 | 0.53 | 0.46 | 8 | ||
| 野生型大麦 | 0.61 | 0.63 | 0.38 | 0.43 | 00.61 | 0.41 | 0.48 | 7 | ||
| 皖饲麦5号 | 0.63 | 0.6 | 0.36 | 0.42 | 0.35 | 0.55 | 0.50 | 5 | ||
| 龙饲麦7号 | 0.52 | 0.48 | 0.46 | 0.52 | 0.55 | 0.61 | 0.52 | 3 | ||
| 藏青18 | 0.41 | 0.63 | 0.59 | 1.92 | 0.55 | 0.62 | 0.75 | 1 | ||
| 钩芒青稞 | 0.55 | 0.57 | 0.58 | 0.42 | 0.57 | 0.38 | 0.50 | 5 | ||
| 驻大麦10 | 0.58 | 0.51 | 0.49 | 0.58 | 0.60 | 0.38 | 0.51 | 4 | ||
| 中糯8号 | 0.44 | 0.48 | 0.54 | 0.54 | 0.56 | 0.55 | 0.49 | 6 | ||
| 湟中长芒 | 0.66 | 0.57 | 0.58 | 0.56 | 0.45 | 0.37 | 0.52 | 3 | ||
| 春大麦 | 0.53 | 0.60 | 0.51 | 0.62 | 0.37 | 0.40 | 0.49 | 6 | ||
| 陇青5 | 0.66 | 0.62 | 0.55 | 0.35 | 0.37 | 0.52 | 0.49 | 6 | ||
| 甘啤8号 | 0.48 | 0.46 | 0.61 | 0.39 | 0.37 | 0.53 | 0.45 | 9 | ||
| 藏青311 | 0.52 | 0.59 | 0.50 | 0.60 | 0.48 | 0.45 | 0.48 | 7 | ||
| 宽颖大麦 | 0.33 | 0.59 | 0.57 | 0.62 | 0.35 | 0.63 | 0.51 | 4 | ||
| 二棱大麦 | 0.55 | 0.43 | 0.60 | 0.53 | 0.62 | 0.44 | 0.53 | 2 | ||
| 藏青稞 | 0.37 | 0.59 | 0.55 | 0.66 | 0.41 | 0.53 | 0.48 | 7 | ||
| 嘎日 | 0.38 | 0.58 | 0.63 | 0.51 | 0.66 | 0.49 | 0.49 | 6 | ||
| 种质材料 | 株高PH | 鲜重FW | 分蘖TN | 叶面积LA | 粗蛋白CP | 粗脂肪EE | 粗灰分Ash | 粗纤维CF | 酸性洗涤纤维ADF | |
|---|---|---|---|---|---|---|---|---|---|---|
| 龙啤麦15 | 0.46 | 0.39 | 0.33 | 0.36 | 0.48 | 0.35 | 0.61 | 0.40 | 0.56 | |
| 甘饲麦1号 | 0.51 | 0.35 | 0.42 | 0.50 | 0.51 | 0.47 | 0.54 | 0.54 | 0.66 | |
| 长芒黑青稞 | 0.51 | 0.42 | 0.58 | 0.48 | 0.46 | 0.41 | 0.36 | 0.36 | 0.51 | |
| 野生型大麦 | 0.18 | 0.33 | 0.83 | 0.45 | 0.45 | 0.42 | 0.37 | 0.57 | 0.45 | |
| 皖饲麦5号 | 0.21 | 0.38 | 0.50 | 0.56 | 0.60 | 0.63 | 0.62 | 0.53 | 0.5 | |
| 龙饲麦7号 | 0.57 | 0.36 | 0.44 | 0.61 | 0.47 | 0.53 | 0.49 | 0.65 | 0.46 | |
| 藏青18 | 0.53 | 0.33 | 0.56 | 0.63 | 2.38 | 0.38 | 0.59 | 0.60 | 0.59 | |
| 钩芒青稞 | 0.52 | 0.33 | 0.42 | 0.46 | 0.65 | 0.57 | 0.43 | 0.48 | 0.54 | |
| 驻大麦10 | 0.59 | 0.28 | 0.39 | 0.53 | 0.60 | 0.57 | 0.48 | 0.56 | 0.46 | |
| 中糯8号 | 0.47 | 0.44 | 0.50 | 0.50 | 0.44 | 0.50 | 0.57 | 0.34 | 0.47 | |
| 湟中长芒 | 0.45 | 0.52 | 0.50 | 0.50 | 0.44 | 0.62 | 0.57 | 0.64 | 0.42 | |
| 春大麦 | 0.50 | 0.39 | 0.58 | 0.53 | 0.43 | 0.45 | 0.45 | 0.60 | 0.43 | |
