中国农学通报 ›› 2025, Vol. 41 ›› Issue (34): 121-128.doi: 10.11924/j.issn.1000-6850.casb2025-0091
徐帅华1(
), 党霞1, 楚晗1, 李秋剑2, 张攀峰1, 陈溪1, 丁易飞1, 王选1, 张相辉1(
)
收稿日期:2025-02-12
修回日期:2025-09-26
出版日期:2025-12-04
发布日期:2025-12-04
通讯作者:
作者简介:徐帅华,男,1990年出生,河南周口人,工程师,硕士,主要从事打叶复烤设备与工艺技术研究。E-mail:245378581@qq.com。
基金资助:
XU Shuaihua1(
), DANG Xia1, CHU Han1, LI Qiujian2, ZHANG Panfeng1, CHEN Xi1, DING Yifei1, WANG Xuan1, ZHANG Xianghui1(
)
Received:2025-02-12
Revised:2025-09-26
Published:2025-12-04
Online:2025-12-04
摘要:
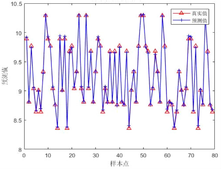
为探究复烤机干燥参数对河南浓香型烟叶烤后烟叶感官质量稳定性的影响,本研究以许昌‘中烟100’C3F烟叶为材料,研究不同干燥曲线对烤后烟叶感官质量的作用,旨在确定适于河南浓香型烟叶的干燥曲线。研究过程中,全面采集打叶复烤生产过程中干燥参数、来料参数、环境参数,并对复烤干燥后烟叶进行感官质量评价。最后,运用BP神经网络算法构建干燥参数控制模型,以此预测感官评吸结果。结果表明,采用低温慢烤工艺技术,干燥曲线采用抛物线型定温方式,将干燥一区、二区、三区温差控制在(4.0±1.0)℃,三区、四区、五区、六区温差控制在(2±1)℃,干燥区总温度控制在(380±5.0)℃。同时,将左右冷房含水率控制在(9.0±0.5)%,水分差值设定为±0.8%时,烤后烟叶香气质、香气量均得到显著提升,烟气细腻程度有所改善,余味也有不同程度的优化。利用BP神经网络模型算法对烟叶内在质量进行预测,烤后烟叶感官质量与预测模型感官评吸结果基本一致。表明该模型在参数改变时能够及时预测结果,为生产提供有效的指导。
徐帅华, 党霞, 楚晗, 李秋剑, 张攀峰, 陈溪, 丁易飞, 王选, 张相辉. 基于感官质量稳定性的河南浓香型烟叶复烤干燥参数控制技术的研究[J]. 中国农学通报, 2025, 41(34): 121-128.
XU Shuaihua, DANG Xia, CHU Han, LI Qiujian, ZHANG Panfeng, CHEN Xi, DING Yifei, WANG Xuan, ZHANG Xianghui. Research on Re-drying Parameter Control Technology for Strong Flavor Type Tobacco Leaves in Henan Based on Sensory Quality Stability[J]. Chinese Agricultural Science Bulletin, 2025, 41(34): 121-128.
| 序号 | 干燥曲线 | 来料水分/% | 物料厚度/mm | 干燥区温度/℃ | ||||||
|---|---|---|---|---|---|---|---|---|---|---|
| 一区 | 二区 | 三区 | 四区 | 五区 | 六区 | 总温度 | ||||
| A | 上斜线 | 16.82 | 110~120 | 60 | 61.1 | 63.3 | 64.2 | 65.4 | 66.5 | 380.5 |
| B | 抛物线 | 16.89 | 110~120 | 60 | 64.7 | 67.4 | 64.8 | 62 | 60 | 378.9 |
| C | 下斜线 | 16.94 | 110~120 | 67 | 65 | 63.4 | 62.2 | 61.6 | 60 | 379.2 |
| D | 梯形 | 16.88 | 110~120 | 60.5 | 62.5 | 65 | 65 | 63 | 61 | 377 |
| 序号 | 干燥曲线 | 来料水分/% | 物料厚度/mm | 干燥区温度/℃ | ||||||
|---|---|---|---|---|---|---|---|---|---|---|
| 一区 | 二区 | 三区 | 四区 | 五区 | 六区 | 总温度 | ||||
| A | 上斜线 | 16.82 | 110~120 | 60 | 61.1 | 63.3 | 64.2 | 65.4 | 66.5 | 380.5 |
| B | 抛物线 | 16.89 | 110~120 | 60 | 64.7 | 67.4 | 64.8 | 62 | 60 | 378.9 |
| C | 下斜线 | 16.94 | 110~120 | 67 | 65 | 63.4 | 62.2 | 61.6 | 60 | 379.2 |
| D | 梯形 | 16.88 | 110~120 | 60.5 | 62.5 | 65 | 65 | 63 | 61 | 377 |
| 序号 | 干燥曲线 | 香气质 | 香气量 | 浓度 | 杂气 | 劲头 | 刺激性 | 余味 | 总分 |
|---|---|---|---|---|---|---|---|---|---|
