中国农学通报 ›› 2026, Vol. 42 ›› Issue (1): 56-69.doi: 10.11924/j.issn.1000-6850.casb2025-0315
祁烁锟1,2(
), 张祎洋1, 马玉1, 刘浩琳1, 石俊聪1, 吴龙国1(
)
收稿日期:2025-04-21
修回日期:2025-11-20
出版日期:2026-01-15
发布日期:2026-01-15
通讯作者:
作者简介:祁烁锟,女,2004年出生,河北石家庄人,本科在读,研究方向:蔬菜学逆境研究。E-mail:qisk1369@163.com。
基金资助:
QI Shuokun1,2(
), ZHANG Yiyang1, MA Yu1, LIU Haolin1, SHI Juncong1, WU Longguo1(
)
Received:2025-04-21
Revised:2025-11-20
Published:2026-01-15
Online:2026-01-15
摘要:
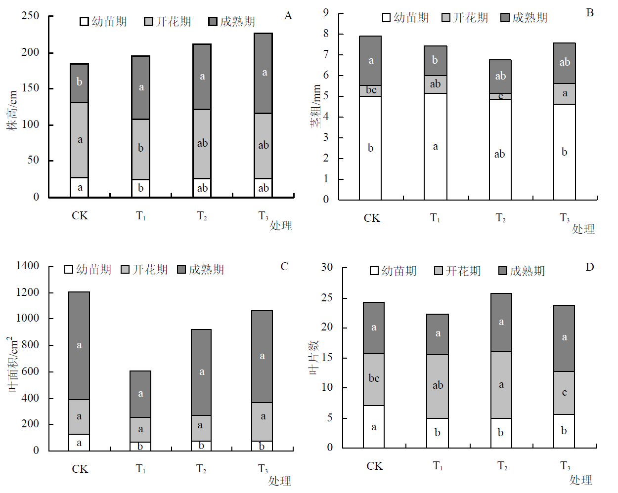
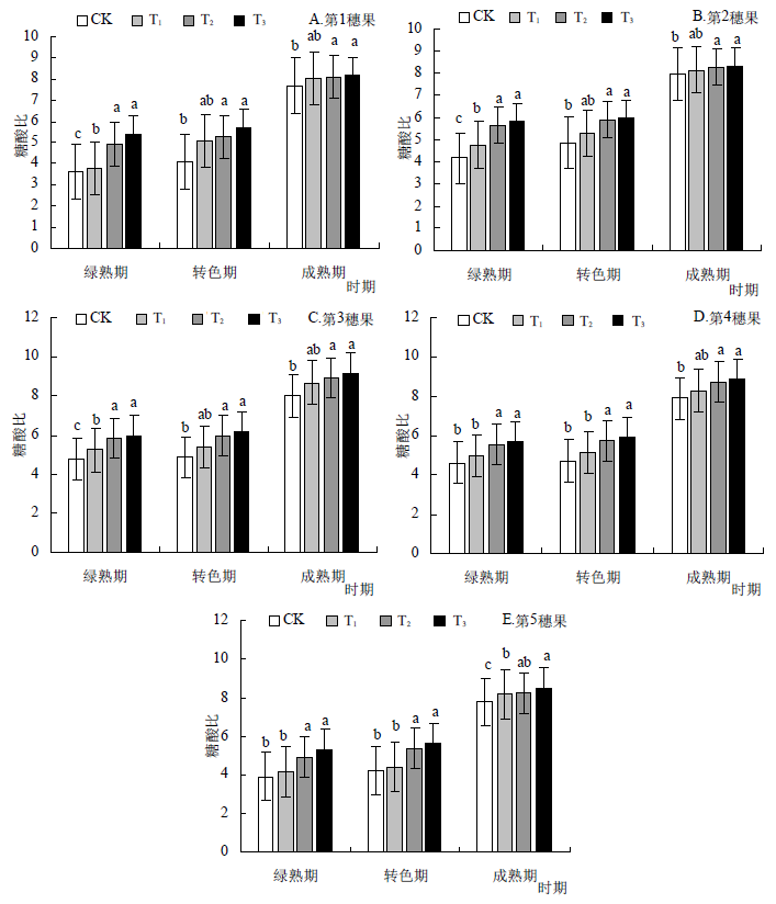
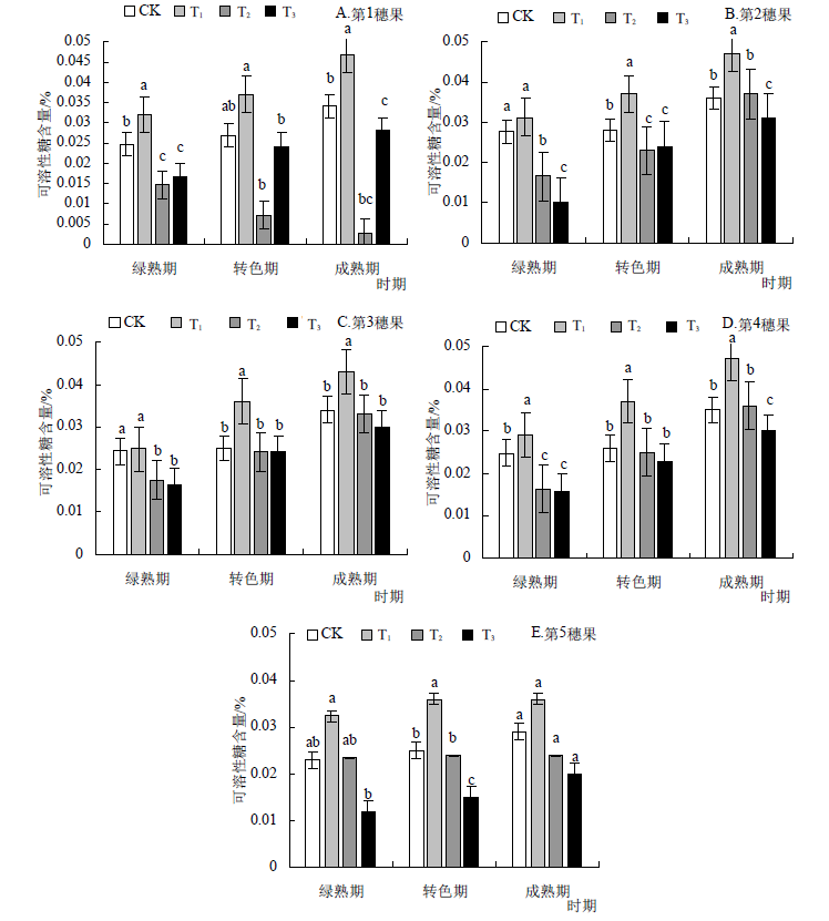
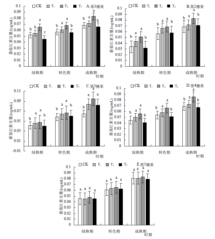
为探明微咸水灌溉浓度对西北干旱区番茄植株生长及果实品质的调控效应,以‘香妃三号’樱桃番茄为材料,设置0 g/L(CK)、1 g/L(T1)、2 g/L(T2)、3 g/L(T3) NaCl微咸水灌溉梯度,系统分析不同处理对番茄株高、茎粗等生长指标及果实可溶性糖、番茄红素、有机酸、糖酸比等品质指标的影响,并通过主成分分析进行综合评价。结果表明,适度微咸水灌溉可显著促进番茄生长,成熟期T1~T3处理株高均高于CK;T1处理对可溶性糖积累的促进效应最显著,成熟期第1~5穗果可溶性糖含量较CK分别提升38.24%、30.56%、26.47%、34.29%、24.14%;T2处理可显著提高番茄红素含量,成熟期第1~5穗果番茄红素含量较CK均显著增加(P<0.05),增幅为20.29%~29.31%;T3处理果实糖酸比最高,显著优化风味品质;绿熟期时,T1处理利于有机酸积累,前4穗果的苹果酸、柠檬酸、酒石酸、乳酸及草酸含量均高于CK,且第1、2、4穗果有机酸含量为所有处理中最高。主成分分析评价显示,绿熟期高浓度微咸水灌溉的果实品质指标排名更靠前,转色期和成熟期则以适宜浓度微咸水(T1~T2)处理的品质指标表现最佳。研究明确了不同品质指标的最优微咸水灌溉浓度,可为西北淡水资源匮乏地区樱桃番茄微咸水安全灌溉提供理论依据。
祁烁锟, 张祎洋, 马玉, 刘浩琳, 石俊聪, 吴龙国. 微咸水对樱桃番茄生长与品质的影响[J]. 中国农学通报, 2026, 42(1): 56-69.
