中国农学通报 ›› 2025, Vol. 41 ›› Issue (34): 96-105.doi: 10.11924/j.issn.1000-6850.casb2025-0469
刘明丽1(
), 滕皎2, 蒋宾3, 彭海波1, 潘从飞1, 胡敏1, 黎明勇1(
), 刘跃云1(
)
收稿日期:2025-06-06
修回日期:2025-10-27
出版日期:2025-12-04
发布日期:2025-12-04
通讯作者:
作者简介:刘明丽,女,1994年出生,贵州六盘水人,农艺师,硕士研究生,主要从事茶园土壤与栽培方面的研究。通信地址:644000 宜宾市翠屏区宜宾学院临港校区,Tel:0831-8088008,E-mail:2538094138@qq.com。
基金资助:
LIU Mingli1(
), TENG Jiao2, JIANG Bin3, PENG Haibo1, PAN Congfei1, HU Min1, LI Mingyong1(
), LIU Yueyun1(
)
Received:2025-06-06
Revised:2025-10-27
Published:2025-12-04
Online:2025-12-04
摘要:
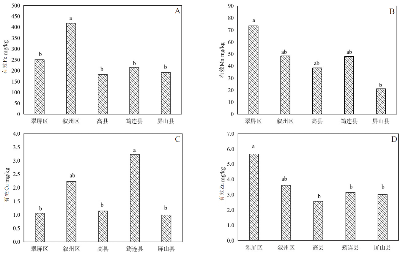
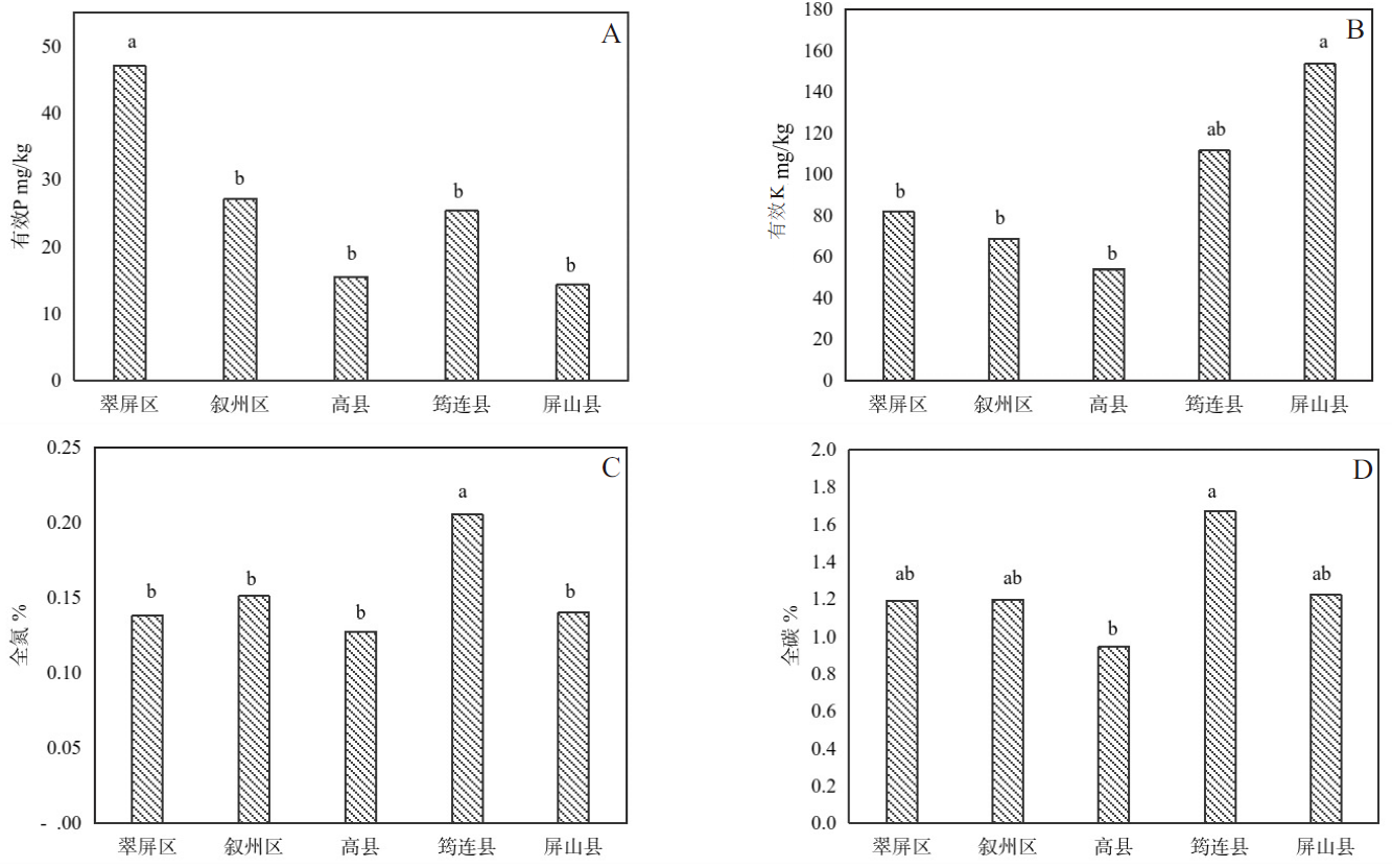
为探明宜宾市主要产茶区茶园土壤的理化指标和养分状况,科学指导当地茶园施肥和土壤养分管理,对宜宾市5个主要产茶区县茶园土壤进行采样分析,检测茶园土壤pH、大量与中微量元素(Ca、Mg、Zn、Mn、Fe、Cu、K、P、Al)以及全氮、全碳含量,并进行养分等级评价。结果表明:(1)宜宾市主产茶区茶园土壤pH 3.95~6.90,部分地区已出现酸化。(2)有效K含量丰富,Fe、Zn、Cu、Mn、Al含量以Ⅰ级(充足)和Ⅲ级(适宜)为主。(3)近一半的茶区P和全氮含量相对不足,Ca和Mg全域普遍缺乏,全碳含量整体偏低。总之,宜宾市主产茶区茶园0~40 cm土层土壤整体肥力较高。建议茶园管理中增施有机肥以调节土壤pH、提高全碳含量,部分茶区适当补充氮肥,全域增施钙镁肥,推动科学施肥。
刘明丽, 滕皎, 蒋宾, 彭海波, 潘从飞, 胡敏, 黎明勇, 刘跃云. 宜宾市主要产茶区茶园土壤养分分析及综合评价[J]. 中国农学通报, 2025, 41(34): 96-105.
LIU Mingli, TENG Jiao, JIANG Bin, PENG Haibo, PAN Congfei, HU Min, LI Mingyong, LIU Yueyun. Analysis and Comprehensive Evaluation of Soil Nutrient in Tea Plantations in Major Tea Producing Areas of Yibin[J]. Chinese Agricultural Science Bulletin, 2025, 41(34): 96-105.
| 序号 | 县(区) | 取样点/个 | 东经 | 北纬 | 海拔/m | 土壤类型 | ||||||
|---|---|---|---|---|---|---|---|---|---|---|---|---|
| 1 | 翠屏区 | 9 | 104°31′30″—104°42′08″ | 28°55′39″—29°6′27″ | 314~395 | 红色沙壤土 | ||||||
| 2 | 叙州区 | 9 | 104°10′24″—104°27′53″ | 28°41′33″—29°6′38″ | 304~1118 | 红色沙壤、灰棕紫泥土 | ||||||
| 3 | 高县 | 9 | 104°28′02″—104°36′04″ | 28°12′50″—28°22′20″ | 400.6~780 | 棕色壤、黄棕色沙土 | ||||||