| A | 上斜线 | 6.43 | 6.31 | 6.37 | 6.43 | 6.33 | 6.34 | 6.33 | 44.54 |
| B | 抛物线 | 6.71 | 6.67 | 6.47 | 6.67 | 6.33 | 6.67 | 6.63 | 46.15 |
| C | 下斜线 | 6.41 | 6.43 | 6.41 | 6.41 | 6.33 | 6.41 | 6.39 | 44.79 |
| D | 梯形线 | 6.40 | 6.43 | 6.45 | 6.38 | 6.33 | 6.40 | 6.38 | 44.77 |
| 序号 | 干燥曲线 | 香气质 | 香气量 | 浓度 | 杂气 | 劲头 | 刺激性 | 余味 | 总分 |
|---|---|---|---|---|---|---|---|---|---|
| A | 上斜线 | 6.43 | 6.31 | 6.37 | 6.43 | 6.33 | 6.34 | 6.33 | 44.54 |
| B | 抛物线 | 6.71 | 6.67 | 6.47 | 6.67 | 6.33 | 6.67 | 6.63 | 46.15 |
| C | 下斜线 | 6.41 | 6.43 | 6.41 | 6.41 | 6.33 | 6.41 | 6.39 | 44.79 |
| D | 梯形线 | 6.40 | 6.43 | 6.45 | 6.38 | 6.33 | 6.40 | 6.38 | 44.77 |
| 序号 | 干燥区温度/℃ | 左冷房水分/% | 右冷房水分/% | 左、右冷房水分差值/% | ||||||
|---|---|---|---|---|---|---|---|---|---|---|
| 一区 | 二区 | 三区 | 四区 | 五区 | 六区 | 总温度 | ||||
| 1 | 60 | 64.7 | 67.4 | 64.8 | 62 | 60 | 378.9 | 9.33 | 9.48 | -0.15 |
| 2 | 59.9 | 63.8 | 67.7 | 65.7 | 63.8 | 61.7 | 382.6 | 10.29 | 9.77 | 0.52 |
| 3 | 60.8 | 66.1 | 72.1 | 66.7 | 62.7 | 59.5 | 387.9 | 9.68 | 9.12 | 0.56 |
| 4 | 60.4 | 65.1 | 68.9 | 66.1 | 63.1 | 60.2 | 383.8 | 9.89 | 9.67 | 0.22 |
| 5 | 59.8 | 64.2 | 68.3 | 66.1 | 63.9 | 61.7 | 383 | 9.58 | 10.4 | -0.82 |
| 6 | 59.7 | 64 | 68 | 66 | 63.8 | 61.5 | 382 | 9.72 | 10.15 | -0.43 |
| 7 | 59.8 | 66.2 | 70.9 | 65.4 | 63.5 | 60.3 | 386.1 | 9.41 | 9.98 | -0.57 |
| 8 | 60 | 64.4 | 68.4 | 66.2 | 64 | 61.7 | 384.7 | 10.62 | 9.57 | 1.05 |
| 9 | 59.6 | 63.9 | 68 | 66 | 63.8 | 61.5 | 382.8 | 10.23 | 9.76 | 0.47 |
| 10 | 60.4 | 65.1 | 71.5 | 66.9 | 63.2 | 60 | 387.1 | 9.56 | 9.74 | -0.18 |
| 11 | 59.5 | 63.8 | 67.9 | 66.2 | 64.1 | 61.8 | 383.3 | 10.11 | 9.65 | 0.46 |
| 12 | 59 | 63.2 | 67.2 | 65.5 | 63.3 | 61 | 379.2 | 9.99 | 9.43 | 0.56 |
| 13 | 58.8 | 63 | 67 | 65.5 | 63.3 | 61 | 378.6 | 9.38 | 10.27 | -0.89 |
| 14 | 60.5 | 65.4 | 70.8 | 66.1 | 63.3 | 60.1 | 386.2 | 10.05 | 9.89 | 0.16 |
| 15 | 59.2 | 63.5 | 67.5 | 65.3 | 63.1 | 60.8 | 379.4 | 9.22 | 10.31 | -1.09 |
| 16 | 60 | 65.2 | 71.4 | 67 | 63.1 | 60 | 386.7 | 9.84 | 9.57 | 0.27 |
| 17 | 60.3 | 64.6 | 68.6 | 66.4 | 63.1 | 61.9 | 384.9 | 10.23 | 9.76 | 0.47 |
| 18 | 58.5 | 62.8 | 66.8 | 65 | 62.8 | 60.5 | 376.4 | 9.49 | 10.39 | -0.90 |
| 19 | 59.9 | 63.7 | 66.3 | 64.7 | 62 | 60.1 | 376.7 | 9.95 | 9.61 | 0.34 |
| 20 | 60.4 | 66.3 | 70.9 | 65.9 | 62.5 | 60.2 | 386.2 | 10.17 | 9.83 | 0.34 |
| 21 | 59.9 | 65.3 | 69.1 | 65.2 | 62.6 | 60.2 | 381.3 | 9.78 | 10.29 | -0.51 |