QI Shuokun, ZHANG Yiyang, MA Yu, LIU Haolin, SHI Juncong, WU Longguo. Effect of Brackish Water on Growth and Quality of Cherry Tomatoes[J]. Chinese Agricultural Science Bulletin, 2026, 42(1): 56-69.
| 处理 | KNO3 | NH4H2PO4 | MgSO4·7H2O | Ca(NO3)2·4H2O | NaCl |
|---|---|---|---|---|---|
| CK | 0.4045 | 0.0765 | 0.2465 | 0.4723 | 0 |
| T1 | 0.4045 | 0.0765 | 0.2465 | 0.4723 | 1 |
| T2 | 0.4045 | 0.0765 | 0.2465 | 0.4723 | 2 |
| T3 | 0.4045 | 0.0765 | 0.2465 | 0.4723 | 3 |
| 处理 | KNO3 | NH4H2PO4 | MgSO4·7H2O | Ca(NO3)2·4H2O | NaCl |
|---|---|---|---|---|---|
| CK | 0.4045 | 0.0765 | 0.2465 | 0.4723 | 0 |
| T1 | 0.4045 | 0.0765 | 0.2465 | 0.4723 | 1 |
| T2 | 0.4045 | 0.0765 | 0.2465 | 0.4723 | 2 |
| T3 | 0.4045 | 0.0765 | 0.2465 | 0.4723 | 3 |
| 穗数 | 指标 | CK | T1 | T2 | T3 |
|---|---|---|---|---|---|
| 第1穗果 | 果形指数 | 1.11±0.13a | 1.09±0.06a | 1.06±0.03a | 1.11±0.07a |
| 单果重/g | 9.62±1.66b | 12.40±0.99ab | 10.99±0.65ab | 12.99±1.63a | |
| 硬度/N | 10.71±0.12c | 12.73±0.97b | 14.1±0.83ab | 14.77±0.46a | |
| 第2穗果 | 果形指数 | 1.16±0.16a | 1.04±0.05a | 1.07±0.04a | 1.09±0.04a |
| 单果重/g | 9.97±1.38a | 12.23±1.10a | 11.03±0.82a | 12.7±1.51a | |
| 硬度/N | 14.57±0.21a | 15.37±0.33a | 15.62±7.40a | 15.63±0.42a | |
| 第3穗果 | 果形指数 | 1.16±0.16a | 1.08±0.06a | 1.05±0.03a | 1.08±0.05a |
| 单果重/g | 10.40±2.16a | 12.6±1.10a | 11.57±0.95a | 13.67±1.60a | |
| 硬度/N | 10.90±0.08c | 14.13±0.33a | 14.4±0.22a | 13.47±0.37b | |
| 第4穗果 | 果形指数 | 1.08±0.06a | 1.06±0.02a | 1.02±0.07a | 0.99±0.02a |
| 单果重/g | 12.87±2.03a | 13.73±0.66a | 14.33±2.41a | 17.63±2.21a | |
| 硬度/N | 12.40±0.50c | 15.63±0.21a | 15.3±0.29ab | 14.7±0.22b | |
| 第5穗果 | 果形指数 | 0.98±0.10a | 1.09±0.10a | 1.07±0.01a | 1.01±0.05a |
| 单果重/g | 14.20±2.42ab | 10.6±1.12b | 13.57±1.11ab | 15.9±1.80a | |
| 硬度/N | 10.97±0.78c | 12.63±0.26b | 13.97±0.33a | 13.03±0.12ab |
| 穗数 | 指标 | CK | T1 | T2 | T3 |
|---|---|---|---|---|---|
| 第1穗果 | 果形指数 | 1.11±0.13a | 1.09±0.06a | 1.06±0.03a | 1.11±0.07a |
| 单果重/g | 9.62±1.66b | 12.40±0.99ab | 10.99±0.65ab | 12.99±1.63a | |
| 硬度/N | 10.71±0.12c | 12.73±0.97b | 14.1±0.83ab | 14.77±0.46a | |
| 第2穗果 | 果形指数 | 1.16±0.16a | 1.04±0.05a | 1.07±0.04a | 1.09±0.04a |
| 单果重/g | 9.97±1.38a | 12.23±1.10a | 11.03±0.82a | 12.7±1.51a | |
| 硬度/N | 14.57±0.21a | 15.37±0.33a | 15.62±7.40a | 15.63±0.42a | |
| 第3穗果 | 果形指数 | 1.16±0.16a | 1.08±0.06a | 1.05±0.03a | 1.08±0.05a |
| 单果重/g | 10.40±2.16a | 12.6±1.10a | 11.57±0.95a | 13.67±1.60a | |
| 硬度/N | 10.90±0.08c | 14.13±0.33a | 14.4±0.22a | 13.47±0.37b | |
| 第4穗果 | 果形指数 | 1.08±0.06a | 1.06±0.02a | 1.02±0.07a | 0.99±0.02a |
| 单果重/g | 12.87±2.03a | 13.73±0.66a | 14.33±2.41a | 17.63±2.21a | |
| 硬度/N | 12.40±0.50c | 15.63±0.21a | 15.3±0.29ab | 14.7±0.22b | |
| 第5穗果 | 果形指数 | 0.98±0.10a | 1.09±0.10a | 1.07±0.01a | 1.01±0.05a |
| 单果重/g | 14.20±2.42ab | 10.6±1.12b | 13.57±1.11ab | 15.9±1.80a | |
| 硬度/N | 10.97±0.78c | 12.63±0.26b | 13.97±0.33a | 13.03±0.12ab |
| 穗数 | 指标 | CK | T1 | T2 | T3 |
|---|---|---|---|---|---|
| 第1穗果 | 果形指数 | 1.01±0.05a | 1.06±0.07a | 1.09±0.06a | 1.09±0.02a |
| 单果重/g | 10.83±2.30a | 12.24±2.06a | 12.92±1.38a | 10.70±0.41a | |
| 硬度/N | 4.60±0.29c | 6.27±0.25a | 5.60±0.22b | 4.90±0.08c | |
| 第2穗果 | 果形指数 | 0.98±0.10a | 1.08±0.09a | 1.08±0.07a | 1.09±0.03a |
| 单果重/g | 11.37±2.93a | 12.80±2.15a | 13.24±1.61a | 11.40±0.48a | |
| 硬度/N | 4.57±0.21b | 5.53±0.39a | 5.50±0.08a | 5.00±0.08b | |
| 第3穗果 | 果形指数 | 1.00±0.06a | 1.08±0.08a | 1.08±0.04a | 1.08±0.03a |
| 单果重/g | 12.33±2.72a | 13.40±1.96a | 14.00±1.35a | 12.30±0.36a | |
| 硬度/N | 5.20±0.08ab | 5.83±0.62a | 5.67±0.12ab | 5.23±0.45b | |
| 第4穗果 | 果形指数 | 1.04±0.05a | 1.00±0.01a | 1.00±0.05a | 1.03±0.04a |
| 单果重/g | 16.27±0.61a | 14.87±2.10a | 14.30±0.42a | 16.87±0.61a | |
| 硬度/N | 5.13±0.45a | 5.67±0.12a | 5.47±0.12a | 5.70±0.08a | |