| 陇青5 | 0.47 | 0.33 | 0.50 | 0.45 | 0.53 | 0.59 | 0.46 | 0.61 | 0.39 | |
| 甘啤8号 | 0.38 | 0.33 | 0.50 | 0.53 | 0.40 | 0.57 | 0.37 | 0.37 | 0.44 | |
| 藏青311 | 0.32 | 0.33 | 0.50 | 0.46 | 0.37 | 0.50 | 0.43 | 0.55 | 0.60 | |
| 宽颖大麦 | 0.48 | 0.50 | 0.58 | 0.43 | 0.37 | 0.61 | 0.59 | 0.55 | 0.42 | |
| 二棱大麦 | 0.67 | 0.27 | 0.58 | 0.40 | 0.53 | 0.65 | 0.56 | 0.60 | 0.56 | |
| 藏青稞 | 0.42 | 0.41 | 0.33 | 0.52 | 0.45 | 0.58 | 0.39 | 0.43 | 0.55 | |
| 嘎日 | 0.65 | 0.33 | 0.42 | 0.46 | 0.37 | 0.35 | 0.53 | 0.50 | 0.53 | |
| 中性洗涤纤维NDF | 全磷P | 钙Ca | 镁Mg | 无氮浸出物NFE | 相对饲喂价值RFV | 平均隶属函数值AMFV | 排序N | |||
| 龙啤麦15 | 0.61 | 0.54 | 0.45 | 0.48 | 0.51 | 0.40 | 0.46 | 8 | ||
| 甘饲麦1号 | 0.36 | 0.65 | 0.44 | 0.50 | 0.37 | 0.57 | 0.49 | 6 | ||
| 长芒黑青稞 | 0.45 | 0.40 | 0.49 | 0.44 | 0.52 | 0.53 | 0.46 | 8 | ||
| 野生型大麦 | 0.61 | 0.63 | 0.38 | 0.43 | 00.61 | 0.41 | 0.48 | 7 | ||
| 皖饲麦5号 | 0.63 | 0.6 | 0.36 | 0.42 | 0.35 | 0.55 | 0.50 | 5 | ||
| 龙饲麦7号 | 0.52 | 0.48 | 0.46 | 0.52 | 0.55 | 0.61 | 0.52 | 3 | ||
| 藏青18 | 0.41 | 0.63 | 0.59 | 1.92 | 0.55 | 0.62 | 0.75 | 1 | ||
| 钩芒青稞 | 0.55 | 0.57 | 0.58 | 0.42 | 0.57 | 0.38 | 0.50 | 5 | ||
| 驻大麦10 | 0.58 | 0.51 | 0.49 | 0.58 | 0.60 | 0.38 | 0.51 | 4 | ||
| 中糯8号 | 0.44 | 0.48 | 0.54 | 0.54 | 0.56 | 0.55 | 0.49 | 6 | ||
| 湟中长芒 | 0.66 | 0.57 | 0.58 | 0.56 | 0.45 | 0.37 | 0.52 | 3 | ||
| 春大麦 | 0.53 | 0.60 | 0.51 | 0.62 | 0.37 | 0.40 | 0.49 | 6 | ||
| 陇青5 | 0.66 | 0.62 | 0.55 | 0.35 | 0.37 | 0.52 | 0.49 | 6 | ||
| 甘啤8号 | 0.48 | 0.46 | 0.61 | 0.39 | 0.37 | 0.53 | 0.45 | 9 | ||
| 藏青311 | 0.52 | 0.59 | 0.50 | 0.60 | 0.48 | 0.45 | 0.48 | 7 | ||
| 宽颖大麦 | 0.33 | 0.59 | 0.57 | 0.62 | 0.35 | 0.63 | 0.51 | 4 | ||
| 二棱大麦 | 0.55 | 0.43 | 0.60 | 0.53 | 0.62 | 0.44 | 0.53 | 2 | ||
| 藏青稞 | 0.37 | 0.59 | 0.55 | 0.66 | 0.41 | 0.53 | 0.48 | 7 | ||
| 嘎日 | 0.38 | 0.58 | 0.63 | 0.51 | 0.66 | 0.49 | 0.49 | 6 | ||
| [1] |
樊慧丽, 付文阁. 畜牧产业结构变动对我国粮食安全的影响分析[J]. 中国农业资源与区划, 2020, 41(11):91-102.
|
| [2] |
|
| [3] |
doi: 10.1016/j.anifeedsci.2020.114498 URL |
| [4] |
张腾薇, 吕二锁, 刘志萍, 等. 留茬高度对全株大麦青贮品质的影响[J]. 中国草地学报, 2022, 44(7):87-92.
