中国农学通报 ›› 2026, Vol. 42 ›› Issue (1): 92-102.doi: 10.11924/j.issn.1000-6850.casb2025-0287
黄蓉(
), 汤玲, 王卫成, 常强, 李宽莹, 贺欢, 潘艳花(
)
收稿日期:2025-04-14
修回日期:2025-12-12
出版日期:2026-01-15
发布日期:2026-01-15
通讯作者:
作者简介:黄蓉,女,1989年出生,甘肃天水人,高级工程师,博士,研究方向为观赏植物品种选育及栽培等研究工作。通信地址:730070 甘肃省兰州市安宁区农科院新村1号,E-mail:gsauhr@163.com。
基金资助:
HUANG Rong(
), TANG Ling, WANG Weicheng, CHANG Qiang, LI Kuanying, HE Huan, PAN Yanhua(
)
Received:2025-04-14
Revised:2025-12-12
Published:2026-01-15
Online:2026-01-15
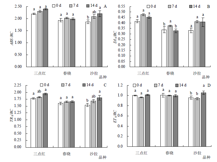
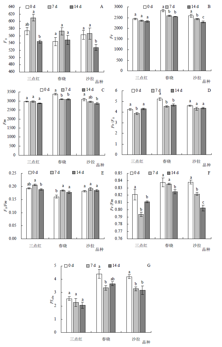
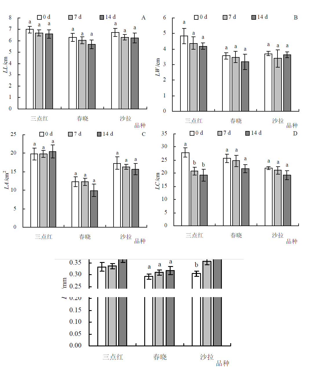
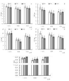
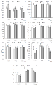
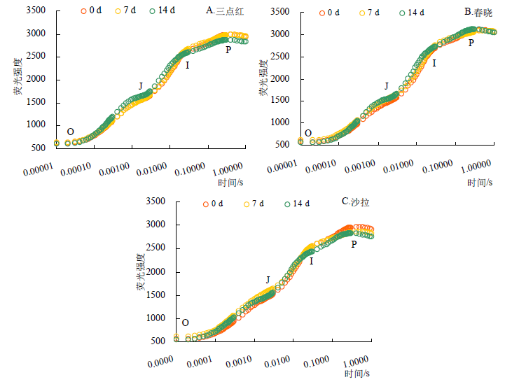
摘要: 为明确不同芍药品种的抗旱差异,筛选抗旱性优异品种,以‘三点红’、‘春晓’和‘沙拉’3个芍药品种为试验材料,采用盆栽自然干旱法,设置0 d(未干旱处理)、7 d(中度干旱)、14 d(重度干旱)处理,测定叶长、叶宽、叶面积、叶周长、叶厚度、相对叶绿素含量、叶氮含量和叶绿素荧光参数等指标,通过相关性分析与主成分分析综合评价抗旱性。结果表明:(1)干旱胁迫下,3个芍药品种的叶长、叶宽、叶面积和叶周长随着干旱胁迫的加剧逐渐降低,叶厚度逐渐增加。(2)3个芍药品种的相对叶绿素含量(SPAD)和叶氮含量(LNC)均随着干旱时长的增加而逐渐降低,且干旱14 d的SPAD和LNC与0 d的差异显著(P<0.05)。(3)3个芍药品种的F0和F0/Fm在干旱7 d后增加,而在干旱14 d后降低;Fv/F0在干旱7 d降低,而在干旱14 d后增加;Fv、Fm、Fv/Fm和PIabs随着干旱时长的增加而呈降低趋势。(4)3个芍药品种的叶绿素荧光O-J-I-P曲线随着时间的增加逐渐上升,在经过P点时逐渐平缓。在受到干旱胁迫时,芍药的叶形态性状和叶绿素荧光参数协同变化以适应干旱环境,3个芍药品种抗旱性由强到弱表现为‘沙拉’>‘春晓’>‘三点红’。
黄蓉, 汤玲, 王卫成, 常强, 李宽莹, 贺欢, 潘艳花. 芍药叶形态性状和叶绿素荧光对干旱胁迫的响应及抗旱性评价[J]. 中国农学通报, 2026, 42(1): 92-102.