| 第5穗果 | 果形指数 | 1.01±0.02ab | 1.08±0.04a | 1.01±0.05ab | 0.98±0.05b |
| 单果重/g | 13.73±0.33a | 14.13±0.71a | 15.5±0.75a | 17.27±2.74a | |
| 硬度/N | 5.67±0.33a | 5.07±0.33a | 5.03±0.26a | 5.70±0.14a |
| 穗数 | 指标 | CK | T1 | T2 | T3 |
|---|---|---|---|---|---|
| 第1穗果 | 果形指数 | 1.01±0.05a | 1.06±0.07a | 1.09±0.06a | 1.09±0.02a |
| 单果重/g | 10.83±2.30a | 12.24±2.06a | 12.92±1.38a | 10.70±0.41a | |
| 硬度/N | 4.60±0.29c | 6.27±0.25a | 5.60±0.22b | 4.90±0.08c | |
| 第2穗果 | 果形指数 | 0.98±0.10a | 1.08±0.09a | 1.08±0.07a | 1.09±0.03a |
| 单果重/g | 11.37±2.93a | 12.80±2.15a | 13.24±1.61a | 11.40±0.48a | |
| 硬度/N | 4.57±0.21b | 5.53±0.39a | 5.50±0.08a | 5.00±0.08b | |
| 第3穗果 | 果形指数 | 1.00±0.06a | 1.08±0.08a | 1.08±0.04a | 1.08±0.03a |
| 单果重/g | 12.33±2.72a | 13.40±1.96a | 14.00±1.35a | 12.30±0.36a | |
| 硬度/N | 5.20±0.08ab | 5.83±0.62a | 5.67±0.12ab | 5.23±0.45b | |
| 第4穗果 | 果形指数 | 1.04±0.05a | 1.00±0.01a | 1.00±0.05a | 1.03±0.04a |
| 单果重/g | 16.27±0.61a | 14.87±2.10a | 14.30±0.42a | 16.87±0.61a | |
| 硬度/N | 5.13±0.45a | 5.67±0.12a | 5.47±0.12a | 5.70±0.08a | |
| 第5穗果 | 果形指数 | 1.01±0.02ab | 1.08±0.04a | 1.01±0.05ab | 0.98±0.05b |
| 单果重/g | 13.73±0.33a | 14.13±0.71a | 15.5±0.75a | 17.27±2.74a | |
| 硬度/N | 5.67±0.33a | 5.07±0.33a | 5.03±0.26a | 5.70±0.14a |
| 穗数 | 指标 | CK | T1 | T2 | T3 |
|---|---|---|---|---|---|
| 第1穗果 | 果形指数 | 0.98±0.06b | 1.01±0.01ab | 1.08±0.04a | 1.02±0.04ab |
| 单果重/g | 12.79±1.54a | 13.35±1.31a | 15.68±1.63a | 14.83±0.73a | |
| 硬度/N | 3.60±0.08a | 3.60±0.22a | 3.40±0.37a | 3.53±0.21a | |
| 第2穗果 | 果形指数 | 1.05±0.05a | 1.05±0.03a | 1.09±0.01a | 1.06±0.03a |
| 单果重/g | 13.74±1.13a | 14.28±1.28a | 16.11±1.58a | 15.40±1.17a | |
| 硬度/N | 3.83±0.05a | 4.07±0.17a | 4.10±0.22a | 3.40±0.08b | |
| 第3穗果 | 果形指数 | 1.03±0.05a | 1.03±0.01a | 1.06±0.01a | 1.05±0.02a |
| 单果重/g | 14.60±0.99a | 14.87±1.10a | 16.50±1.71a | 15.87±1.25a | |
| 硬度/N | 3.17±0.13a | 3.13±0.09a | 3.50±0.41a | 3.30±0.08a | |
| 第4穗果 | 果形指数 | 1.04±0.02a | 1.09±0.06a | 1.13±0.05a | 1.05±0.03a |
| 单果重/g | 15.20±0.94b | 12.63±2.00b | 13.20±1.50b | 19.57±1.93a | |
| 硬度/N | 3.97±0.09a | 4.00±0.08a | 4.00±0.08a | 3.93±0.12a | |
| 第5穗果 | 果形指数 | 1.05±0.03a | 1.07±0.05a | 1.06±0.06a | 1.05±0.04a |
| 单果重/g | 19.30±0.91a | 16.40±1.43a | 21.90±4.60a | 22.80±4.73a | |
| 硬度/N | 3.17±0.12a | 3.13±0.09a | 3.17±0.12a | 3.17±0.12a |
| 穗数 | 指标 | CK | T1 | T2 | T3 |
|---|---|---|---|---|---|
| 第1穗果 | 果形指数 | 0.98±0.06b | 1.01±0.01ab | 1.08±0.04a | 1.02±0.04ab |
| 单果重/g | 12.79±1.54a | 13.35±1.31a | 15.68±1.63a | 14.83±0.73a | |
| 硬度/N | 3.60±0.08a | 3.60±0.22a | 3.40±0.37a | 3.53±0.21a | |
| 第2穗果 | 果形指数 | 1.05±0.05a | 1.05±0.03a | 1.09±0.01a | 1.06±0.03a |
| 单果重/g | 13.74±1.13a | 14.28±1.28a | 16.11±1.58a | 15.40±1.17a | |
| 硬度/N | 3.83±0.05a | 4.07±0.17a | 4.10±0.22a | 3.40±0.08b | |
| 第3穗果 | 果形指数 | 1.03±0.05a | 1.03±0.01a | 1.06±0.01a | 1.05±0.02a |
| 单果重/g | 14.60±0.99a | 14.87±1.10a | 16.50±1.71a | 15.87±1.25a | |
| 硬度/N | 3.17±0.13a | 3.13±0.09a | 3.50±0.41a | 3.30±0.08a | |
| 第4穗果 | 果形指数 | 1.04±0.02a | 1.09±0.06a | 1.13±0.05a | 1.05±0.03a |
| 单果重/g | 15.20±0.94b | 12.63±2.00b | 13.20±1.50b | 19.57±1.93a | |
| 硬度/N | 3.97±0.09a | 4.00±0.08a | 4.00±0.08a | 3.93±0.12a | |
| 第5穗果 | 果形指数 | 1.05±0.03a | 1.07±0.05a | 1.06±0.06a | 1.05±0.04a |
| 单果重/g | 19.30±0.91a | 16.40±1.43a | 21.90±4.60a | 22.80±4.73a | |
| 硬度/N | 3.17±0.12a | 3.13±0.09a | 3.17±0.12a | 3.17±0.12a |
| 穗数 | 指标 | CK | T1 | T2 | T3 |
|---|---|---|---|---|---|
| 第1穗果 | 苹果酸 | 0.21±0.02b | 0.29±0.02a | 0.24±0.01b | 0.22±0.02b |
| 柠檬酸 | 0.21±0.02b | 0.27±0.01a | 0.21±0.01b | 0.22±0.02b | |
| 酒石酸 | 0.23±0.02b | 0.32±0.02a | 0.25±0.02b | 0.25±0.01b | |
| 乳酸 | 0.28±0.01b | 0.38±0.02a | 0.30±0.02b | 0.30±0.01b | |
| 草酸 | 0.14±0.020b | 0.19±0.01a | 0.15±0.01b | 0.15±0.02b | |
| 第2穗果 | 苹果酸 | 0.24±0.01b | 0.28±0.02a | 0.21±0.02c | 0.26±0.01ab |