| 22 | 60.2 | 64.8 | 68.8 | 66.1 | 63 | 60 | 382.9 | 10.26 | 9.15 | 1.11 |
| 23 | 59.7 | 63.6 | 67.5 | 65.5 | 63.6 | 61.5 | 381.4 | 9.67 | 10.13 | -0.46 |
| 24 | 60.3 | 63.0 | 67.1 | 65.1 | 63.2 | 61.1 | 379.8 | 9.92 | 9.86 | 0.06 |
| 25 | 60.5 | 66 | 71.4 | 66.3 | 62.8 | 60.1 | 387.1 | 10.34 | 9.47 | 0.87 |
| 26 | 60.1 | 64 | 67.9 | 65.9 | 64 | 61.9 | 383.8 | 9.75 | 10.09 | -0.34 |
| 27 | 59.2 | 63.1 | 67 | 65 | 63.1 | 61 | 380.4 | 10.21 | 9.63 | 0.58 |
| 28 | 59.5 | 63.4 | 67.3 | 65.3 | 63.4 | 61.3 | 380.2 | 9.88 | 10.17 | -0.29 |
| 29 | 60.3 | 65.6 | 71.1 | 66.4 | 62.9 | 60.2 | 386.5 | 10.04 | 9.79 | 0.25 |
| 30 | 61.1 | 64.3 | 68.6 | 65.7 | 62.7 | 60.0 | 382.4 | 9.97 | 9.02 | 0.95 |
| 序号 | 干燥区温度/℃ | 左冷房水分/% | 右冷房水分/% | 左、右冷房水分差值/% | ||||||
|---|---|---|---|---|---|---|---|---|---|---|
| 一区 | 二区 | 三区 | 四区 | 五区 | 六区 | 总温度 | ||||
| 1 | 60 | 64.7 | 67.4 | 64.8 | 62 | 60 | 378.9 | 9.33 | 9.48 | -0.15 |
| 2 | 59.9 | 63.8 | 67.7 | 65.7 | 63.8 | 61.7 | 382.6 | 10.29 | 9.77 | 0.52 |
| 3 | 60.8 | 66.1 | 72.1 | 66.7 | 62.7 | 59.5 | 387.9 | 9.68 | 9.12 | 0.56 |
| 4 | 60.4 | 65.1 | 68.9 | 66.1 | 63.1 | 60.2 | 383.8 | 9.89 | 9.67 | 0.22 |
| 5 | 59.8 | 64.2 | 68.3 | 66.1 | 63.9 | 61.7 | 383 | 9.58 | 10.4 | -0.82 |
| 6 | 59.7 | 64 | 68 | 66 | 63.8 | 61.5 | 382 | 9.72 | 10.15 | -0.43 |
| 7 | 59.8 | 66.2 | 70.9 | 65.4 | 63.5 | 60.3 | 386.1 | 9.41 | 9.98 | -0.57 |
| 8 | 60 | 64.4 | 68.4 | 66.2 | 64 | 61.7 | 384.7 | 10.62 | 9.57 | 1.05 |
| 9 | 59.6 | 63.9 | 68 | 66 | 63.8 | 61.5 | 382.8 | 10.23 | 9.76 | 0.47 |
| 10 | 60.4 | 65.1 | 71.5 | 66.9 | 63.2 | 60 | 387.1 | 9.56 | 9.74 | -0.18 |
| 11 | 59.5 | 63.8 | 67.9 | 66.2 | 64.1 | 61.8 | 383.3 | 10.11 | 9.65 | 0.46 |
| 12 | 59 | 63.2 | 67.2 | 65.5 | 63.3 | 61 | 379.2 | 9.99 | 9.43 | 0.56 |
| 13 | 58.8 | 63 | 67 | 65.5 | 63.3 | 61 | 378.6 | 9.38 | 10.27 | -0.89 |
| 14 | 60.5 | 65.4 | 70.8 | 66.1 | 63.3 | 60.1 | 386.2 | 10.05 | 9.89 | 0.16 |
| 15 | 59.2 | 63.5 | 67.5 | 65.3 | 63.1 | 60.8 | 379.4 | 9.22 | 10.31 | -1.09 |
| 16 | 60 | 65.2 | 71.4 | 67 | 63.1 | 60 | 386.7 | 9.84 | 9.57 | 0.27 |
| 17 | 60.3 | 64.6 | 68.6 | 66.4 | 63.1 | 61.9 | 384.9 | 10.23 | 9.76 | 0.47 |
| 18 | 58.5 | 62.8 | 66.8 | 65 | 62.8 | 60.5 | 376.4 | 9.49 | 10.39 | -0.90 |
| 19 | 59.9 | 63.7 | 66.3 | 64.7 | 62 | 60.1 | 376.7 | 9.95 | 9.61 | 0.34 |
| 20 | 60.4 | 66.3 | 70.9 | 65.9 | 62.5 | 60.2 | 386.2 | 10.17 | 9.83 | 0.34 |