|
| [5] |
赵锋, 潘永东, 包奇军, 等. 甘肃省大麦产业发展现状及发展对策[J]. 甘肃农业科技, 2020(11):78-84.
|
| [6] |
潘永东, 包奇军, 火克仓. 甘肃省大麦产业科技发展现状及思路[J]. 农业科技通讯, 2017(12):25.
|
| [7] |
黄水珍, 冯德庆, 黄秀声, 等. 大麦‘花22’不同生育期的饲用品质及呕吐毒素含量[J]. 农学学报, 2021, 11(4):1-5.
doi: 10.11923/j.issn.2095-4050.cjas20191200299 |
| [8] |
王勇生, 王博, 雷恒. 大麦的营养价值与提高其畜禽利用率的措施[J]. 中国饲料, 2014(4):18-22.
|
| [9] |
顾颖慧, 杨青. 大麦的饲用价值与处理方法及其在饲料生产中应用的研究进展[J]. 饲料研究, 2022(17):151-155.
|
| [10] |
苏滢淼, 侯波, 张一为, 等. 164份大麦种质农艺性状与粗蛋白含量分析[J]. 草业科学, 2024, 42(1):1243-1256.
|
| [11] |
王育才, 王化俊, 马小乐, 等. 基于SNP标记的大麦遗传多样性与群体遗传结构分析[J]. 分子植物育种, 2019, 17(6):1920-1929.
|
| [12] |
张丽英. 饲料分析及饲料质量检测技术(第3版)[M]. 北京: 中国农业大学出版社,2007:45-79.
|
| [13] |
doi: 10.2527/jas1978.473747x URL |
| [14] |
刘亚楠. 大麦种质资源遗传多样性研究及种质的评价与筛选[D]. 扬州: 扬州大学,2018:3-4.
|
| [15] |
陈晓东, 赵斌, 王瑞, 等. 不同刈割茬次与刈割时期对大麦饲草产量与品质的影响[J]. 中国农学通报, 2015, 31(12):36-39.
doi: 10.11924/j.issn.1000-6850.2014-2371 |
| [16] |
|
| [17] |
包文龙, 郑成忠, 张腾薇, 等. 施氮量对全株大麦生产性能及青贮品质的影响[J]. 草地学报, 2023, 31(10):3167-3173.
doi: 10.11733/j.issn.1007-0435.2023.10.029 |
| [18] |
谢文刚. 青贮饲料在奶牛养殖生产中的应用及注意事项[J]. 粮油加工, 2020(7):174-175.
|
| [19] |
蔡羽, 杨平, 冯宗云. 大麦表型多样性分析及优异饲草种质资源筛选[J]. 植物遗传资源学报, 2019, 20(4):920-931.
doi: 10.13430/j.cnki.jpgr.20181109001 |
| [20] |
程云辉, 董臣飞, 张文洁, 等. 全株饲用大麦品系筛选及赤霉素对其产量的影响[J]. 草地学报, 2016, 24(5):1108-1113.
doi: 10.11733/j.issn.1007-0435.2016.05.027 |
| [21] |
冯辉, 郜战宁, 杨永乾, 等. 18个大麦品种(系)生产性能与青贮营养价值综合评价[J]. 草业科学, 2024, 41(11):2686-2694.
|
| [22] |
赵准, 李剑, 宋瑞娇, 郭岩, 等. 不同种植密度对大麦产量和青贮品质的影响[J]. 作物杂志, 2020, 36(1):110-116.
|
| [23] |
徐广祥, 史有国, 陈宇, 等. 内蒙古河套地区中轻度盐碱地麦后复种饲草大麦应用研究[J]. 畜牧与饲料科学, 2018, 39(6):59-61.
|
| [24] |
赵斌, 季昌好, 孙皓, 等. 多棱饲用大麦品系粮、草产量及品质的鉴定与综合评价[J]. 作物杂志, 2022(6):93-97.
|
| [25] |
于辉, 姚江华, 刘荣, 等. 四个紫花苜蓿品种草产量、营养品质及越冬率的综合评价[J]. 中国草地学报, 2010, 32(3):108-111.
|
| [26] |
赵加涛, 杨向红, 付正波, 等. 不同大麦品种饲草产量及品质研究[J]. 中国农学通报, 2021, 37(27):27-31.
doi: 10.11924/j.issn.1000-6850.casb2020-0746 |
| [27] |
王亦菲, 张述伟, 宗营杰, 等. 优良饲草大麦DH株系的创制及品质评价[J]. 中国草地学报, 2022, 44(11):39-46.
