欢迎访问《中国农学通报》,

中国农学通报 ›› 2026, Vol. 42 ›› Issue (1): 167-175.doi: 10.11924/j.issn.1000-6850.casb2025-0447

• 资源·环境·生态·土壤·气象 • 上一篇    下一篇

生草对库尔勒香梨园微域温湿度及果实品质的影响

王春峰1,2(), 程嘉宝1,2, 熊清3, 秦飞1,2, 张峰1,2()   

  1. 1 库尔勒市香梨研究中心,新疆巴音郭楞蒙古自治州 841000
    2 新疆库尔勒香梨工程技术研究中心,新疆巴音郭楞蒙古自治州 841000
    3 新疆农业大学园艺学院,乌鲁木齐 830052
  • 收稿日期:2025-06-09 修回日期:2025-10-23 出版日期:2026-01-15 发布日期:2026-01-15
  • 通讯作者:
    张峰,男,1981年出生,甘肃通渭人,正高级工程师,硕士,研究方向:果树栽培与生理。通信地址:841000 新疆巴音郭楞蒙古自治州库尔勒市团结北路团结大厦5楼 库尔勒市香梨研究中心,Tel:0996-2701859,E-mail:
  • 作者简介:

    王春峰,男,1977年出生,山东文登人,工程师,学士,研究方向:果树生理栽培。通信地址:841000 新疆巴音郭楞蒙古自治州库尔勒市团结北路团结大厦5楼 库尔勒市香梨研究中心,E-mail:

  • 基金资助:
    新疆维吾尔自治区自然基金项目“果园生草对库尔勒香梨园生态环境和果实品质的影响研究”(2022D01F85); 新疆维吾尔自治区重大科技专项项目“新疆香梨产业优质绿色智慧发展关键技术研发与示范”(2024A02006); 财政部和农业农村部“国家梨产业技术体系”(CARS-28)

Effect of Grass on Microenvironment Temperature and Humidity of Korla Fragrant Pear Orchard and Fruit Quality

WANG Chunfeng1,2(), CHENG Jiabao1,2, XIONG Qing3, QIN Fei1,2, ZHANG Feng1,2()   

  1. 1 Korla Fragrant Pear Research Center, Bayingol Mongolian Autonomous Prefecture, Xinjiang 841000
    2 Korla Fragrant Pear Engineering Technology Research Center, Bayingol Mongolian Autonomous Prefecture, Xinjiang 841000
    3 College of Horticulture, Xinjiang Agricultural University, Urumqi 830052
  • Received:2025-06-09 Revised:2025-10-23 Published:2026-01-15 Online:2026-01-15

摘要:

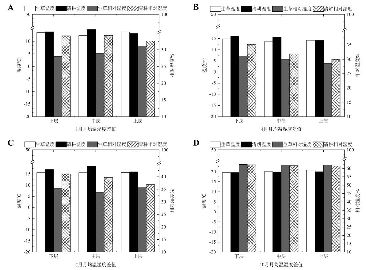
揭示行间生草对库尔勒香梨园微域环境及果实品质的影响,为西北干旱荒漠区果园生草技术的推广及应用提供理论依据。本研究在库尔勒香梨核心产区的香梨园,设置生草与清耕对比处理,全年定点监测树冠下、中、上3层的微域环境温湿度,综合分析其对果园微域环境与果实品质的影响。结果表明,在微域气候方面,生草处理表现出显著的温湿度缓冲作用。与清耕相比,生草区各冠层月均温度普遍较低,且处理间温差随冠层升高而递减,反映出其对近地微气候的稳定效应。生草处理在冬、春、夏三季均能有效降低中、下层温度波动,尤以中层最为突出,温差降幅达13.36%~16.50%。同时,生草处理普遍提高了园内相对湿度,并显著增强各冠层(特别是中、下层)的湿度稳定性,其中冬季下层湿度差降幅达18.25%,夏季中层达14.81%。在果实品质方面,生草处理显著提高了库尔勒香梨的综合品质。外观指标上,单果质量显著提高19.23%,有效改善果形(偏斜指数降低18.75%)和降低果实硬度。内在指标上,生草处理可溶性糖、糖酸比、维生素C含量显著提高了4.16%、8.48%、8.75%,同时可滴定酸含量显著降低了8.70%,总多酚、总花青素分别大幅增加135.27%、40.82%。研究结果表明,行间生草技术可通过改善库尔勒香梨园近地微域环境、增强温湿度稳定性,有效促进果实品质的提升,为优化西北干旱区果园管理模式提供了新路径。

关键词: 生草, 库尔勒香梨, 温度, 相对湿度, 果实品质

Abstract:

The study aims to explore the effect of grass growing between rows on the microenvironment and fruit quality in Korla Fragrant Pear orchards, and to provide a theoretical basis for the promotion and application of grass growing technology in orchards in arid desert areas of Northwest China. In this study, a comparative treatment of grass growing and clean tillage was set up in the Korla Fragrant Pear orchard in the core production area of Korla Fragrant Pear. The temperature and humidity of the microenvironment of the lower, middle and upper layers of the canopy were monitored at fixed points throughout the year, and its impact on the orchard microenvironment and fruit quality was comprehensively analyzed. The results showed that: in terms of micro climate, grass growing treatment showed significant temperature and humidity buffering effect. Compared with clean tillage, the monthly average temperature of each canopy in the grass growing area was generally lower, and the temperature difference between treatments decreased with the increase of canopy, reflecting its stabilizing effect on the near-ground microclimate. The grass growing treatment can effectively reduce the temperature fluctuation in the middle and lower layers in winter, spring and summer, especially in the middle layer, with the temperature difference decreases by 13.36%-16.50%. At the same time, the grass growing treatment generally increased the relative humidity in the garden and significantly enhanced the humidity stability of each canopy (especially the middle and lower layers). The humidity difference in the lower layer decreased by 18.25% in winter, and that in the middle layer decreased by 14.81% in summer. In terms of fruit quality, the grass growing treatment significantly improved the comprehensive quality of Korla Fragrant Pear. In terms of appearance index, the single fruit weight was significantly increased by 19.23%, the fruit shape was effectively improved (the skew index was reduced by 18.75%) and the fruit hardness was reduced. In terms of internal indicators, the soluble sugar, sugar acid ratio and vitamin C content of grass growing treatment increased significantly by 4.16%, 8.48% and 8.75%, while the titratable acid content increased significantly by 8.70%, and the total polyphenols and total anthocyanins increased significantly by 135.27% and 40.82%, respectively. The inter row grass growing technology can effectively enhance the stability of temperature and humidity by improving the near ground microenvironment of Korla Fragrant Pear orchard, thus significantly improving fruit quality.

Key words: grass growing, Korla Fragrant Pear, temperature, relative humidity, fruit quality