HUANG Rong, TANG Ling, WANG Weicheng, CHANG Qiang, LI Kuanying, HE Huan, PAN Yanhua. Response of Morphological Traits and Chlorophyll Fluorescence of Paeonia lactiflora Leaves to Drought Stress and Evaluation of Drought Resistance[J]. Chinese Agricultural Science Bulletin, 2026, 42(1): 92-102.
| 参数 | 定义 |
|---|---|
| F0 | 初始荧光 |
| Fm | 最大荧光 |
| Fv | 可变荧光 |
| F0/Fm | 初始荧光与最大荧光的比值 |
| Fv/F0 | 潜在光化学效率 |
| Fv/Fm | 最大光化学效率 |
| PIabs | 以吸收光能为基础的性能指数 |
| ABS/RC | 单位反应中心吸收的能量 |
| TR0/RC | 单位反应中心捕获的能量 |
| ET0/RC | 单位反应中心用于电子传递的能量 |
| DI0/RC | 单位反应中心热耗散掉的能量 |
| 参数 | 定义 |
|---|---|
| F0 | 初始荧光 |
| Fm | 最大荧光 |
| Fv | 可变荧光 |
| F0/Fm | 初始荧光与最大荧光的比值 |
| Fv/F0 | 潜在光化学效率 |
| Fv/Fm | 最大光化学效率 |
| PIabs | 以吸收光能为基础的性能指数 |
| ABS/RC | 单位反应中心吸收的能量 |
| TR0/RC | 单位反应中心捕获的能量 |
| ET0/RC | 单位反应中心用于电子传递的能量 |
| DI0/RC | 单位反应中心热耗散掉的能量 |
| 指标 | 主成分1 | 主成分2 |
|---|---|---|
| SPAD | -0.901 | -0.434 |
| LNC | -0.905 | -0.426 |
| F0 | 0.804 | 0.594 |
| Fm | -0.729 | 0.685 |
| Fv | -0.779 | 0.628 |
| F0/Fm | 0.991 | -0.136 |
| Fv/Fm | -0.911 | 0.413 |
| Fv/F0 | -0.975 | 0.221 |
| PIabs | -0.989 | -0.150 |
| LA | 0.999 | 0.037 |
| LL | 0.893 | 0.451 |
| LW | 0.966 | 0.259 |
| LC | -0.168 | 0.986 |
| LT | 0.624 | -0.782 |
| ABS/RC | 0.963 | 0.271 |
| DI0/RC | 0.993 | 0.115 |
| TR0/RC | 0.943 | 0.334 |
| ET0/RC | -0.469 | 0.883 |
| 特征值 | 13.320 | 4.680 |
| 贡献率/% | 74.002 | 25.998 |
| 累计贡献率/% | 74.002 | 100.000 |
| 指标 | 主成分1 | 主成分2 |
|---|---|---|
| SPAD | -0.901 | -0.434 |
| LNC | -0.905 | -0.426 |
| F0 | 0.804 | 0.594 |
| Fm | -0.729 | 0.685 |
| Fv | -0.779 | 0.628 |
| F0/Fm | 0.991 | -0.136 |
| Fv/Fm | -0.911 | 0.413 |
| Fv/F0 | -0.975 | 0.221 |
| PIabs | -0.989 | -0.150 |
| LA | 0.999 | 0.037 |
| LL | 0.893 | 0.451 |
| LW | 0.966 | 0.259 |
| LC | -0.168 | 0.986 |
| LT | 0.624 | -0.782 |
| ABS/RC | 0.963 | 0.271 |
| DI0/RC | 0.993 | 0.115 |
| TR0/RC | 0.943 | 0.334 |
| ET0/RC | -0.469 | 0.883 |
| 特征值 | 13.320 | 4.680 |
| 贡献率/% | 74.002 | 25.998 |
| 累计贡献率/% | 74.002 | 100.000 |
| [1] |
孙宜, 孙猛, 王扬, 等. 3个紫薇品种形态和生理特性对干旱胁迫的响应[J]. 贵州农业科学, 2023,51:93-102.
|
| [2] |
张一龙, 喻启坤, 李雯, 等. 不同抗旱性狗牙根地上地下表型特征及内源激素对干旱胁迫的响应[J]. 草业学报, 2023,32:163-178.
|
| [3] |
doi: 10.1007/s12517-019-5007-7 |
| [4] |
胡晓健, 杨春霞, 谭世才, 等. 干旱胁迫对不同种源马尾松幼苗中脯氨酸及内源激素含量的影响[J]. 南方林业科学, 2020,48:24-28.