| 4 | 筠连县 | 9 | 104°24′29″—104°39′11″ | 28°1′35″—28°10′07″ | 317~1070 | 红色沙壤、灰棕紫泥土 | ||||||
| 5 | 屏山县 | 9 | 104°1′02″—104°16′22″ | 28°39′36″—28°47′46″ | 876~1051 | 棕褐色壤、黄棕色壤土 | ||||||
| 序号 | 县(区) | 取样点/个 | 东经 | 北纬 | 海拔/m | 土壤类型 | ||||||
|---|---|---|---|---|---|---|---|---|---|---|---|---|
| 1 | 翠屏区 | 9 | 104°31′30″—104°42′08″ | 28°55′39″—29°6′27″ | 314~395 | 红色沙壤土 | ||||||
| 2 | 叙州区 | 9 | 104°10′24″—104°27′53″ | 28°41′33″—29°6′38″ | 304~1118 | 红色沙壤、灰棕紫泥土 | ||||||
| 3 | 高县 | 9 | 104°28′02″—104°36′04″ | 28°12′50″—28°22′20″ | 400.6~780 | 棕色壤、黄棕色沙土 | ||||||
| 4 | 筠连县 | 9 | 104°24′29″—104°39′11″ | 28°1′35″—28°10′07″ | 317~1070 | 红色沙壤、灰棕紫泥土 | ||||||
| 5 | 屏山县 | 9 | 104°1′02″—104°16′22″ | 28°39′36″—28°47′46″ | 876~1051 | 棕褐色壤、黄棕色壤土 | ||||||
| 级别 | 有效铝/ (mg/kg) | 有效钙/ (mg/kg) | 有效镁/ (mg/kg) | 有效铁/ (mg/kg) | 有效锰/ (mg/kg) | 有效铜/ (mg/kg) | 有效锌/ (mg/kg) | 有效磷/ (mg/kg) | 有效钾/ (mg/kg) | 全氮/ % | 全碳/ % |
|---|---|---|---|---|---|---|---|---|---|---|---|
| 很丰富(Ⅰ) | >1500 | >1000 | >300 | >200 | >30 | >1.8 | >3.0 | >40 | >25 | >0.25 | >5.0 |
| 丰富(Ⅱ) | 1200~1500 | 700~1000 | 200~300 | 100~200 | 15~30 | 1.0~1.8 | 1.0~3.0 | 20~40 | 20~25 | 0.2~0.25 | 3.5~5.0 |
| 适宜(Ⅲ) | 900~1200 | 500~700 | 100~200 | 45~100 | 5~15 | 0.2~1.0 | 0.5~1.0 | 10~20 | 15~20 | 0.15~0.20 | 1.0~3.5 |
| 缺乏(Ⅳ) | 600~900 | 300~500 | 50~100 | 25~45 | 1~5 | 0.1~0.2 | 0.3~0.5 | 5~10 | 10~15 | 0.05~0.15 | 1.0~0.5 |
| 很缺乏(Ⅴ) | <600 | <300 | <50 | <25 | <1 | <0.1 | <0.3 | <5 | <10 | <0.05 | <0.5 |
| 临界值 | 900 | 500 | 100 | 45 | 5 | 0.2 | 0.5 | 10 | 15 | 0.15 | 1 |
| 级别 | 有效铝/ (mg/kg) | 有效钙/ (mg/kg) | 有效镁/ (mg/kg) | 有效铁/ (mg/kg) | 有效锰/ (mg/kg) | 有效铜/ (mg/kg) | 有效锌/ (mg/kg) | 有效磷/ (mg/kg) | 有效钾/ (mg/kg) | 全氮/ % | 全碳/ % |