| 柠檬酸 | 0.24±0.01ab | 0.26±0.01a | 0.23±0.03b | 0.25±0.01ab | |
| 酒石酸 | 0.27±0.01bc | 0.31±0.02a | 0.24±0.02c | 0.29±0.01ab | |
| 乳酸 | 0.33±0.012bc | 0.39±0.03a | 0.30±0.02c | 0.36±0.01ab | |
| 草酸 | 0.16±0.01ab | 0.18±0.02a | 0.14±0.02b | 0.17±0.01ab | |
| 第3穗果 | 苹果酸 | 0.29±0.01a | 0.29±0.02a | 0.32±0.03a | 0.25±0.01b |
| 柠檬酸 | 0.27±0.02b | 0.26±0.01bc | 0.31±0.01a | 0.25±0.01c | |
| 酒石酸 | 0.32±0.01b | 0.32±0.02b | 0.36±0.03a | 0.28±0.01c | |
| 乳酸 | 0.40±0.02ab | 0.40±0.03ab | 0.45±0.04a | 0.35±0.01b | |
| 草酸 | 0.19±0.02ab | 0.19±0.01ab | 0.21±0.028a | 0.16±0.01b | |
| 第4穗果 | 苹果酸 | 0.30±0.01a | 0.32±0.02a | 0.31±0.02a | 0.30±0.02a |
| 柠檬酸 | 0.3±0.01ab | 0.32±0.03a | 0.29±0.01ab | 0.27±0.02b | |
| 酒石酸 | 0.34±0.01a | 0.36±0.02a | 0.35±0.02a | 0.34±0.02a | |
| 乳酸 | 0.42±0.02a | 0.44±0.03a | 0.44±0.04a | 0.42±0.04a | |
| 草酸 | 0.20±0.01a | 0.21±0.02a | 0.20±0.02a | 0.20±0.02a | |
| 第5穗果 | 苹果酸 | 0.65±0.02a | 0.61±0.02b | 0.54±0.02c | 0.57±0.02bc |
| 柠檬酸 | 0.62±0.03a | 0.56±0.02b | 0.53±0.01b | 0.54±0.02b | |
| 酒石酸 | 0.73±0.02a | 0.68±0.02b | 0.61±0.02c | 0.64±0.02bc | |
| 乳酸 | 0.91±0.04a | 0.84±0.03ab | 0.75±0.03c | 0.80±0.04bc | |
| 草酸 | 0.42±0.04a | 0.40±0.03ab | 0.35±0.02b | 0.37±0.03ab |
| 穗数 | 指标 | CK | T1 | T2 | T3 |
|---|---|---|---|---|---|
| 第1穗果 | 苹果酸 | 0.21±0.02b | 0.29±0.02a | 0.24±0.01b | 0.22±0.02b |
| 柠檬酸 | 0.21±0.02b | 0.27±0.01a | 0.21±0.01b | 0.22±0.02b | |
| 酒石酸 | 0.23±0.02b | 0.32±0.02a | 0.25±0.02b | 0.25±0.01b | |
| 乳酸 | 0.28±0.01b | 0.38±0.02a | 0.30±0.02b | 0.30±0.01b | |
| 草酸 | 0.14±0.020b | 0.19±0.01a | 0.15±0.01b | 0.15±0.02b | |
| 第2穗果 | 苹果酸 | 0.24±0.01b | 0.28±0.02a | 0.21±0.02c | 0.26±0.01ab |
| 柠檬酸 | 0.24±0.01ab | 0.26±0.01a | 0.23±0.03b | 0.25±0.01ab | |
| 酒石酸 | 0.27±0.01bc | 0.31±0.02a | 0.24±0.02c | 0.29±0.01ab | |
| 乳酸 | 0.33±0.012bc | 0.39±0.03a | 0.30±0.02c | 0.36±0.01ab | |
| 草酸 | 0.16±0.01ab | 0.18±0.02a | 0.14±0.02b | 0.17±0.01ab | |
| 第3穗果 | 苹果酸 | 0.29±0.01a | 0.29±0.02a | 0.32±0.03a | 0.25±0.01b |
| 柠檬酸 | 0.27±0.02b | 0.26±0.01bc | 0.31±0.01a | 0.25±0.01c | |
| 酒石酸 | 0.32±0.01b | 0.32±0.02b | 0.36±0.03a | 0.28±0.01c | |
| 乳酸 | 0.40±0.02ab | 0.40±0.03ab | 0.45±0.04a | 0.35±0.01b | |
| 草酸 | 0.19±0.02ab | 0.19±0.01ab | 0.21±0.028a | 0.16±0.01b | |
| 第4穗果 | 苹果酸 | 0.30±0.01a | 0.32±0.02a | 0.31±0.02a | 0.30±0.02a |
| 柠檬酸 | 0.3±0.01ab | 0.32±0.03a | 0.29±0.01ab | 0.27±0.02b | |
| 酒石酸 | 0.34±0.01a | 0.36±0.02a | 0.35±0.02a | 0.34±0.02a | |
| 乳酸 | 0.42±0.02a | 0.44±0.03a | 0.44±0.04a | 0.42±0.04a | |
| 草酸 | 0.20±0.01a | 0.21±0.02a | 0.20±0.02a | 0.20±0.02a | |
| 第5穗果 | 苹果酸 | 0.65±0.02a | 0.61±0.02b | 0.54±0.02c | 0.57±0.02bc |
| 柠檬酸 | 0.62±0.03a | 0.56±0.02b | 0.53±0.01b | 0.54±0.02b | |
| 酒石酸 | 0.73±0.02a | 0.68±0.02b | 0.61±0.02c | 0.64±0.02bc | |
| 乳酸 | 0.91±0.04a | 0.84±0.03ab | 0.75±0.03c | 0.80±0.04bc | |
| 草酸 | 0.42±0.04a | 0.40±0.03ab | 0.35±0.02b | 0.37±0.03ab |
| 穗数 | 指标 | CK | T1 | T2 | T3 |
|---|---|---|---|---|---|
| 第1穗果 | 苹果酸 | 0.47±0.03c | 0.50±0.02c | 0.76±0.03a | 0.66±0.02b |
| 柠檬酸 | 0.47±0.01c | 0.48±0.02c | 0.74±0.01a | 0.63±0.01b | |
| 酒石酸 | 0.55±0.01c | 0.56±0.02c | 0.85±0.01a | 0.74±0.03b | |
| 乳酸 | 0.66±0.01c | 0.67±0.02c | 1.02±0.01a | 0.89±0.01b | |
| 草酸 | 0.33±0.03c | 0.34±0.01c | 0.51±0.01a | 0.44±0.01b | |
| 第2穗果 | 苹果酸 | 0.53±0.03b | 0.55±0.02b | 0.56±0.03b | 0.73±0.02a |
| 柠檬酸 | 0.51±0.02b | 0.54±0.02b | 0.54±0.03b | 0.68±0.02a | |
| 酒石酸 | 0.59±0.03b | 0.62±0.02b | 0.63±0.03b | 0.82±0.02a | |
| 乳酸 | 0.74±0.05b | 0.77±0.04b | 0.79±0.05b | 1.02±0.05a | |
| 草酸 | 0.34±0.04b | 0.36±0.03b | 0.37±0.04b | 0.48±0.03a | |
| 第3穗果 | 苹果酸 | 0.63±0.02b | 0.47±0.02d | 0.51±0.01c | 0.75±0.02a |
| 柠檬酸 | 0.60±0.01b | 0.45±0.02d | 0.50±0.01c | 0.71±0.01a | |
| 酒石酸 | 0.70±0.02b | 0.53±0.02d | 0.57±0.01c | 0.84±0.02a | |
| 乳酸 | 0.88±0.04b | 0.66±0.03c | 0.71±0.03c | 1.05±0.05a | |
