欢迎访问《中国农学通报》,

中国农学通报 ›› 2026, Vol. 42 ›› Issue (1): 153-158.doi: 10.11924/j.issn.1000-6850.casb2025-0491

• 资源·环境·生态·土壤·气象 • 上一篇    下一篇

毛叶枣-大豆间作模式对毛叶枣土壤养分及果实品质的影响

张冬敏1(), 黄婉莉1, 陈心怡2, 张朝坤1, 肖世伟1   

  1. 1 漳州市农业科学研究所,福建漳州 363005
    2 福建农林大学园艺学院,福州 350002
  • 收稿日期:2025-06-18 修回日期:2025-12-12 出版日期:2026-01-15 发布日期:2026-01-15
  • 作者简介:

    张冬敏,女,1989年出生,福建尤溪人,研究实习员,硕士,主要从事果树育种、栽培与分子生物学研究。通信地址:363005 福建省漳州市龙文区朝阳镇物华路20号 漳州市农业科学研究所果树室,E-mail:

  • 基金资助:
    福建省科技计划项目“毛叶枣良种选育与优质高效栽培技术研究”(2023N0053)

Effect of Intercropping Model of Ziziphus mauritiana-Soybeans on Soil Nutrients and Fruit Quality of Z. mauritiana

ZHANG Dongmin1(), HUANG Wanli1, CHEN Xinyi2, ZHANG Chaokun1, XIAO Shiwei1   

  1. 1 Zhangzhou Institute of Agricultural Sciences, Zhangzhou, Fujian 363005
    2 College of Horticulture, Fujian Agriculture and Forestry University, Fuzhou 350002
  • Received:2025-06-18 Revised:2025-12-12 Published:2026-01-15 Online:2026-01-15

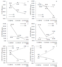
摘要: 为研究豆科作物间作对毛叶枣果园土壤养分及果实品质的调控效应,以种植‘柿子枣’的毛叶枣园区为样地,选择‘翠绿宝’矮化早熟大豆作为复合种植作物,设置清耕和间作‘翠绿宝’矮化早熟大豆2个处理,采用随机区组设计,在大豆种植前、大豆采收期及毛叶枣采收期测定土壤pH及土壤养分含量,分析果实成熟后品质指标差异。结果显示,间作大豆区土壤养分的消耗明显低于清耕区。毛叶枣整个生育周期结束后,分别将清耕处理与种植大豆处理的土壤与种植大豆前土壤的养分进行对比,间作大豆区土壤有机质含量提升了4.00 g/kg,而清耕区土壤有机质降低了12.60 g/kg;间作大豆区土壤水解性氮含量下降了4.62%,而清耕区下降了52.14%;间作大豆区土壤有效磷含量下降了33.23%,清耕区下降了90.60%;间作大豆区土壤速效钾含量下降了14.81%,而清耕区下降了54.98%;间作大豆区土壤交换性钙含量提升了4.60 cmol/kg,而清耕区下降了6.75 cmol/kg;间作大豆区土壤交换性镁含量提升了1.80 cmol/kg,而清耕区下降了0.79 cmol/kg;间作大豆后果园土壤养分消解速度放缓说明间作大豆可以提升土壤养分。毛叶枣果实成熟后检测2个处理毛叶枣果实品质,发现间作大豆区毛叶枣果实的可溶性固形物与可溶性总糖含量均较清耕区有所提升,其中可溶性固形物含量提升了13.43%,可溶性总糖含量提升了13.41%,说明间作大豆后不仅使得园区土壤养分提高,毛叶枣果实品质也得到提升。毛叶枣-大豆间作模式可通过大豆固氮及秸秆还田改善土壤养分状况,减少养分流失,提升果实内在品质,为毛叶枣果园化肥减量、生态栽培提供依据。

关键词: 毛叶枣, 大豆, 间作, 土壤理化性质, 土壤养分, 果实品质, 品质调控

Abstract:

The study investigates the effects of legume intercropping on soil nutrients and fruit quality in Ziziphus mauritiana orchards, a field experiment was conducted in a ‘Persimmon Jujube’ orchard. The dwarf early-maturing soybean cultivar ‘Cuilyubao’ was selected as the intercropping species. Two treatments were established: clean tillage and intercropping with ‘Cuilyubao’ dwarf early-maturing soybean, and arranged in a randomized block design. Soil pH and nutrient content were measured before soybean planting, during soybean harvest, and during Z. mauritiana harvest. Differences in fruit quality indicators were analyzed after fruit maturity. The results showed that the depletion of soil nutrients in the soybean intercropping area was significantly lower than in the clean tillage area. Upon completion of the entire growth cycle of Z. mauritiana, a comparative analysis of soil nutrients from the clean tillage treatment and soybean intercropping treatment against pre-experimental baseline levels (before soybean planting) revealed the following: soil organic matter content increased by 4.00 g/kg in the soybean intercropping area, while it decreased by 12.60 g/kg in the clean tillage area; hydrolytic nitrogen content declined by 4.62% in the intercropping area, compared to a 52.14% reduction in the clean tillage area; available phosphorus content decreased by 33.23% in the intercropping area, whereas it dropped by 90.60% in the clean tillage area; available potassium content fell by 14.81% in the intercropping area, contrasting with a 54.98% decrease in the clean tillage area; exchangeable calcium content rose by 4.60 cmol/kg in the intercropping area, but declined by 6.75 cmol/kg in the clean tillage area; exchangeable magnesium content increased by 1.80 cmol/kg in the intercropping area, while it decreased by 0.79 cmol/kg in the clean tillage area. The slower depletion rate of soil nutrients in the orchard following soybean intercropping demonstrates that intercropping with soybeans contributes to enhanced soil nutrient retention. Fruit quality analysis of Z. mauritiana from both treatments revealed that the soybean intercropping area demonstrated higher levels of soluble solids and soluble sugar compared to the clean tillage area, specifically, the soluble solids content increased by 13.43%, while soluble sugar content rose by 13.41%. These findings indicate that soybean intercropping not only enhances soil nutrient availability but also improves the fruit quality of Z. mauritiana. The intercropping pattern of Z. mauritiana and soybean can improve soil nutrient status through soybean nitrogen fixation and straw return, reduce nutrient loss, enhance the intrinsic quality of fruits, and provide a scientific basis for reducing chemical fertilizer use and promoting ecological cultivation in Z. mauritiana orchards.

Key words: Ziziphus mauritiana, soybean, intercropping, physicochemical properties of soil, soil nutrients, fruit quality, quality regulation