|---|---|---|---|---|---|---|---|---|---|---|---|
| 很丰富(Ⅰ) | >1500 | >1000 | >300 | >200 | >30 | >1.8 | >3.0 | >40 | >25 | >0.25 | >5.0 |
| 丰富(Ⅱ) | 1200~1500 | 700~1000 | 200~300 | 100~200 | 15~30 | 1.0~1.8 | 1.0~3.0 | 20~40 | 20~25 | 0.2~0.25 | 3.5~5.0 |
| 适宜(Ⅲ) | 900~1200 | 500~700 | 100~200 | 45~100 | 5~15 | 0.2~1.0 | 0.5~1.0 | 10~20 | 15~20 | 0.15~0.20 | 1.0~3.5 |
| 缺乏(Ⅳ) | 600~900 | 300~500 | 50~100 | 25~45 | 1~5 | 0.1~0.2 | 0.3~0.5 | 5~10 | 10~15 | 0.05~0.15 | 1.0~0.5 |
| 很缺乏(Ⅴ) | <600 | <300 | <50 | <25 | <1 | <0.1 | <0.3 | <5 | <10 | <0.05 | <0.5 |
| 临界值 | 900 | 500 | 100 | 45 | 5 | 0.2 | 0.5 | 10 | 15 | 0.15 | 1 |
| 分级转折点 | pH | 有效铝 | 有效钙 | 有效镁 | 有效铁 | 有效锰 | 有效铁 | 有效铜 | 有效钾 | 有效磷 | 全氮 | 全碳 |
|---|---|---|---|---|---|---|---|---|---|---|---|---|
| xmin | 4.0 | 600 | 300 | 50 | 0.3 | 1 | 25 | 0.1 | 10 | 5 | 0.05 | 0.5 |
| xa | 4.5 | |||||||||||
| xb | 5.5 | |||||||||||
| xmax | 6.5 | 1500 | 1000 | 300 | 3.0 | 30 | 200 | 1.8 | 25 | 40 | 0.25 | 5 |
| 分级转折点 | pH | 有效铝 | 有效钙 | 有效镁 | 有效铁 | 有效锰 | 有效铁 | 有效铜 | 有效钾 | 有效磷 | 全氮 | 全碳 |
|---|---|---|---|---|---|---|---|---|---|---|---|---|
| xmin | 4.0 | 600 | 300 | 50 | 0.3 | 1 | 25 | 0.1 | 10 | 5 | 0.05 | 0.5 |
| xa | 4.5 | |||||||||||
| xb | 5.5 | |||||||||||
| xmax | 6.5 | 1500 | 1000 | 300 | 3.0 | 30 | 200 | 1.8 | 25 | 40 | 0.25 | 5 |
| 区域 | 平均值 | 标准差 | 最小值 | 最大值 | 变异系数/% | 土样分布数/个 | ||
|---|---|---|---|---|---|---|---|---|
| pH<4.5 | pH 4.5~6.0 | pH>6.0 | ||||||
| 合计 | 4.58 | 0.60 | 3.95 | 6.90 | 13.02 | 25 | 18 | 2 |
| 翠屏区 | 4.57 | 0.55 | 4.00 | 5.25 | 11.93 | 5 | 4 | — |
| 叙州区 | 4.36 | 0.30 | 3.95 | 4.84 | 6.86 | 5 | 4 | — |
| 高县 | 4.32 | 0.31 | 3.96 | 4.89 | 7.29 | 7 | 2 | — |