| 草酸 | 0.41±0.02b | 0.31±0.03c | 0.33±0.03c | 0.49±0.02ab | |
| 第4穗果 | 苹果酸 | 0.53±0.01b | 0.54±0.02b | 0.57±0.04b | 0.67±0.02a |
| 柠檬酸 | 0.52±0.02b | 0.51±0.02b | 0.54±0.02b | 0.65±0.02a | |
| 酒石酸 | 0.59±0.01b | 0.61±0.02b | 0.64±0.04b | 0.75±0.02a | |
| 乳酸 | 0.74±0.03b | 0.75±0.03b | 0.79±0.05b | 0.94±0.04a | |
| 草酸 | 0.34±0.03b | 0.35±0.03b | 0.37±0.04ab | 0.44±0.04a | |
| 第5穗果 | 苹果酸 | 0.34±0.04d | 0.56±0.03b | 0.47±0.02c | 0.62±0.02a |
| 柠檬酸 | 0.34±0.02c | 0.54±0.02a | 0.45±0.02b | 0.57±0.02a | |
| 酒石酸 | 0.41±0.02d | 0.63±0.03b | 0.53±0.02c | 0.70±0.02a | |
| 乳酸 | 0.51±0.03d | 0.78±0.05b | 0.66±0.03c | 0.87±0.05a | |
| 草酸 | 0.24±0.02c | 0.36±0.04ab | 0.31±0.03b | 0.40±0.03a |
| 穗数 | 指标 | CK | T1 | T2 | T3 |
|---|---|---|---|---|---|
| 第1穗果 | 苹果酸 | 0.47±0.03c | 0.50±0.02c | 0.76±0.03a | 0.66±0.02b |
| 柠檬酸 | 0.47±0.01c | 0.48±0.02c | 0.74±0.01a | 0.63±0.01b | |
| 酒石酸 | 0.55±0.01c | 0.56±0.02c | 0.85±0.01a | 0.74±0.03b | |
| 乳酸 | 0.66±0.01c | 0.67±0.02c | 1.02±0.01a | 0.89±0.01b | |
| 草酸 | 0.33±0.03c | 0.34±0.01c | 0.51±0.01a | 0.44±0.01b | |
| 第2穗果 | 苹果酸 | 0.53±0.03b | 0.55±0.02b | 0.56±0.03b | 0.73±0.02a |
| 柠檬酸 | 0.51±0.02b | 0.54±0.02b | 0.54±0.03b | 0.68±0.02a | |
| 酒石酸 | 0.59±0.03b | 0.62±0.02b | 0.63±0.03b | 0.82±0.02a | |
| 乳酸 | 0.74±0.05b | 0.77±0.04b | 0.79±0.05b | 1.02±0.05a | |
| 草酸 | 0.34±0.04b | 0.36±0.03b | 0.37±0.04b | 0.48±0.03a | |
| 第3穗果 | 苹果酸 | 0.63±0.02b | 0.47±0.02d | 0.51±0.01c | 0.75±0.02a |
| 柠檬酸 | 0.60±0.01b | 0.45±0.02d | 0.50±0.01c | 0.71±0.01a | |
| 酒石酸 | 0.70±0.02b | 0.53±0.02d | 0.57±0.01c | 0.84±0.02a | |
| 乳酸 | 0.88±0.04b | 0.66±0.03c | 0.71±0.03c | 1.05±0.05a | |
| 草酸 | 0.41±0.02b | 0.31±0.03c | 0.33±0.03c | 0.49±0.02ab | |
| 第4穗果 | 苹果酸 | 0.53±0.01b | 0.54±0.02b | 0.57±0.04b | 0.67±0.02a |
| 柠檬酸 | 0.52±0.02b | 0.51±0.02b | 0.54±0.02b | 0.65±0.02a | |
| 酒石酸 | 0.59±0.01b | 0.61±0.02b | 0.64±0.04b | 0.75±0.02a | |
| 乳酸 | 0.74±0.03b | 0.75±0.03b | 0.79±0.05b | 0.94±0.04a | |
| 草酸 | 0.34±0.03b | 0.35±0.03b | 0.37±0.04ab | 0.44±0.04a | |
| 第5穗果 | 苹果酸 | 0.34±0.04d | 0.56±0.03b | 0.47±0.02c | 0.62±0.02a |
| 柠檬酸 | 0.34±0.02c | 0.54±0.02a | 0.45±0.02b | 0.57±0.02a | |
| 酒石酸 | 0.41±0.02d | 0.63±0.03b | 0.53±0.02c | 0.70±0.02a | |
| 乳酸 | 0.51±0.03d | 0.78±0.05b | 0.66±0.03c | 0.87±0.05a | |
| 草酸 | 0.24±0.02c | 0.36±0.04ab | 0.31±0.03b | 0.40±0.03a |
| 穗数 | 指标 | CK | T1 | T2 | T3 |
|---|---|---|---|---|---|
| 第1穗果 | 苹果酸 | 0.42±0.01c | 0.42±0.01c | 0.52±0.01b | 0.58±0.06a |
| 柠檬酸 | 0.41±0.01c | 0.40±0.03c | 0.48±0.03b | 0.57±0.04a | |
| 酒石酸 | 0.47±0.01c | 0.47±0.01c | 0.57±0.01b | 0.69±0.03a | |
| 乳酸 | 0.56±0.01c | 0.56±0.01c | 0.68±0.02b | 0.83±0.02a | |
| 草酸 | 0.28±0.01c | 0.28±0.02c | 0.34±0.01b | 0.41±0.01a | |
| 第2穗果 | 苹果酸 | 0.42±0.01b | 0.44±0.02ab | 0.46±0.03a | 0.43±0.02b |
| 柠檬酸 | 0.37±0.02b | 0.44±0.02a | 0.44±0.02a | 0.39±0.01b | |
| 酒石酸 | 0.47±0.01b | 0.49±0.02ab | 0.52±0.03a | 0.48±0.02b | |
| 乳酸 | 0.59±0.03b | 0.61±0.03ab | 0.64±0.05a | 0.60±0.03b | |
| 草酸 | 0.27±0.01b | 0.29±0.03ab | 0.30±0.04a | 0.28±0.03b | |
| 第3穗果 | 苹果酸 | 0.48±0.01b | 0.43±0.02c | 0.51±0.02a | 0.54±0.02a |
| 柠檬酸 | 0.46±0.02bc | 0.43±0.03c | 0.49±0.03ab | 0.51±0.01a | |
| 酒石酸 | 0.54±0.01b | 0.48±0.02c | 0.57±0.02ab | 0.60±0.02a | |
| 乳酸 | 0.67±0.02b | 0.60±0.03c | 0.71±0.03ab | 0.75±0.04a | |
| 草酸 | 0.31±0.02ab | 0.28±0.03b | 0.33±0.03a | 0.35±0.03a | |
| 第4穗果 | 苹果酸 | 0.44±0.01a | 0.46±0.01a | 0.46±0.02a | 0.38±0.02b |
| 柠檬酸 | 0.44±0.02a | 0.44±0.02a | 0.46±0.02a | 0.38±0.02b | |
| 酒石酸 | 0.49±0.02a | 0.51±0.01a | 0.51±0.01a | 0.43±0.02b | |
| 乳酸 | 0.62±0.02a | 0.64±0.03a | 0.64±0.03a | 0.54±0.03b | |
| 草酸 | 0.29±0.03a | 0.30±0.02a | 0.30±0.02ab | 0.25±0.01b | |
| 第5穗果 | 苹果酸 | 0.38±0.04c | 0.50±0.03b | 0.46±0.03b | 0.69±0.01a |
| 柠檬酸 | 0.37±0.01d | 0.48±0.02b | 0.44±0.02c | 0.65±0.02a | |