| 21 | 59.9 | 65.3 | 69.1 | 65.2 | 62.6 | 60.2 | 381.3 | 9.78 | 10.29 | -0.51 |
| 22 | 60.2 | 64.8 | 68.8 | 66.1 | 63 | 60 | 382.9 | 10.26 | 9.15 | 1.11 |
| 23 | 59.7 | 63.6 | 67.5 | 65.5 | 63.6 | 61.5 | 381.4 | 9.67 | 10.13 | -0.46 |
| 24 | 60.3 | 63.0 | 67.1 | 65.1 | 63.2 | 61.1 | 379.8 | 9.92 | 9.86 | 0.06 |
| 25 | 60.5 | 66 | 71.4 | 66.3 | 62.8 | 60.1 | 387.1 | 10.34 | 9.47 | 0.87 |
| 26 | 60.1 | 64 | 67.9 | 65.9 | 64 | 61.9 | 383.8 | 9.75 | 10.09 | -0.34 |
| 27 | 59.2 | 63.1 | 67 | 65 | 63.1 | 61 | 380.4 | 10.21 | 9.63 | 0.58 |
| 28 | 59.5 | 63.4 | 67.3 | 65.3 | 63.4 | 61.3 | 380.2 | 9.88 | 10.17 | -0.29 |
| 29 | 60.3 | 65.6 | 71.1 | 66.4 | 62.9 | 60.2 | 386.5 | 10.04 | 9.79 | 0.25 |
| 30 | 61.1 | 64.3 | 68.6 | 65.7 | 62.7 | 60.0 | 382.4 | 9.97 | 9.02 | 0.95 |
| 序号 | 香气质 | 香气量 | 浓度 | 杂气 | 劲头 | 刺激性 | 余味 | 总分 | 稳定性 |
|---|---|---|---|---|---|---|---|---|---|
| 1 | 6.71 | 6.67 | 6.47 | 6.67 | 6.33 | 6.67 | 6.63 | 46.15 | 0.00 |
| 2 | 6.73 | 6.67 | 6.5 | 6.63 | 6.33 | 6.57 | 6.5 | 45.93 | -0.22 |
| 3 | 6.56 | 6.51 | 6.51 | 6.32 | 6.32 | 6.2 | 6.46 | 44.88 | -1.27 |
| 4 | 6.67 | 6.67 | 6.5 | 6.71 | 6.33 | 6.67 | 6.53 | 46.08 | -0.07 |
| 5 | 6.53 | 6.67 | 6.47 | 6.43 | 6.33 | 6.37 | 6.27 | 45.07 | -1.08 |
| 6 | 6.67 | 6.51 | 6.5 | 6.71 | 6.33 | 6.5 | 6.47 | 45.69 | -0.46 |
| 7 | 6.5 | 6.53 | 6.43 | 6.39 | 6.33 | 6.33 | 6.5 | 45.01 | -1.14 |
| 8 | 6.57 | 6.5 | 6.5 | 6.33 | 6.33 | 6.21 | 6.47 | 44.91 | -1.24 |
| 9 | 6.73 | 6.71 | 6.43 | 6.73 | 6.33 | 6.63 | 6.67 | 46.23 | 0.08 |
| 10 | 6.5 | 6.5 | 6.5 | 6.43 | 6.33 | 6.33 | 6.43 | 45.02 | -1.13 |
| 11 | 6.72 | 6.65 | 6.45 | 6.65 | 6.32 | 6.55 | 6.55 | 45.89 | -0.26 |
| 12 | 6.65 | 6.55 | 6.45 | 6.6 | 6.32 | 6.45 | 6.48 | 45.5 | -0.65 |
| 13 | 6.7 | 6.5 | 6.47 | 6.6 | 6.33 | 6.5 | 6.6 | 45.7 | -0.45 |
| 14 | 6.54 | 6.54 | 6.44 | 6.41 | 6.33 | 6.33 | 6.5 | 45.09 | -1.06 |
| 15 | 6.41 | 6.33 | 6.5 | 6.29 | 6.33 | 6.41 | 6.37 | 44.64 | -1.51 |
| 16 | 6.5 | 6.5 | 6.45 | 6.41 | 6.33 | 6.35 | 6.25 | 44.79 | -1.36 |
| 17 | 6.73 | 6.65 | 6.45 | 6.65 | 6.33 | 6.58 | 6.55 | 45.94 | -0.21 |
| 18 | 6.59 | 6.52 | 6.52 | 6.35 | 6.33 | 6.22 | 6.48 | 45.01 | -1.14 |
| 19 | 6.68 | 6.6 | 6.45 | 6.65 | 6.33 | 6.6 | 6.55 | 45.86 | -0.29 |
| 20 | 6.5 | 6.43 | 6.5 | 6.33 | 6.33 | 6.33 | 6.37 | 44.79 | -1.36 |
| 21 | 6.68 | 6.62 | 6.45 | 6.62 | 6.33 | 6.55 | 6.55 | 45.8 | -0.35 |