| 筠连县 | 4.65 | 0.43 | 4.09 | 5.55 | 9.26 | 3 | 6 | — |
| 屏山县 | 5.01 | 0.99 | 4.13 | 6.90 | 19.76 | 5 | 2 | 2 |
| 区域 | 平均值 | 标准差 | 最小值 | 最大值 | 变异系数/% | 土样分布数/个 | ||
|---|---|---|---|---|---|---|---|---|
| pH<4.5 | pH 4.5~6.0 | pH>6.0 | ||||||
| 合计 | 4.58 | 0.60 | 3.95 | 6.90 | 13.02 | 25 | 18 | 2 |
| 翠屏区 | 4.57 | 0.55 | 4.00 | 5.25 | 11.93 | 5 | 4 | — |
| 叙州区 | 4.36 | 0.30 | 3.95 | 4.84 | 6.86 | 5 | 4 | — |
| 高县 | 4.32 | 0.31 | 3.96 | 4.89 | 7.29 | 7 | 2 | — |
| 筠连县 | 4.65 | 0.43 | 4.09 | 5.55 | 9.26 | 3 | 6 | — |
| 屏山县 | 5.01 | 0.99 | 4.13 | 6.90 | 19.76 | 5 | 2 | 2 |
| 指标 | 平均值/(mg/kg) | 标准差/(mg/kg) | 最小值/(mg/kg) | 最大值/(mg/kg) | 变异系数/% | 分级标准占比/% | ||||
|---|---|---|---|---|---|---|---|---|---|---|
| Ⅰ | Ⅱ | Ⅲ | Ⅳ | Ⅴ | ||||||
| 有效铝 | 1334.94 | 460.42 | 520.50 | 2521.50 | 34.49 | 37.8 | 15.6 | 28.9 | 15.6 | 2.2 |
| 有效钙 | 469.24 | 302.53 | 25.19 | 975.00 | 64.47 | — | 28.9 | 17.8 | 17.8 | 35.6 |
| 有效镁 | 77.17 | 57.33 | 6.00 | 252.55 | 74.29 | — | 4.4 | 26.7 | 33.3 | 35.6 |
| 指标 | 平均值/(mg/kg) | 标准差/(mg/kg) | 最小值/(mg/kg) | 最大值/(mg/kg) | 变异系数/% | 分级标准占比/% | ||||
|---|---|---|---|---|---|---|---|---|---|---|
| Ⅰ | Ⅱ | Ⅲ | Ⅳ | Ⅴ | ||||||
| 有效铝 | 1334.94 | 460.42 | 520.50 | 2521.50 | 34.49 | 37.8 | 15.6 | 28.9 | 15.6 | 2.2 |
| 有效钙 | 469.24 | 302.53 | 25.19 | 975.00 | 64.47 | — | 28.9 | 17.8 | 17.8 | 35.6 |
| 有效镁 | 77.17 | 57.33 | 6.00 | 252.55 | 74.29 | — | 4.4 | 26.7 | 33.3 | 35.6 |
| 指标 | 平均值/(mg/kg) | 标准差/(mg/kg) | 最小值/(mg/kg) | 最大值/(mg/kg) | 变异系数/% | 分级标准占比/% | ||||
|---|---|---|---|---|---|---|---|---|---|---|
| Ⅰ | Ⅱ | Ⅲ | Ⅳ | Ⅴ | ||||||
| 有效铁 | 252.18 | 125.43 | 98.15 | 598.50 | 49.74 | 53.3 | 44.4 | 2.2 | — | — |