| 酒石酸 | 0.43±0.04c | 0.56±0.03b | 0.51±0.03b | 0.77±0.01a | |
| 乳酸 | 0.54±0.05c | 0.70±0.04b | 0.64±0.05b | 0.96±0.03a | |
| 草酸 | 0.25±0.04c | 0.33±0.03b | 0.30±0.04bc | 0.45±0.02a |
| 穗数 | 指标 | CK | T1 | T2 | T3 |
|---|---|---|---|---|---|
| 第1穗果 | 苹果酸 | 0.42±0.01c | 0.42±0.01c | 0.52±0.01b | 0.58±0.06a |
| 柠檬酸 | 0.41±0.01c | 0.40±0.03c | 0.48±0.03b | 0.57±0.04a | |
| 酒石酸 | 0.47±0.01c | 0.47±0.01c | 0.57±0.01b | 0.69±0.03a | |
| 乳酸 | 0.56±0.01c | 0.56±0.01c | 0.68±0.02b | 0.83±0.02a | |
| 草酸 | 0.28±0.01c | 0.28±0.02c | 0.34±0.01b | 0.41±0.01a | |
| 第2穗果 | 苹果酸 | 0.42±0.01b | 0.44±0.02ab | 0.46±0.03a | 0.43±0.02b |
| 柠檬酸 | 0.37±0.02b | 0.44±0.02a | 0.44±0.02a | 0.39±0.01b | |
| 酒石酸 | 0.47±0.01b | 0.49±0.02ab | 0.52±0.03a | 0.48±0.02b | |
| 乳酸 | 0.59±0.03b | 0.61±0.03ab | 0.64±0.05a | 0.60±0.03b | |
| 草酸 | 0.27±0.01b | 0.29±0.03ab | 0.30±0.04a | 0.28±0.03b | |
| 第3穗果 | 苹果酸 | 0.48±0.01b | 0.43±0.02c | 0.51±0.02a | 0.54±0.02a |
| 柠檬酸 | 0.46±0.02bc | 0.43±0.03c | 0.49±0.03ab | 0.51±0.01a | |
| 酒石酸 | 0.54±0.01b | 0.48±0.02c | 0.57±0.02ab | 0.60±0.02a | |
| 乳酸 | 0.67±0.02b | 0.60±0.03c | 0.71±0.03ab | 0.75±0.04a | |
| 草酸 | 0.31±0.02ab | 0.28±0.03b | 0.33±0.03a | 0.35±0.03a | |
| 第4穗果 | 苹果酸 | 0.44±0.01a | 0.46±0.01a | 0.46±0.02a | 0.38±0.02b |
| 柠檬酸 | 0.44±0.02a | 0.44±0.02a | 0.46±0.02a | 0.38±0.02b | |
| 酒石酸 | 0.49±0.02a | 0.51±0.01a | 0.51±0.01a | 0.43±0.02b | |
| 乳酸 | 0.62±0.02a | 0.64±0.03a | 0.64±0.03a | 0.54±0.03b | |
| 草酸 | 0.29±0.03a | 0.30±0.02a | 0.30±0.02ab | 0.25±0.01b | |
| 第5穗果 | 苹果酸 | 0.38±0.04c | 0.50±0.03b | 0.46±0.03b | 0.69±0.01a |
| 柠檬酸 | 0.37±0.01d | 0.48±0.02b | 0.44±0.02c | 0.65±0.02a | |
| 酒石酸 | 0.43±0.04c | 0.56±0.03b | 0.51±0.03b | 0.77±0.01a | |
| 乳酸 | 0.54±0.05c | 0.70±0.04b | 0.64±0.05b | 0.96±0.03a | |
| 草酸 | 0.25±0.04c | 0.33±0.03b | 0.30±0.04bc | 0.45±0.02a |
| 指标 | 主成分1 | 主成分2 |
|---|---|---|
| X1 | -0.713 | 0.603 |
| X2 | 0.604 | -0.746 |
| X3 | 0.266 | -0.679 |
| X4 | 0.372 | 0.150 |
| X5 | 0.925 | 0.368 |
| X6 | 0.923 | 0.370 |
| X7 | 0.922 | 0.372 |
| X8 | 0.923 | 0.369 |
| X9 | 0.543 | -0.663 |
| 特征值 | 4.788 | 2.390 |
| 方差贡献率/% | 53.197 | 26.556 |
| 累计方差贡献率/% | 53.197 | 79.753 |
| 指标 | 主成分1 | 主成分2 |
|---|---|---|
| X1 | -0.713 | 0.603 |
| X2 | 0.604 | -0.746 |
| X3 | 0.266 | -0.679 |
| X4 | 0.372 | 0.150 |
| X5 | 0.925 | 0.368 |
| X6 | 0.923 | 0.370 |
| X7 | 0.922 | 0.372 |
| X8 | 0.923 | 0.369 |
| X9 | 0.543 | -0.663 |
| 特征值 | 4.788 | 2.390 |
| 方差贡献率/% | 53.197 | 26.556 |
| 累计方差贡献率/% | 53.197 | 79.753 |
| 处理 | 主成分1 | 主成分2 | 综合得分 | 排序 | 处理 | 主成分1 | 主成分2 | 综合得分 | 排序 | 处理 | 主成分1 | 主成分2 | 综合得分 | 排序 |
|---|---|---|---|---|---|---|---|---|---|---|---|---|---|---|
| 1 | -3.67 | -0.56 | -2.1 | 59 | 21 | 0.74 | -0.53 | 0.25 | 29 | 41 | 0.78 | -2.28 | -0.19 | 38 |
| 2 | -2.87 | 0.66 | -1.35 | 48 | 22 | 0.55 | -0.08 | 0.27 | 27 | 42 | 0.32 | -1.34 | -0.19 | 39 |
| 3 | -3.19 | -0.01 | -1.7 | 56 | 23 | 3.32 | 2.20 | 2.35 | 2 | 43 | 1.70 | -1.20 | 0.59 | 17 |
| 4 | -3.74 | 0.18 | -1.94 | 57 | 24 | 2.01 | 1.89 | 1.57 | 6 | 44 | 2.57 | -0.21 | 1.31 | 9 |
| 5 | -3.44 | 0.64 | -1.66 | 55 | 25 | 0.96 | -0.42 | 0.40 | 24 | 45 | 0.62 | -2.64 | -0.37 | 42 |
| 6 | -2.90 | 0.27 | -1.47 | 52 | 26 | 1.48 | 0.15 | 0.83 | 16 | 46 | 0.47 | -1.93 | -0.26 | 41 |
| 7 | -4.05 | 0.46 | -2.03 | 58 | 27 | 1.51 | 0.63 | 0.97 | 13 | 47 | 1.43 | -1.85 | 0.27 | 28 |
| 8 | -3.56 | 1.93 | -1.38 | 50 | 28 | 3.06 | 2.16 | 2.20 | 3 | 48 | 0.61 | -1.63 | -0.11 | 36 |
| 9 | -3.22 | 1.28 | -1.37 | 49 | 29 | 2.32 | 0.36 | 1.33 | 8 | 49 | 0.92 | -1.52 | 0.08 | 34 |
| 10 | -2.94 | 0.46 | -1.44 | 51 | 30 | 0.46 | -0.09 | 0.22 | 31 | 50 | 1.05 | -1.54 | 0.15 | 33 |
| 11 | -2.42 | 1.08 | -1 | 44 | 31 | 0.56 | 0.15 | 0.34 | 25 | 51 | 1.81 | -1.76 | 0.49 | 21 |