| 22 | 6.33 | 6.41 | 6.5 | 6.5 | 6.33 | 6.33 | 6.5 | 44.9 | -1.25 |
| 23 | 6.73 | 6.67 | 6.45 | 6.67 | 6.33 | 6.57 | 6.63 | 46.05 | -0.10 |
| 24 | 6.71 | 6.62 | 6.43 | 6.62 | 6.33 | 6.5 | 6.55 | 45.76 | -0.39 |
| 25 | 6.43 | 6.37 | 6.47 | 6.5 | 6.33 | 6.29 | 6.5 | 44.89 | -1.26 |
| 26 | 6.68 | 6.65 | 6.45 | 6.65 | 6.33 | 6.55 | 6.53 | 45.84 | -0.31 |
| 27 | 6.71 | 6.63 | 6.43 | 6.63 | 6.33 | 6.58 | 6.6 | 45.91 | -0.24 |
| 28 | 6.67 | 6.55 | 6.45 | 6.6 | 6.33 | 6.45 | 6.5 | 45.55 | -0.60 |
| 29 | 6.33 | 6.43 | 6.5 | 6.5 | 6.33 | 6.41 | 6.33 | 44.83 | -1.32 |
| 30 | 6.52 | 6.64 | 6.44 | 6.41 | 6.33 | 6.35 | 6.25 | 44.94 | -1.21 |
| 序号 | 香气质 | 香气量 | 浓度 | 杂气 | 劲头 | 刺激性 | 余味 | 总分 | 稳定性 |
|---|---|---|---|---|---|---|---|---|---|
| 1 | 6.71 | 6.67 | 6.47 | 6.67 | 6.33 | 6.67 | 6.63 | 46.15 | 0.00 |
| 2 | 6.73 | 6.67 | 6.5 | 6.63 | 6.33 | 6.57 | 6.5 | 45.93 | -0.22 |
| 3 | 6.56 | 6.51 | 6.51 | 6.32 | 6.32 | 6.2 | 6.46 | 44.88 | -1.27 |
| 4 | 6.67 | 6.67 | 6.5 | 6.71 | 6.33 | 6.67 | 6.53 | 46.08 | -0.07 |
| 5 | 6.53 | 6.67 | 6.47 | 6.43 | 6.33 | 6.37 | 6.27 | 45.07 | -1.08 |
| 6 | 6.67 | 6.51 | 6.5 | 6.71 | 6.33 | 6.5 | 6.47 | 45.69 | -0.46 |
| 7 | 6.5 | 6.53 | 6.43 | 6.39 | 6.33 | 6.33 | 6.5 | 45.01 | -1.14 |
| 8 | 6.57 | 6.5 | 6.5 | 6.33 | 6.33 | 6.21 | 6.47 | 44.91 | -1.24 |
| 9 | 6.73 | 6.71 | 6.43 | 6.73 | 6.33 | 6.63 | 6.67 | 46.23 | 0.08 |
| 10 | 6.5 | 6.5 | 6.5 | 6.43 | 6.33 | 6.33 | 6.43 | 45.02 | -1.13 |
| 11 | 6.72 | 6.65 | 6.45 | 6.65 | 6.32 | 6.55 | 6.55 | 45.89 | -0.26 |
| 12 | 6.65 | 6.55 | 6.45 | 6.6 | 6.32 | 6.45 | 6.48 | 45.5 | -0.65 |
| 13 | 6.7 | 6.5 | 6.47 | 6.6 | 6.33 | 6.5 | 6.6 | 45.7 | -0.45 |
| 14 | 6.54 | 6.54 | 6.44 | 6.41 | 6.33 | 6.33 | 6.5 | 45.09 | -1.06 |
| 15 | 6.41 | 6.33 | 6.5 | 6.29 | 6.33 | 6.41 | 6.37 | 44.64 | -1.51 |
| 16 | 6.5 | 6.5 | 6.45 | 6.41 | 6.33 | 6.35 | 6.25 | 44.79 | -1.36 |
| 17 | 6.73 | 6.65 | 6.45 | 6.65 | 6.33 | 6.58 | 6.55 | 45.94 | -0.21 |
| 18 | 6.59 | 6.52 | 6.52 | 6.35 | 6.33 | 6.22 | 6.48 | 45.01 | -1.14 |
| 19 | 6.68 | 6.6 | 6.45 | 6.65 | 6.33 | 6.6 | 6.55 | 45.86 | -0.29 |
| 20 | 6.5 | 6.43 | 6.5 | 6.33 | 6.33 | 6.33 | 6.37 | 44.79 | -1.36 |
| 21 | 6.68 | 6.62 | 6.45 | 6.62 | 6.33 | 6.55 | 6.55 | 45.8 | -0.35 |
| 22 | 6.33 | 6.41 | 6.5 | 6.5 | 6.33 | 6.33 | 6.5 | 44.9 | -1.25 |
| 23 | 6.73 | 6.67 | 6.45 | 6.67 | 6.33 | 6.57 | 6.63 | 46.05 | -0.10 |
| 24 | 6.71 | 6.62 | 6.43 | 6.62 | 6.33 | 6.5 | 6.55 | 45.76 | -0.39 |
