欢迎访问《中国农学通报》,

中国农学通报 ›› 2025, Vol. 41 ›› Issue (34): 112-120.doi: 10.11924/j.issn.1000-6850.casb2025-0535

• 畜牧·动物医学·蚕·蜂 • 上一篇    下一篇

8个燕麦品种在玛多地区的生产性能及营养品质综合评价

党海红1(), 何克燕1, 何丽丽1, 李纪昀1, 王佳豪2, 王晓丽1, 王倩3, 魏小星1()   

  1. 1 青海大学(青海省畜牧兽医科学院)/青海省青藏高原优良牧草种质资源利用重点实验室,西宁 810016
    2 中国农业科学院草原研究所,呼和浩特 010000
    3 青海大学省部共建三江源生态与高原农牧业国家重点实验室,西宁 810016
  • 收稿日期:2025-06-30 修回日期:2025-11-18 出版日期:2025-12-04 发布日期:2025-12-04
  • 通讯作者:
    魏小星,男,1985年出生,青海互助人,副研究员,主要从事牧草育种、抗逆生理研究。通信地址:810016 青海省西宁市城北区纬二路1号 青海省畜牧兽科学院,E-mail:
  • 作者简介:

    党海红,女,1997年出生,青海大通人,硕士研究生,主要从事牧草育种、抗逆生理研究。通信地址:810016 青海省西宁市城北区纬二路1号 青海省畜牧兽科学院,E-mail:

  • 基金资助:
    青海省昆仑英才·高端创新创业人才项目“青海省高端创新人才计划”(2025-PYLJ); 国家重点研发计划(2022YFD1602311)

Comprehensive Evaluation of Production Performance and Nutritional Value of Eight Oat Varieties in Maduo Region

DANG Haihong1(), HE Keyan1, HE Lili1, LI Jiyun1, WANG Jiahao2, WANG Xiaoli1, WANG Qian3, WEI Xiaoxing1()   

  1. 1 Key Laboratory for Utilization of Excellent Germplasm Resources in Forages of Qinghai-Tibet Plateau, Qinghai Province/ Qinghai University (Qinghai Academy of Animal Science and Veterinary Medicine), Xining 810016
    2 Institute of Grassland Research, Chinese Academy of Agricultural Sciences, Hohhot 010000
    3 State Key Laboratory of Plateau Ecology and Agriculture, Qinghai University (Co-founded by Ministry of Science and Technology and Qinghai Province), Xining 810016
  • Received:2025-06-30 Revised:2025-11-18 Published:2025-12-04 Online:2025-12-04

摘要:

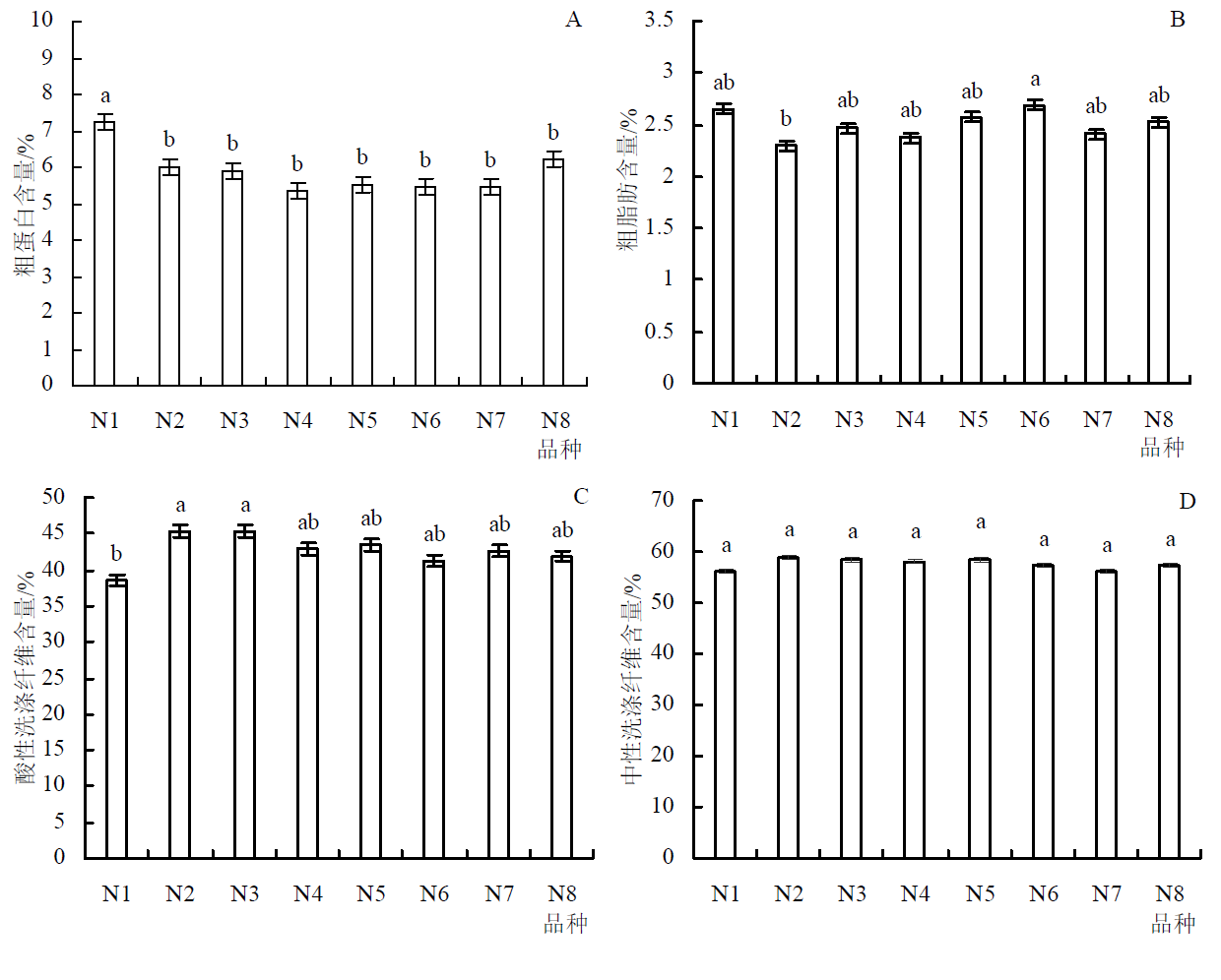
为筛选出适宜青藏高原高海拔恶劣环境(玛多地区)种植的优质高产燕麦品种,提升当地饲草生产水平,缓解高寒地区饲草短缺问题,选择8个在青海广泛种植的优良燕麦品种(裸燕麦2个、皮燕麦6个),在玛多县的黄河流域阿印村(海拔4500 m)开展随机区组引种试验。测定分析各品种的农艺性状(株高、茎粗、旗叶尺寸、分蘖数)、产量性状(鲜草产量、干草产量、茎叶比、根冠比、鲜干比)及营养品质(粗蛋白、粗脂肪、酸性洗涤纤维、中性洗涤纤维、相对饲用价值),采用TOPSIS多准则决策模型对不同燕麦品种的多项指标进行综合评价。结果表明,‘青海444’燕麦的干草产量最高(5514.67 kg/hm2),株高达到58.82 cm;‘青引3号’、‘青海甜燕麦’的粗蛋白含量比较高,分别为7.25%、6.21%;‘青引3号’的酸性洗涤纤维、中性洗涤纤维含量都比较低,分别为38.42%、56.06%,但相对饲用价值较高(83.76%)。TOPSIS多准则决策模型分析表明,‘青海444’和‘青引1号’表现出较高的生产性能和营养品质,是适合在玛多地区大面积推广种植的理想燕麦品种。

关键词: 燕麦, 玛多地区, 生产性能, 营养品质, 综合评价, TOPSIS模型, 农艺性状, 引种评比

Abstract:

The aim was to screen out high-quality and high-yield oat varieties suitable for planting in high altitude and harsh environment (Maduo region) of Qinghai-Tibet Plateau, thereby enhancing local oat forage production standards and alleviating the shortage of forage in alpine areas. This study selected eight oat varieties with favorable traits for a comparative introduction trial conducted in Ayin Village, which is located in the Yellow River basin of Maduo County. The agronomic traits, yield characteristics, and quality attributes of different oat varieties were analyzed and evaluated. This research employed the TOPSIS multi-criteria decision-making model to conduct a comprehensive evaluation of multiple indicators across different oat varieties. The results indicated that the ‘Qinghai 444’ oat variety achieved the highest dry hay yield at 5514.67 kg/hm2, with a plant height of 58.82 cm. The ‘Qingyin No.3’ and ‘Qinghai Sweet Oat’ varieties exhibited relatively high crude protein content, at 7.25% and 6.21%, respectively. Additionally, ‘Qingyin No.3’ showed lower acid detergent fiber and neutral detergent fiber contents, at 38.42% and 56.06%, respectively, while demonstrating a relatively high feed value of 83.76%. The TOPSIS multi-criteria decision-making model analysis revealed that both ‘Qinghai 444’ and ‘Qingyin No.1’ oat varieties exhibited superior production performance and nutritional quality, making them ideal choices for large-scale cultivation and promotion in the Maduo region.

Key words: oats, Maduo region, production performance, nutritional value, comprehensive evaluation, TOPSIS model, agronomic traits, introduction evaluation trial