| 有效锰 | 45.83 | 45.52 | 1.93 | 177.00 | 99.31 | 42.2 | 31.1 | 20.0 | 6.7 | — |
| 有效锌 | 3.61 | 2.52 | 0.96 | 13.45 | 69.82 | 44.4 | 51.1 | 4.4 | — | — |
| 有效铜 | 1.74 | 1.66 | 0.29 | 9.41 | 95.60 | 31.1 | 28.9 | 40.0 | — | — |
| 指标 | 平均值/(mg/kg) | 标准差/(mg/kg) | 最小值/(mg/kg) | 最大值/(mg/kg) | 变异系数/% | 分级标准占比/% | ||||
|---|---|---|---|---|---|---|---|---|---|---|
| Ⅰ | Ⅱ | Ⅲ | Ⅳ | Ⅴ | ||||||
| 有效铁 | 252.18 | 125.43 | 98.15 | 598.50 | 49.74 | 53.3 | 44.4 | 2.2 | — | — |
| 有效锰 | 45.83 | 45.52 | 1.93 | 177.00 | 99.31 | 42.2 | 31.1 | 20.0 | 6.7 | — |
| 有效锌 | 3.61 | 2.52 | 0.96 | 13.45 | 69.82 | 44.4 | 51.1 | 4.4 | — | — |
| 有效铜 | 1.74 | 1.66 | 0.29 | 9.41 | 95.60 | 31.1 | 28.9 | 40.0 | — | — |
| 指标 | 平均值 | 标准差 | 最小值 | 最大值 | 变异系数/% | 分级标准占比/% | ||||
|---|---|---|---|---|---|---|---|---|---|---|
| Ⅰ | Ⅱ | Ⅲ | Ⅳ | Ⅴ | ||||||
| 有效磷/(mg/kg) | 25.91 | 20.72 | 1.56 | 81.40 | 79.96 | 17.8 | 37.8 | 20.0 | 11.1 | 13.3 |
| 有效钾/(mg/kg) | 94.02 | 74.73 | 13.35 | 399.15 | 79.49 | 88.9 | 11.1 | — | — | — |
| 全氮/% | 0.15 | 0.05 | 0.07 | 0.35 | 33.80 | 4.4 | 6.7 | 37.8 | 51.1 | — |
| 全碳/% | 1.24 | 0.54 | 0.33 | 3.29 | 43.06 | — | — | 66.7 | 31.1 | 2.2 |
| 指标 | 平均值 | 标准差 | 最小值 | 最大值 | 变异系数/% | 分级标准占比/% | ||||
|---|---|---|---|---|---|---|---|---|---|---|
| Ⅰ | Ⅱ | Ⅲ | Ⅳ | Ⅴ | ||||||
| 有效磷/(mg/kg) | 25.91 | 20.72 | 1.56 | 81.40 | 79.96 | 17.8 | 37.8 | 20.0 | 11.1 | 13.3 |
| 有效钾/(mg/kg) | 94.02 | 74.73 | 13.35 | 399.15 | 79.49 | 88.9 | 11.1 | — | — | — |
| 全氮/% | 0.15 | 0.05 | 0.07 | 0.35 | 33.80 | 4.4 | 6.7 | 37.8 | 51.1 | — |
| 全碳/% | 1.24 | 0.54 | 0.33 | 3.29 | 43.06 | — | — | 66.7 | 31.1 | 2.2 |
| [1] |
|
| [2] |
|
| [3] |
张利萍, 肖罗丹, 李顺宇, 等. 宜宾市茶产业发展现状及对策[J]. 茶叶, 2024, 50(2):120-123.