| 25 | 6.43 | 6.37 | 6.47 | 6.5 | 6.33 | 6.29 | 6.5 | 44.89 | -1.26 |
| 26 | 6.68 | 6.65 | 6.45 | 6.65 | 6.33 | 6.55 | 6.53 | 45.84 | -0.31 |
| 27 | 6.71 | 6.63 | 6.43 | 6.63 | 6.33 | 6.58 | 6.6 | 45.91 | -0.24 |
| 28 | 6.67 | 6.55 | 6.45 | 6.6 | 6.33 | 6.45 | 6.5 | 45.55 | -0.60 |
| 29 | 6.33 | 6.43 | 6.5 | 6.5 | 6.33 | 6.41 | 6.33 | 44.83 | -1.32 |
| 30 | 6.52 | 6.64 | 6.44 | 6.41 | 6.33 | 6.35 | 6.25 | 44.94 | -1.21 |
| 序号 | 来料水分/% | 环境温度/℃ | 环境湿度/% | 干燥区温度/℃ | 总温度/℃ | |||||
|---|---|---|---|---|---|---|---|---|---|---|
| 一区 | 二区 | 三区 | 四区 | 五区 | 六区 | |||||
| 1 | 15.12 | 22 | 46 | 60.5 | 64.3 | 67.8 | 64.8 | 62 | 60.1 | 379.5 |
| 2 | 17.13 | 25 | 49 | 60.1 | 64.5 | 69.1 | 66.2 | 63.2 | 60.2 | 383.3 |
| 3 | 15.71 | 25 | 49 | 60.8 | 64.6 | 68.9 | 66.1 | 63.3 | 60.3 | 384 |
| 4 | 17.38 | 29 | 40 | 61.1 | 64.5 | 68.6 | 65.6 | 62.9 | 60.3 | 383 |
| 5 | 16.00 | 30 | 45 | 60.6 | 64.1 | 68.6 | 65.9 | 62.9 | 60.1 | 382.2 |
| 序号 | 来料水分/% | 环境温度/℃ | 环境湿度/% | 干燥区温度/℃ | 总温度/℃ | |||||
|---|---|---|---|---|---|---|---|---|---|---|
| 一区 | 二区 | 三区 | 四区 | 五区 | 六区 | |||||
| 1 | 15.12 | 22 | 46 | 60.5 | 64.3 | 67.8 | 64.8 | 62 | 60.1 | 379.5 |
| 2 | 17.13 | 25 | 49 | 60.1 | 64.5 | 69.1 | 66.2 | 63.2 | 60.2 | 383.3 |
| 3 | 15.71 | 25 | 49 | 60.8 | 64.6 | 68.9 | 66.1 | 63.3 | 60.3 | 384 |
| 4 | 17.38 | 29 | 40 | 61.1 | 64.5 | 68.6 | 65.6 | 62.9 | 60.3 | 383 |
| 5 | 16.00 | 30 | 45 | 60.6 | 64.1 | 68.6 | 65.9 | 62.9 | 60.1 | 382.2 |
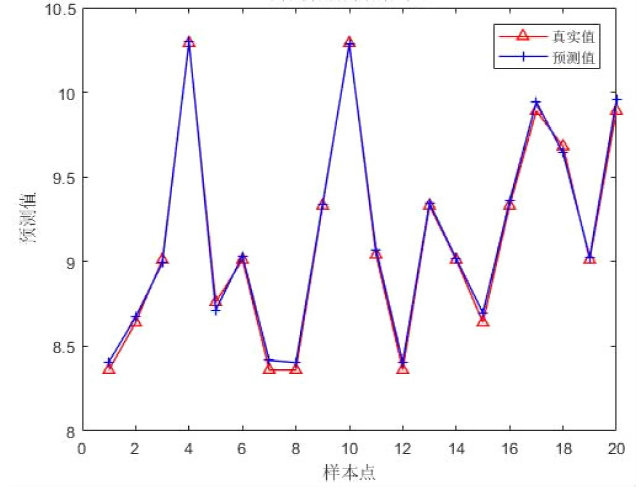
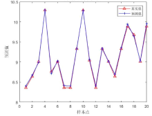
| 序号 | 冷房水分/% | 感官质量 | |||||
|---|---|---|---|---|---|---|---|
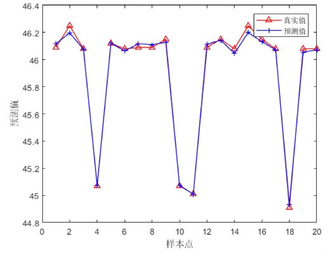
| 实际检测值 | 预测值 | 偏差 | 人工评吸结果 | 预测值 | 偏差 | ||
| 1 | 9.01 | 8.99 | 0.02 | 46.07 | 46.09 | 0.02 | |
| 2 | 8.76 | 8.77 | -0.01 | 46.10 | 46.11 | 0.01 | |
| 3 | 8.64 | 8.63 | -0.01 | 46.25 | 46.26 | 0.01 | |
| 4 | 8.81 | 8.81 | 0 | 46.09 | 46.09 | 0 | |
| 5 | 8.36 | 8.36 | 0 | 46.11 | 46.10 | -0.01 | |
| 序号 | 冷房水分/% | 感官质量 | |||||
|---|---|---|---|---|---|---|---|
| 实际检测值 | 预测值 | 偏差 | 人工评吸结果 | 预测值 | 偏差 | ||
| 1 | 9.01 | 8.99 | 0.02 | 46.07 | 46.09 | 0.02 | |
| 2 | 8.76 | 8.77 | -0.01 | 46.10 | 46.11 | 0.01 | |
| 3 | 8.64 | 8.63 | -0.01 | 46.25 | 46.26 | 0.01 | |
| 4 | 8.81 | 8.81 | 0 | 46.09 | 46.09 | 0 | |
| 5 | 8.36 | 8.36 | 0 | 46.11 | 46.10 | -0.01 | |
| [1] |
黄长庚, 王清旺, 胡宗玉. 灰色关联度分析法在打叶复烤数据分析中的应用[J]. 安徽农学通报, 2019, 25(14):34-37.