|
| [5] |
韩蓉, 田青, 孙一梅, 等. 兰州市42种园林木本植物叶片碳氮磷化学计量特征[J]. 北京林业大学学报, 2023, 45(7):110-119.
|
| [6] |
周宇飞, 王德权, 陆樟镳, 等. 干旱胁迫对持绿性高粱光合特性和内源激素ABA、CTK含量的影响[J]. 中国农业科学, 2014,47:655-663.
|
| [7] |
|
| [8] |
谭炯锐, 查同刚, 张泽宇, 等. 猪毛菜响应干旱胁迫的叶片结构、生理及转录组分析[J]. 草业学报, 2024,33:75-88.
|
| [9] |
杨建伟, 刘嘉翔, 孙桂芳, 等. 干旱胁迫对6种灌木生理特征的影响[J]. 林业与生态科学, 2023,38:507-516.
|
| [10] |
周洁, 杨晓东, 王雅芸, 等. 梭梭和骆驼刺对干旱的适应策略差异[J]. 植物生态学报, 2022,46:1064-1076.
|
| [11] |
柴成武, 王方琳, 赵鹏, 等. 干旱胁迫对沙蒿叶片水分含量、光合特性及抗氧化酶的影响[J]. 西北林学院学报, 2025,40:42-50.
|
| [12] |
魏臣杰, 李舒琦, 邓飞, 等. 干旱胁迫下γ-氨基丁酸喷施对燕麦幼苗生长及叶绿素荧光参数的影响[J]. 草地学报, 2025,33:489-497.
|
| [13] |
贾瑞丰, 杨曾奖, 徐大平, 等. 干旱胁迫对降香黄檀幼苗生长及内源激素含量的影响[J]. 生态环境学报, 2013,22:1136-1140.
|
| [14] |
王琪, 刘建鑫, 张建军, 等水分胁迫对芍药生长和生理生化特性影响的研究[J]. 植物遗传资源学报, 2014,15:1270-1277.
|
| [15] |
李婷婷. 芍药对干旱胁迫的响应及PM19L和MYB108基因功能的初步研究[D]. 扬州: 扬州大学, 2021.
|
| [16] |
张维, 贺亚玲, 吴泽昂, 等. 模拟增温对梭梭光合生理生态特征的影响[J]. 草地学报, 2017,25:296-302.
|
| [17] |
|
| [18] |
杨建. 芍药对干旱和土壤盐度逆境胁迫的抗性生理响应研究[D]. 太原: 山西农业大学, 2021.
|
| [19] |
|
| [20] |
|
| [21] |
|
| [22] |
王靖, 李宝强, 孔令国, 等. 山东省主栽小麦品种萌发期抗旱性综合评价[J]. 中国农学通报, 2025, 41(17):1-5.
doi: 10.11924/j.issn.1000-6850.casb2024-0435 |
| [23] |
覃兰丽, 陈观榕, 李燕婷, 等. 广西喀斯特地区五个桑树品种叶功能性状及其抗旱性评价[J]. 广西植物, 2025, 45(6):1060-1070.
|
| [24] |
麻云霞, 李钢铁, 张宏武, 等. 酸枣幼苗光合特征和生理生化指标对不同强度干旱胁迫的响应[J]. 干旱区资源与环境, 2018,32:164-169.
|
| [25] |
|
| [26] |
|
| [27] |
杜少波, 毛晓宁, 鄂崇毅, 等. 两种柳属植物在干旱胁迫下的生理响应研究[J]. 内蒙古农业大学学报(自然科学版), 2025, 46(2):29-37.
|
| [28] |
曾松, 欧静, 田奥, 等. 干旱胁迫对马缨杜鹃生长和光合生理特征的影响[J]. 西南农业学报, 2023, 36(12):2670-2677.
|
| [29] |
赵东敏. 干旱胁迫下不同固氮类型荒漠植物的生态适应性与物质能量代谢规律研究[D]. 北京: 北京林业大学, 2024.
|
| [30] |
|
| [31] |
黄俊玲, 王妍. 干热河谷乡土树种叶绿素荧光特征对水分胁迫的响应[J]. 西北植物学报, 2015,35:2505-2512.
|
| [32] |
吴敏, 邓平, 赵英, 等. 喀斯特干旱环境对青冈栎叶片生长及叶绿素荧光动力学参数的影响[J]. 应用生态学报, 2019,30:4071-4081.