|
| [28] |
徐广祥, 刘琳, 刘志萍, 等. 河套地区不同刈割期对春播饲草大麦产量及品质的影响[J]. 中国奶牛, 2021(4):57-60.
|
| [29] |
袁波, 徐丽君, 赵雅茹, 等. 北方农牧交错区复种燕麦品种的筛选与评价[J]. 草业科学, 2024, 41(3):652-663.
|
| [30] |
凌树礼. 应用RFV评价鄂尔多斯荒漠草原优势牧草营养价值[J]. 畜牧与饲料科学, 2014, 35(10):15-16.
|
| [31] |
王海岗, 贾冠清, 智慧, 等. 谷子核心种质表型遗传多样性分析及综合评价[J]. 作物学报, 2016, 42(1):19-30.
|
| [1] | 顾艳, 何伟贤, 邓权清, 梅瑜, 徐世强, 李静宇, 王继华. 凉粉草种质资源、育种及栽培技术研究进展[J]. 中国农学通报, 2026, 42(5): 27-34. |
| [2] | 于洋洋, 张长远, 张惠尧, 吴廷全, 谢琦, 郭金菊. 葫芦科作物单性结实研究进展[J]. 中国农学通报, 2026, 42(5): 55-61. |
| [3] | 官纪元, 陈哲, 张群英. 授粉品种对‘自由’黑莓结实性和果实品质的影响[J]. 中国农学通报, 2026, 42(5): 77-82. |
| [4] | 苏岩, 赵晓英, 成日晟, 薛淑琴, 张英华. 苏尼特荒漠草原土壤主要养分变化特征及综合评价[J]. 中国农学通报, 2026, 42(5): 109-116. |
| [5] | 廖源源, 郑章云, 张梓韬, 陈力, 夏川林, 任杰群, 谭立新. 42份桑树种质资源表型及叶片营养品质的分析[J]. 中国农学通报, 2026, 42(4): 105-116. |
| [6] | 张闻婷, 孙铭阳, 任海龙, 袁清华, 索海翠. 菜用大豆研究进展[J]. 中国农学通报, 2026, 42(3): 80-90. |
| [7] | 孙天琦, 周蕾, 徐林贵, 孙晓波, 陈勇, 隋春. 菘蓝基因组SSR位点分析及分子标记开发[J]. 中国农学通报, 2026, 42(2): 50-56. |
| [8] | 权申春, 马永鹏, 龙云星, 王茜, 高朝文, 岳凯, 潘曾荣, 邓琦炜, 刘元剑. 育苗基质对昭参种子育苗及种苗生长的影响[J]. 中国农学通报, 2026, 42(1): 110-115. |
| [9] | 徐寸发, 孙以文, 王宁, 汪佳蕾, 杨晨晔, 陈厉洋, 单成俊. 不同品种小果型西瓜品质分析与综合评价[J]. 中国农学通报, 2026, 42(1): 70-76. |
| [10] | 黄蓉, 汤玲, 王卫成, 常强, 李宽莹, 贺欢, 潘艳花. 芍药叶形态性状和叶绿素荧光对干旱胁迫的响应及抗旱性评价[J]. 中国农学通报, 2026, 42(1): 92-102. |
| [11] | 刘娇, 胡星, 黄晓霞, 刘文革, 何明雄, 卢昌友, 罗以贵. ‘云烟116’和‘云烟300’在广西河池烟区的种植适应性[J]. 中国农学通报, 2025, 41(7): 22-28. |
| [12] | 赵芳, 高运青, 高韶斌, 郑丽珍, 李姝彤, 尚启兵, 徐东旭, 关翔宇. 河北省绿豆种质资源主要农艺性状、经济性状遗传多样性分析及综合评价[J]. 中国农学通报, 2025, 41(5): 23-29. |
| [13] | 李云溪, 查养良, 陈木兰, 缑耀武, 刘泉. 咸阳阳光玫瑰葡萄种植气候条件分析及适宜性区划[J]. 中国农学通报, 2025, 41(5): 77-83. |
| [14] | 张煜婷, 韩雪雪, 何芳霞, 严瑞. 50种园林小菊观赏性状综合评价[J]. 中国农学通报, 2025, 41(4): 56-65. |
| [15] | 李静, 李海霞, 李正华, 郭成博, 王艳敏, 孙培琳, 白卉. 丁香种质资源表型性状遗传多样性分析[J]. 中国农学通报, 2025, 41(4): 74-83. |
| 阅读次数 | ||||||
|
全文 |
|
|||||
|
摘要 |
|
|||||