|
| [2] |
孔祥, 杨波. 不同形状打叶框栏对叶片结构的影响[J]. 安徽农业科学, 2018, 46(23):175-176.
|
| [3] |
王发勇. 全程实现打叶复烤均质化加工的研究进展[J]. 安徽农业科学, 2018, 46(12):11-13.
|
| [4] |
浦同慧, 付涛. 打叶复烤均质化技术要点[J]. 农业工程技术, 2016, 36(29):65-66.
|
| [5] |
田忠, 王宏伟, 王孝峰. 卷烟纸性能对常规卷烟和细支卷烟综合特性的影响[J]. 中国造纸, 2018, 37(12):30-35.
|
| [6] |
朱毓航, 黄文勇, 尚关兰, 等. 打叶复烤烟碱均匀性控制工艺过程质量评价方法研究与应用[J]. 科技创新导报, 2018, 15(23):82-84.
|
| [7] |
杨家琪, 何晓健, 潘志玲, 等. 打叶复烤均质化加工核心指标控制的研究进展[J]. 农产品加工, 2022(6):88-91.
|
| [8] |
宋智勇, 帅鸣, 刘华友, 等. 打叶复烤平库均质化加工方法研究与应用[J]. 安徽农业科学, 2021, 49(3):196-198.
|
| [9] |
孔祥, 杨波, 王苏红, 等. 不同润叶和复烤强度对上部烟叶质量的影响[J]. 安徽农学通报, 2024, 30(7):104-109.
|
| [10] |
王发勇, 可文庚, 张春磊, 等. 不同加工强度对复烤烟叶质量影响的研究进展[J]. 江西农业学报, 2017, 29(11):98-101.
|
| [11] |
王发勇, 牛绍辉, 蔡尤东, 等. 均质与保香加工技术的烟叶复烤机控制模式筛选[J]. 贵州农业科学, 2019, 47(4):125-130.
|
| [12] |
朱毓航, 毛林伟, 杨博, 等. 打叶复烤参数管理模式研究及实践[J]. 价值工程, 2024, 43(12):49-53.
|
| [13] |
周季蓉, 李润婷. 浅谈打叶复烤过程中复烤工序对片烟综合品质的影响[J]. 科技与创新, 2022(10):82-84.
|
| [14] |
朱锋, 孙炯, 孙纪周, 等. 复烤干燥方式对叶片复烤的影响[J]. 河北农机, 2019(10):43-44.
|
| [15] |
李善莲, 陈良元, 李华杰, 等. 复烤方式对烟片加工质量的影响[J]. 烟草科技, 2012(10):5-8.
|
| [16] |
卢幼祥, 丁乃红, 张胜军, 等. 不同叶片复烤方式对烤烟烟叶品质的影响[J]. 湖南文理学院学报(自然科学版), 2012(1):87-92.
|
| [17] |
李超, 关罗浩, 袁文彬. 低温慢烤对烟叶品质的影响研究[J]. 安徽农业科学, 2021(7):180-183.
|
| [18] |
朱波, 岳先领, 张金林, 等. 复烤温度对烤烟烟叶风格特征指标及感官质量的影响[J]. 安徽农业科学, 2023, 51(19):168-173.
|
| [19] |
包秀萍, 王超, 刘煜宇, 等. 打叶复烤不同工艺强度对烟叶自然醇化品质的影响[J]. 西南农业学报, 2022, 35(3):647-654.
|
| [20] |
王子冲, 汤云海, 何靖, 等. 不同复烤方式对复烤片烟质量的影响[J]. 安徽农业科学, 2024, 52(23):180-183.
|
| [21] |
王浩, 陈婷, 陈兴侯, 等. 基于改进SSA-BP神经网络的复烤水分和温度预测[J]. 农业与技术, 2022, 42(6):18-25.