|
| [33] |
闫小莉, 刘贵梅, 李小玉, 等. 不同水平氮添加和铵硝态氮比环境下木荷幼苗光合及叶绿素荧光特性[J]. 植物生态学报, 2025, 49(4):624-637.
doi: 10.17521/cjpe.2024.0379 |
| [34] |
|
| [35] |
|
| [36] |
|
| [37] |
|
| [38] |
吴芳, 张静, 杨红善, 等. 12份紫花苜蓿品种(品系)苗期抗旱性综合评价[J]. 中国草地学报, 2025, 47(6):66-77.
|
| [1] | 祁烁锟, 张祎洋, 马玉, 刘浩琳, 石俊聪, 吴龙国. 微咸水对樱桃番茄生长与品质的影响[J]. 中国农学通报, 2026, 42(1): 56-69. |
| [2] | 徐寸发, 孙以文, 王宁, 汪佳蕾, 杨晨晔, 陈厉洋, 单成俊. 不同品种小果型西瓜品质分析与综合评价[J]. 中国农学通报, 2026, 42(1): 70-76. |
| [3] | 权申春, 马永鹏, 龙云星, 王茜, 高朝文, 岳凯, 潘曾荣, 邓琦炜, 刘元剑. 育苗基质对昭参种子育苗及种苗生长的影响[J]. 中国农学通报, 2026, 42(1): 110-115. |
| [4] | 王鑫, 张欣欣, 米明, 李硕, 李好健, 马海林, 司东霞. 一次性施用氮肥对芍药生长及光合特性的影响[J]. 中国农学通报, 2025, 41(7): 61-66. |
| [5] | 周波, 唐劲驰, 黎健龙, 陈义勇, 张曼, 崔莹莹, 黄秀鑫. 茶树叶片对干旱胁迫的生理响应[J]. 中国农学通报, 2025, 41(7): 67-74. |
| [6] | 刘娇, 胡星, 黄晓霞, 刘文革, 何明雄, 卢昌友, 罗以贵. ‘云烟116’和‘云烟300’在广西河池烟区的种植适应性[J]. 中国农学通报, 2025, 41(7): 22-28. |
| [7] | 朱元杰, 塔娜, 赵卫国, 张梦茹, 李成军, 贺茂昌. 模拟干旱胁迫对甘蓝型油菜种子萌发及幼苗生理特性的研究[J]. 中国农学通报, 2025, 41(6): 44-52. |
| [8] | 赵芳, 高运青, 高韶斌, 郑丽珍, 李姝彤, 尚启兵, 徐东旭, 关翔宇. 河北省绿豆种质资源主要农艺性状、经济性状遗传多样性分析及综合评价[J]. 中国农学通报, 2025, 41(5): 23-29. |
| [9] | 李云溪, 查养良, 陈木兰, 缑耀武, 刘泉. 咸阳阳光玫瑰葡萄种植气候条件分析及适宜性区划[J]. 中国农学通报, 2025, 41(5): 77-83. |
| [10] | 李志鑫, 王龙, 李欣, 谭能智, 陈京良, 陈裕嘉, 杨延杰, 闫征南, 张雨涵. 冬季补光在日光温室草莓生长和品质提升中的应用[J]. 中国农学通报, 2025, 41(4): 50-55. |
| [11] | 张煜婷, 韩雪雪, 何芳霞, 严瑞. 50种园林小菊观赏性状综合评价[J]. 中国农学通报, 2025, 41(4): 56-65. |
| [12] | 李静, 李海霞, 李正华, 郭成博, 王艳敏, 孙培琳, 白卉. 丁香种质资源表型性状遗传多样性分析[J]. 中国农学通报, 2025, 41(4): 74-83. |
| [13] | 党海红, 何克燕, 何丽丽, 李纪昀, 王佳豪, 王晓丽, 王倩, 魏小星. 8个燕麦品种在玛多地区的生产性能及营养品质综合评价[J]. 中国农学通报, 2025, 41(34): 112-120. |
| [14] | 袁晨晨, 燕丽萍, 李丽, 周健, 孙超, 王因花, 李天娇. 9种白蜡苗期耐盐响应与综合评价[J]. 中国农学通报, 2025, 41(34): 23-29. |
| [15] | 李婷, 彭楚雲, 马道承, 甘雯, 杨梅, 龙敏. 7种樟科植物生长、生理与养分积累的特性[J]. 中国农学通报, 2025, 41(34): 30-38. |
| 阅读次数 | ||||||
|
全文 |
|
|||||
|
摘要 |
|
|||||