| 12 | -3.17 | 0.72 | -1.49 | 53 | 32 | 3.51 | 2.21 | 2.46 | 1 | 52 | 1.59 | -1.37 | 0.48 | 22 |
| 13 | -2.45 | 0.68 | -1.12 | 45 | 33 | 0.93 | 0.14 | 0.53 | 18 | 53 | 1.42 | -1.93 | 0.24 | 30 |
| 14 | -2.73 | 0.88 | -1.22 | 47 | 34 | 0.88 | 0.21 | 0.52 | 19 | 54 | 0.86 | -1.04 | 0.18 | 32 |
| 15 | -2.48 | 0.50 | -1.19 | 46 | 35 | 1.67 | 0.64 | 1.06 | 11 | 55 | -3.65 | -5.05 | -3.28 | 60 |
| 16 | -3.37 | 1.08 | -1.5 | 54 | 36 | 2.25 | 2.09 | 1.75 | 5 | 56 | 0.49 | -1.65 | -0.18 | 37 |
| 17 | 1.03 | 3.18 | 1.39 | 7 | 37 | -1.03 | -0.64 | -0.72 | 43 | 57 | 0.92 | -1.53 | 0.08 | 35 |
| 18 | 0.76 | 2.19 | 0.99 | 12 | 38 | 1.55 | 0.06 | 0.84 | 15 | 58 | 1.74 | -1.60 | 0.50 | 20 |
| 19 | -0.29 | 2.27 | 0.45 | 23 | 39 | 0.50 | 0.09 | 0.29 | 26 | 59 | 0.43 | -1.58 | -0.19 | 40 |
| 20 | 0.21 | 2.88 | 0.88 | 14 | 40 | 1.43 | 1.31 | 1.11 | 10 | 60 | 3.73 | 0.36 | 2.08 | 4 |
| 处理 | 主成分1 | 主成分2 | 综合得分 | 排序 | 处理 | 主成分1 | 主成分2 | 综合得分 | 排序 | 处理 | 主成分1 | 主成分2 | 综合得分 | 排序 |
|---|---|---|---|---|---|---|---|---|---|---|---|---|---|---|
| 1 | -3.67 | -0.56 | -2.1 | 59 | 21 | 0.74 | -0.53 | 0.25 | 29 | 41 | 0.78 | -2.28 | -0.19 | 38 |
| 2 | -2.87 | 0.66 | -1.35 | 48 | 22 | 0.55 | -0.08 | 0.27 | 27 | 42 | 0.32 | -1.34 | -0.19 | 39 |
| 3 | -3.19 | -0.01 | -1.7 | 56 | 23 | 3.32 | 2.20 | 2.35 | 2 | 43 | 1.70 | -1.20 | 0.59 | 17 |
| 4 | -3.74 | 0.18 | -1.94 | 57 | 24 | 2.01 | 1.89 | 1.57 | 6 | 44 | 2.57 | -0.21 | 1.31 | 9 |
| 5 | -3.44 | 0.64 | -1.66 | 55 | 25 | 0.96 | -0.42 | 0.40 | 24 | 45 | 0.62 | -2.64 | -0.37 | 42 |
| 6 | -2.90 | 0.27 | -1.47 | 52 | 26 | 1.48 | 0.15 | 0.83 | 16 | 46 | 0.47 | -1.93 | -0.26 | 41 |
| 7 | -4.05 | 0.46 | -2.03 | 58 | 27 | 1.51 | 0.63 | 0.97 | 13 | 47 | 1.43 | -1.85 | 0.27 | 28 |
| 8 | -3.56 | 1.93 | -1.38 | 50 | 28 | 3.06 | 2.16 | 2.20 | 3 | 48 | 0.61 | -1.63 | -0.11 | 36 |
| 9 | -3.22 | 1.28 | -1.37 | 49 | 29 | 2.32 | 0.36 | 1.33 | 8 | 49 | 0.92 | -1.52 | 0.08 | 34 |
| 10 | -2.94 | 0.46 | -1.44 | 51 | 30 | 0.46 | -0.09 | 0.22 | 31 | 50 | 1.05 | -1.54 | 0.15 | 33 |
| 11 | -2.42 | 1.08 | -1 | 44 | 31 | 0.56 | 0.15 | 0.34 | 25 | 51 | 1.81 | -1.76 | 0.49 | 21 |
| 12 | -3.17 | 0.72 | -1.49 | 53 | 32 | 3.51 | 2.21 | 2.46 | 1 | 52 | 1.59 | -1.37 | 0.48 | 22 |
| 13 | -2.45 | 0.68 | -1.12 | 45 | 33 | 0.93 | 0.14 | 0.53 | 18 | 53 | 1.42 | -1.93 | 0.24 | 30 |
| 14 | -2.73 | 0.88 | -1.22 | 47 | 34 | 0.88 | 0.21 | 0.52 | 19 | 54 | 0.86 | -1.04 | 0.18 | 32 |
| 15 | -2.48 | 0.50 | -1.19 | 46 | 35 | 1.67 | 0.64 | 1.06 | 11 | 55 | -3.65 | -5.05 | -3.28 | 60 |
| 16 | -3.37 | 1.08 | -1.5 | 54 | 36 | 2.25 | 2.09 | 1.75 | 5 | 56 | 0.49 | -1.65 | -0.18 | 37 |
| 17 | 1.03 | 3.18 | 1.39 | 7 | 37 | -1.03 | -0.64 | -0.72 | 43 | 57 | 0.92 | -1.53 | 0.08 | 35 |
| 18 | 0.76 | 2.19 | 0.99 | 12 | 38 | 1.55 | 0.06 | 0.84 | 15 | 58 | 1.74 | -1.60 | 0.50 | 20 |
| 19 | -0.29 | 2.27 | 0.45 | 23 | 39 | 0.50 | 0.09 | 0.29 | 26 | 59 | 0.43 | -1.58 | -0.19 | 40 |
| 20 | 0.21 | 2.88 | 0.88 | 14 | 40 | 1.43 | 1.31 | 1.11 | 10 | 60 | 3.73 | 0.36 | 2.08 | 4 |
| [1] |
马中昇, 谭军利, 魏童. 中国微咸水利用的地区和作物适用性研究进展[J]. 灌溉排水学报, 2019, 38(3):70-75.
|
| [2] |
doi: 10.1016/j.agwat.2007.10.007 URL |
| [3] |
陈军, 关欣, 范翠枝, 等. 盐胁迫对番茄种子萌发中多胺形态变化和抗氧化的影响[J]. 土壤学报, 2021, 58(6):1598-1609.
|
| [4] |
蒋丽媛, 赵伟, 杨圆圆, 等. 微咸水灌溉对蔬菜产量及土壤盐分离子的影响[J]. 灌溉排水学报, 2022, 41(S2):17-21.
|
| [5] |
马嘉莹, 王兴鹏, 王洪博, 等. 咸水灌溉对土壤盐分分布及设施番茄生理特性的影响[J]. 灌溉排水学报, 2023, 42(1):64-71.
|
| [6] |
丁富功, 卢奕霏, 康珍, 等. 混合盐碱胁迫对油菜种子萌发和幼苗生长的影响[J]. 长江大学学报(自然科学版), 2020, 17(3):73-80.
|
| [7] |
苟淇书. 不同矿化度灌溉水对土壤理化性质及冬小麦生长的影响[D]. 泰安: 山东农业大学, 2022.
|
| [8] |
郑剑超, 王雷. 微咸水灌溉模式对番茄生长和产量的影响[J]. 黑龙江农业科学, 2022(1):53-55.
|
| [9] |
龚一丹. 水盐协同调控对番茄增产提质的影响[D]. 昆明: 昆明理工大学, 2022.
|
| [10] |
申佳丽. 微咸水灌溉下设施黄瓜土壤—灌溉制度协同调控机制研究[D]. 银川: 宁夏大学, 2023.
|
| [11] |
毕言鹏. 咸水沟灌对土壤理化性质和棉花产量的影响[D]. 泰安: 山东农业大学, 2023.
|
| [12] |
王同林, 叶红霞, 郑积荣, 等. 番茄果实中主要风味物质研究进展[J]. 浙江农业学报, 2020, 32(8):1513-1522.