|
| [22] |
王浩, 陈婷, 常杰, 等. 基于回归正交设计的烤片机温度参数优化[J]. 农业装备与车辆工程, 2022, 60(12):87-91.
|
| [23] |
皋元崚, 王征, 李毅, 等. 基于神经网络的烟叶复烤回潮过程预测控制模型构建[J]. 现代农业与科技, 2024(8):170-174.
|
| [24] |
周永长, 黄亚宇. 基于BP神经网络建立二次润叶工艺参数的预测模型[J]. 电子科技, 2022, 35(9):79-86.
|
| [25] |
王艳胜, 贾星蓓, 肖尚力. 神经网络在烟草打叶机组频率预报中的应用[J]. 自动化技术与应用, 2021, 40(9):142-145.
|
| [26] |
关欣, 娄元菲, 温亚东. 八大香型烤烟典型产地中部烟叶适宜复烤干燥温度研究[J]. 中国烟草学报, 2023(1):11-22.
|
| [1] | 赵国珍, 刘慰华, 刘似玉, 董林波, 李林东, 陈于敏. 优质食味粳稻新品种‘云粳37号’的稳定性分析[J]. 中国农学通报, 2025, 41(5): 1-6. |
| [2] | 刘峰峰, 毕庆文, 张国超, 何结望, 孙福山, 代英鹏. 带茎采烤上部烟叶品质的关键影响指标分析[J]. 中国农学通报, 2025, 41(4): 126-133. |
| [3] | 叶田会, 杨雪, 姜超强, 杨建春, 闫芳芳, 杨兴有, 祖朝龙, 阎轶峰. 攀枝花不同海拔烟区烟叶质量比较[J]. 中国农学通报, 2025, 41(4): 144-148. |
| [4] | 郭镒维, 张永颖, 高子航, 范春梅. 矿山开采迹地土壤团聚体稳定性及分形特征研究[J]. 中国农学通报, 2025, 41(29): 38-45. |
| [5] | 孙毅, 王腾, 傅云洁, 鲍奎, 王金贵. 改良剂对柴达木盆地盐碱土有机碳组分和团聚体稳定性的影响研究[J]. 中国农学通报, 2025, 41(21): 131-138. |
| [6] | 耿少武, 丁以纾, 扶艳艳, 布云虹, 柴云霞, 王跃金, 王文伦, 汪华国, 胡杨, 张盛瑜, 鲁耀. 楚雄‘K326’烟叶钾、氯含量及钾氯比稳定性与区划的研究[J]. 中国农学通报, 2025, 41(19): 20-29. |
| [7] | 李艳兰, 李成春, 蒋欣彤, 张娜, 胡新洲, 高玉玺, 刘坚坚, 罗斌, 李祥, 方晓东, 杨进成. 鲜食蚕豆新品种丰产性和稳定性分析[J]. 中国农学通报, 2025, 41(18): 40-46. |
| [8] | 郭文龙, 王会青, 丁松爽, 邢卓冉, 刘峰, 邓呈, 唐杰, 时向东, 丁建冰. 光照强度对遮荫栽培茄衣烟叶的影响研究进展[J]. 中国农学通报, 2025, 41(10): 38-44. |
| [9] | 周潇, 徐峥嵘, 陆欣, 杨刚, 董军忠, 王玥, 王冰冰, 李田, 刘妍. 基于响应曲面法优化云产雪茄烟叶发酵工艺[J]. 中国农学通报, 2025, 41(1): 141-147. |
| [10] | 姚金保, 杨学明, 张鹏, 范祥云, 余桂红, 何漪, 王化敦. 弱筋小麦新品种‘宁麦36’的产量及品质性状分析[J]. 中国农学通报, 2024, 40(9): 20-24. |
| [11] | 郭宇豪, 刘绍波, 葛菁萍, 平文祥. 放线菌4-1的鉴定及其发酵液抑菌作用和稳定性探究[J]. 中国农学通报, 2024, 40(9): 117-123. |
| [12] | 马娜, 任宇翔. 基于多特征的BP神经网络多种植物叶片病害识别研究[J]. 中国农学通报, 2024, 40(4): 158-164. |
| [13] | 李廷宇, 申毅, 童俊飞, 路顺凤, 李琴, 郭颂, 杨卫君. 施用生物炭并减少灌水量对麦田土壤团聚结构及冬小麦产量的影响[J]. 中国农学通报, 2024, 40(36): 110-116. |
| [14] | 姜波, 李辉, 刘秩汝, 敖翔, 秋萍, 王晓丽, 于晓刚, 汤存山. 马铃薯新品种淀粉产量的表现及其稳定性分析[J]. 中国农学通报, 2024, 40(36): 24-30. |
| [15] | 毛雪, 殷博, 张欣, 刘煜, 辛丽欣, 孔祥辉, 王佳龙. 破壁灵芝孢子粉多糖抗氧化活性及稳定性研究[J]. 中国农学通报, 2024, 40(35): 130-137. |
| 阅读次数 | ||||||
|
全文 |
|
|||||
|
摘要 |
|
|||||