|
| [4] |
许艳艳, 曾旭, 刘明丽, 等. 宜宾川红工夫茶发展策略分析[J]. 安徽农业科学, 2023, 51(21):243-245.
|
| [5] |
王晨旭, 何香艳, 陈光敏, 等. 福鼎市主要产茶乡镇茶园土壤养分状况分析及评价[J]. 茶叶学报, 2024, 65(2):54-63.
|
| [6] |
赵冬青, 潘云枫, 徐建陶, 等. 宜兴市茶园土壤养分状况分析[J]. 上海农业科技, 2024(5):27-29.
|
| [7] |
|
| [8] |
郝连奇, 浦绍柳, 范承胜, 等. 云南勐海县主要古茶园土壤养分状况分析[J]. 西南农业学报, 2019, 32(7):1621-1625.
|
| [9] |
doi: 10.3390/land14010074 URL |
| [10] |
鲍士旦. 土壤农化分析(第3版)[M]. 北京: 中国农业出版社, 2000.
|
| [11] |
庞英华, 顾万帆, 金鑫, 等. 杭州余杭径山茶园土壤养分状况及肥力质量评价[J]. 中国农学通报, 2024, 40(9):97-105.
doi: 10.11924/j.issn.1000-6850.casb2023-0451 |
| [12] |
龚宇锋, 曾宪平, 张珍明. 贵州省主要茶叶产地土壤养分含量特征和影响因素分析[J]. 耕作与栽培, 2023, 43(6):17-20.
|
| [13] |
刘娟, 张乃明, 邓洪. 勐海县茶园土壤养分状况及肥力质量评价[J]. 农业环境与发展, 2021, 38(1):79-86.
|
| [14] |
徐亚文, 黄燕兰, 刘娜, 等. 双江县冰岛五寨古茶园土壤养分状况及肥力质量评价[J]. 中国土壤与肥料, 2023(12):1-11.
|
| [15] |
温继良, 周元清, 杨东华, 等. 新平县茶园土壤养分特征及肥力质量评价[J]. 云南农业大学学报, 2018, 33(5):925-933.
|
| [16] |
doi: 10.1111/plb.v25.6 URL |
| [17] |
doi: 10.1016/j.scitotenv.2020.136963 URL |
| [18] |
|
| [19] |
doi: 10.1038/s41598-021-81499-8 |
| [20] |
doi: 10.3390/plants12101958 URL |
| [21] |
韩文炎, 许允文. 铜与锌对茶树体内矿质元素含量及分布的影响[J]. 茶叶科学, 1996, 16(2):99-104.
|
| [22] |
冉登培. 贵州地区茶叶微量元素分析及稀土影响因素探究[D]. 重庆: 西南大学, 2014.
|
| [23] |
刘美雅, 伊晓云, 石元值, 等. 茶园土壤性状及茶树营养元素吸收、转运机制研究进展[J]. 茶叶科学, 2015, 35(2):110-120.
|
| [24] |
|
| [25] |
李相楹, 张珍明, 张清海, 等. 茶园土壤氮磷钾与茶叶品质关系研究进展[J]. 广东农业科学, 2014, 41(23):56-60.
|
| [26] |
李艳春, 汪航, 李兆伟, 等. 几种改良措施对酸化茶园土壤理化性质和微生物群落结构的影响[J]. 茶叶科学, 2022, 42(5):661-671.
|
| [27] |
doi: 10.1111/sum.2011.27.issue-1 URL |
| [28] |
王义祥, 黄家庆, 叶菁, 等. 生物炭对酸化茶园土壤性状和真菌群落结构的影响[J]. 茶叶科学, 2021, 41(3):419-429.
|
| [29] |
王贺新, 盛曼曼, 杨向德, 等. 茶园土壤酸化国际研究概况和趋势[J]. 中国生态农业学报(中英文), 2024, 32(12):2107-2116.
|
| [30] |
李静, 夏建国. 氮磷钾与茶叶品质关系的研究综述[J]. 中国农学通报, 2005, 21(1):62-65.
|
| [31] |
doi: 10.3390/ijms23010001 URL |
| [32] |
doi: 10.1080/10408398.2015.1083534 URL |
| [33] |
|
| [34] |
|
| [35] |
李煜, 张萍, 吴红, 等. 六盘水市六枝特区茶园茶叶与土壤中微量元素的相关性分析[J]. 现代农业科技, 2022, 11(5):6-10.