doi: 10.3969/j.issn.1004-1524.2020.08.22 |
| [13] |
李金刚, 王少丽, 何平如, 等. 河套灌区番茄微咸水灌溉定额探讨[J]. 水土保持研究, 2020, 27(4):327-335.
|
| [14] |
吴雯婷. 冬瓜果实可溶性固形物含量主效调控基因的精细定位[D]. 南宁: 广西大学, 2023.
|
| [15] |
张国新, 姚玉涛, 丁守鹏, 等. 微咸水滴灌对滨海区基质栽培番茄生长及品质的影响[J]. 安徽农业科学, 2021, 49(16):200-202.
|
| [16] |
武育芳, 杨官凯, 曹行行, 等. 不同基质下咸、淡水灌溉对番茄生长和品质的影响[J]. 干旱地区农业研究, 2021, 39(5):153-159.
|
| [17] |
贺文君. 微咸水灌溉对滨海盐碱土水盐分布和金银花生长的影响[D]. 烟台: 中国科学院烟台海岸带研究所, 2022.
|
| [18] |
徐进, 赵鹤, 任爽, 等. 盐胁迫对番茄生长和果实品质的影响[J]. 蔬菜, 2020(8):20-23.
|
| [19] |
龙振东. 非均匀盐胁迫对番茄生长、产量及品质的影响[D]. 昆明: 昆明理工大学, 2021.
|
| [20] |
李文龙, 林晨雪, 张娟. 不同颜色地膜对设施番茄生长发育和果实品质的影响[J]. 北方园艺, 2024(15):40-45.
|
| [21] |
刘婵娟, 叶放, 徐顺安, 等. 蚯蚓粪肥配施对设施番茄生长、氮素利用和土壤肥力的影响[J]. 浙江大学学报(农业与生命科学版), 2025, 51(3):437-448.
|
| [22] |
王晓艳, 高艳明, 李建设, 等. 分根区交替滴灌对樱桃番茄品质、产量及水分利用效率的影响[J]. 西南农业学报, 2021, 34(11):2457-2464.
|
| [23] |
|
| [24] |
鲁少尉, 齐飞, 李天来. 盐胁迫对番茄果实糖含量及蔗糖代谢的影响[J]. 中国蔬菜, 2012(20):56-61.
|
| [25] |
张玉林, 杜艺, 柴旭田, 等. 不同生育时期油莎豆饲草离子特性和根系养分对不同种植模式的响应[J]. 作物杂志, 2024(1):104-110.
|
| [26] |
黄文, 郭竞, 李自娟, 等. 定植密度和留果穗数对春大棚番茄生长及产量和品质的影响[J]. 北方园艺, 2018(22):79-82.
|
| [27] |
姚玉涛, 张国新, 孙叶烁, 等. 微咸水灌溉对设施番茄生长以及产量和品质的影响[J]. 河北农业科学, 2021, 25(1):48-53.
|
| [28] |
张芙蓉, 高艳明, 李建设, 等. 不同浓度微咸水与分根区交替灌溉上下限对设施番茄生长与品质的影响[J]. 西南农业学报, 2023, 36(7):1465-1474.
|
| [29] |
吴蕴玉, 金星, 徐元, 等. 秸秆覆盖条件下微咸水灌溉对番茄生长和产量品质的影响[J]. 节水灌溉, 2015(7):21-24.
|
| [30] |
孙叶烁, 张国新, 丁守鹏, 等. 盐胁迫对樱桃番茄风味品质的影响[J]. 核农学报, 2022, 36(4):838-844.
doi: 10.11869/j.issn.100-8551.2022.04.0838 |
| [31] |
李宣志, 张金珠, 王振华, 等. 氮盐调控对膜下滴灌加工番茄光合特性及产量的影响[J]. 华中农业大学学报, 2023, 42(5):186-194.
|
| [32] |
王蓉, 田园, 杨柳, 等. 番茄果实不同发育时期有机酸组分及含量分析[J]. 中国蔬菜, 2017(10):58-62.
|
| [1] | 张冬敏, 黄婉莉, 陈心怡, 张朝坤, 肖世伟. 毛叶枣-大豆间作模式对毛叶枣土壤养分及果实品质的影响[J]. 中国农学通报, 2026, 42(1): 153-158. |
| [2] | 王春峰, 程嘉宝, 熊清, 秦飞, 张峰. 生草对库尔勒香梨园微域温湿度及果实品质的影响[J]. 中国农学通报, 2026, 42(1): 167-175. |
| [3] | 徐寸发, 孙以文, 王宁, 汪佳蕾, 杨晨晔, 陈厉洋, 单成俊. 不同品种小果型西瓜品质分析与综合评价[J]. 中国农学通报, 2026, 42(1): 70-76. |
| [4] | 周春艳, 陶宁, 樊梅娜, 王丽荣. 喷施微生物菌剂对果实着色及品质的影响[J]. 中国农学通报, 2026, 42(1): 77-83. |
| [5] | 黄蓉, 汤玲, 王卫成, 常强, 李宽莹, 贺欢, 潘艳花. 芍药叶形态性状和叶绿素荧光对干旱胁迫的响应及抗旱性评价[J]. 中国农学通报, 2026, 42(1): 92-102. |
| [6] | 王成, 李国瑞, 狄建军, 罗蕊, 李明静, 黄凤兰. 蓖麻菌酶生物肥对樱桃番茄生长、产量及品质的影响[J]. 中国农学通报, 2025, 41(8): 69-75. |
| [7] | 唐忠建, 张金枝, 王晓梅, 徐文杰, 付雅洁, 赵明艳, 吴如意, 樊雯娟, 张杰. 花穗修整长度对‘夏黑’葡萄果实品质的影响[J]. 中国农学通报, 2025, 41(7): 34-39. |
| [8] | 董建梅, 胡江, 李晶, 刘红明, 付小猛, 赖新朴, 杜玉霞. 砧木对柠檬‘云柠1号’矿质养分吸收的影响[J]. 中国农学通报, 2025, 41(7): 47-54. |
| [9] | 王欢欢, 王晶晶, 陈奇凌. 3种数学方法在灰枣果实品质评价中的应用[J]. 中国农学通报, 2025, 41(7): 138-144. |
| [10] | 黄婉莉, 张冬敏, 符喜喜, 陈心怡, 张朝坤, 郑诚乐. 砧木种类对‘红香1号’番石榴生长和果实产质量的影响[J]. 中国农学通报, 2025, 41(6): 73-79. |
| [11] | 赵芳, 高运青, 高韶斌, 郑丽珍, 李姝彤, 尚启兵, 徐东旭, 关翔宇. 河北省绿豆种质资源主要农艺性状、经济性状遗传多样性分析及综合评价[J]. 中国农学通报, 2025, 41(5): 23-29. |
| [12] | 郭莹, 王仁杰, 徐蓓蓓, 张忠义, 蔡红明, 张红艳, 高珏晓, 夏海波, 陈嘉景. 3种果型番茄主要风味物质分析[J]. 中国农学通报, 2025, 41(4): 149-155. |
| [13] | 马倩倩, 彭莞云, 黄涛, 谢正伟, 李世银. 硅肥施用方式和浓度对青脆李果实品质的影响[J]. 中国农学通报, 2025, 41(4): 39-43. |
| [14] | 王敏, 韩守安, 谢辉, 刘旭鹏, 麦合木提·图如普, 漆颖, 阿地里太·铁力克, 艾尔买克·才卡斯木, 潘明启, 张雯. 赤霉素穗轴涂抹处理对葡萄果实品质的影响[J]. 中国农学通报, 2025, 41(4): 44-49. |
| [15] | 李静, 李海霞, 李正华, 郭成博, 王艳敏, 孙培琳, 白卉. 丁香种质资源表型性状遗传多样性分析[J]. 中国农学通报, 2025, 41(4): 74-83. |
| 阅读次数 | ||||||
|
全文 |
|
|||||
|
摘要 |
|
|||||