|
| [36] |
江永成, 胡家琴, 张琼, 等. 云贵高原茶园土壤养分状况及其对茶叶品质的影响[J]. 环境工程技术学报, 2024, 14(5):1451-1458.
|
| [37] |
杨广容, 王秀青, 李永梅, 等. 景迈山茶园土壤养分与茶叶品质分析研究[J]. 云南农业大学学报, 2016, 31(3):519-527.
|
| [1] | 陈鸿洁, 张建春. 青柚叶片营养元素含量季节变化及其相关性研究[J]. 中国农学通报, 2024, 40(34): 83-88. |
| [2] | 于博, 杨哲, 王钰艳, 马扬, 郭艳, 张一博, 任琴, 穆俊祥, 徐松鹤, 张学峰. 秸秆还田与改良剂对盐碱土化学性质和养分的影响[J]. 中国农学通报, 2024, 40(32): 50-55. |
| [3] | 袁杭杰, 王京文, 杨文叶, 李丹. 杭州重点茶园中微量元素丰缺状况研究[J]. 中国农学通报, 2024, 40(27): 97-101. |
| [4] | 王京文, 李丹, 袁杭杰, 杨文叶, 张奇春. 杭州市主要茶园酸化趋势与控制因素分析[J]. 中国农学通报, 2024, 40(19): 109-114. |
| [5] | 赵阿娟, 刘琼峰, 周世民, 翟争光, 胡亮亮, 段美珍, 谢鹏飞, 李明德, 谢扬军, 何激光, 梁棋政, 刘优雄. 白云石粉与氧化镁肥对植烟土壤与烟叶钙镁营养元素的影响[J]. 中国农学通报, 2024, 40(1): 7-11. |
| [6] | 韦虹日, 阳乾程, 覃永华, 刘世男. 香木莲开花过程中叶片碳水化合物及营养元素的变化[J]. 中国农学通报, 2024, 40(1): 52-59. |
| [7] | 刘思汝, 石伟琦, 马海洋, 冼皑敏, 徐明岗. 灌水量对金菠萝果实营养元素含量的影响[J]. 中国农学通报, 2023, 39(4): 52-58. |
| [8] | 王东, 卢健, 朱建杰, 庞英华, 杜叶鑫, 施鸿鑫, 楼玲. 酶制剂施用对茶园土壤和茶叶重金属含量的影响[J]. 中国农学通报, 2023, 39(36): 48-51. |
| [9] | 赵双梅, 刘宪斌, 李红梅, 董文彩, 沈健萍, 包金美, 梁芳, 鲁美. 云南哀牢山湿性常绿阔叶林土壤碳分布特征[J]. 中国农学通报, 2022, 38(8): 88-95. |
| [10] | 王彦, 朱凯迪, 孙洪仁, 张吉萍, 吕玉才, 王剑. 中国苹果土壤养分丰缺指标与适宜施肥量初步研究[J]. 中国农学通报, 2022, 38(5): 69-78. |
| [11] | 梁天, 张晓东, 张玉, 张佐忠, 斯日古楞, 苏布登格日勒, 娜仁花. 不同C/N条件下菌酶制剂对牛粪堆肥进程的影响[J]. 中国农学通报, 2022, 38(31): 77-82. |
| [12] | 程国峰, 黄达, 赵冬丽, 王立强, 程志杰. 河南省潮土区土壤肥力现状分析[J]. 中国农学通报, 2022, 38(27): 101-105. |
| [13] | 戴前莉, 朱恒星, 黄飞逸, 卢敏, 陈本文, 陈琴, 管运峰, 尹思琴, 祝元春. 油橄榄叶果营养元素动态及其相关性[J]. 中国农学通报, 2022, 38(18): 153-158. |
| [14] | 张渊博, 郝文琴, 石玉, 韩瑞锋, 成永三, 张毅. 不同光周期下外源锌对水培生菜生长和品质的影响[J]. 中国农学通报, 2022, 38(13): 41-46. |
| [15] | 肖弘扬, 李谟志, 林启美, 李二珍, 李贵桐, 赵小蓉. 8种耐盐植物与脱硫石膏对河套灌区盐碱土水稳定性团聚体的影响[J]. 中国农学通报, 2021, 37(34): 90-96. |
| 阅读次数 | ||||||
|
全文 |
|
|||||
|
摘要 |
|
|||||