欢迎访问《中国农学通报》,

中国农学通报 ›› 2026, Vol. 42 ›› Issue (4): 17-26.doi: 10.11924/j.issn.1000-6850.casb2025-0400

• 农学·农业基础科学 • 上一篇    下一篇

化学封顶剂浓度对棉花封顶的作用研究

金路路1(), 王子胜1, 万素梅2, 田景山3, 杜明伟4, 徐敏1()   

  1. 1 辽宁省经济作物研究所, 辽宁辽阳 111000
    2 塔里木大学农学院, 新疆阿拉尔 843300
    3 新疆生产建设兵团绿洲生态农业重点实验室/石河子大学农学院, 新疆石河子 832003
    4 中国农业大学农业与生物技术学院/教育部植物生长调节剂工程研究中心, 北京 100193
  • 收稿日期:2025-05-21 修回日期:2025-12-20 出版日期:2026-02-27 发布日期:2026-02-27
  • 通讯作者:
    徐敏,女,1969年出生,河北景县人,研究员,本科,棉花生理与栽培技术研究。通信地址:111000 辽宁省辽阳市白塔区胜利路65号,Tel:0419-3678918,E-mail:
  • 作者简介:

    金路路,女,1981年出生,辽宁本溪人,副研究员,硕士,棉花生理与栽培技术研究。Tel:0419-3678918,E-mail:

  • 基金资助:
    辽宁省农科院学科建设项目“棉花育种与栽培”(2024XKIS5224); 棉花生物育种与综合利用全国重点实验室开放课题(CB2022A23); 国家棉花产业技术体系“辽河综合试验站建设”(CARS-15-33); 辽宁省农科院经济作物研究所棉花种子研发“小组团”援疆团队

Application Effects of Cotton Chemical Capping Agents at Different Concentrations

JIN Lulu1(), WANG Zisheng1, WAN Sumei2, TIAN Jingshan3, DU Mingwei4, XU Min1()   

  1. 1 Liaoning Industrial Crops Institute, Liaoyang, Liaoning 111000
    2 College of Agronomy, Tarim University, Alar, Xinjiang 843300
    3 The Key Laboratory of Oasis Eco-Agriculture, Xinjiang Production and Construction Corps/College of Agronomy, Shihezi University, Shihezi, Xinjiang 832003
    4 College of Agronomy and Biotechnology, China Agricultural University/Engineering Research Center of Plant Growth Regulator, Ministry of Education, Beijing 100193
  • Received:2025-05-21 Revised:2025-12-20 Published:2026-02-27 Online:2026-02-27

摘要:

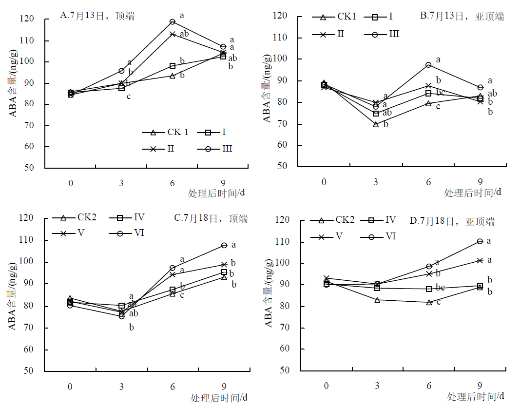
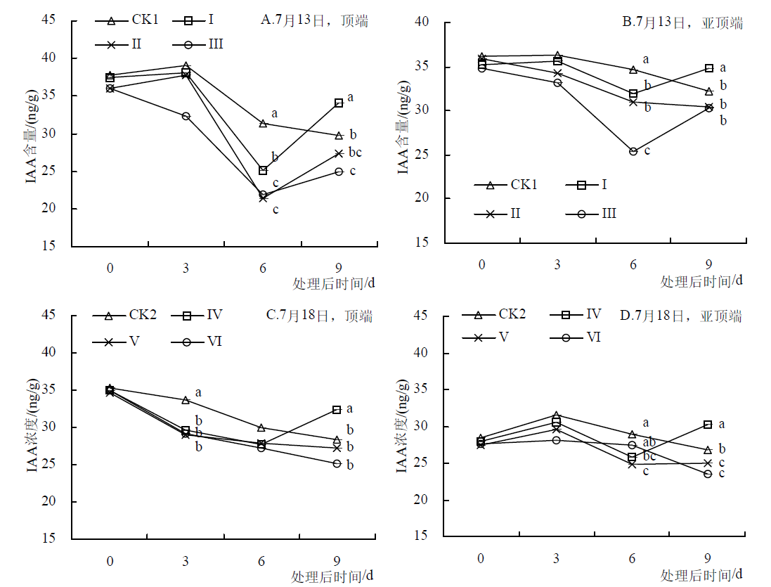
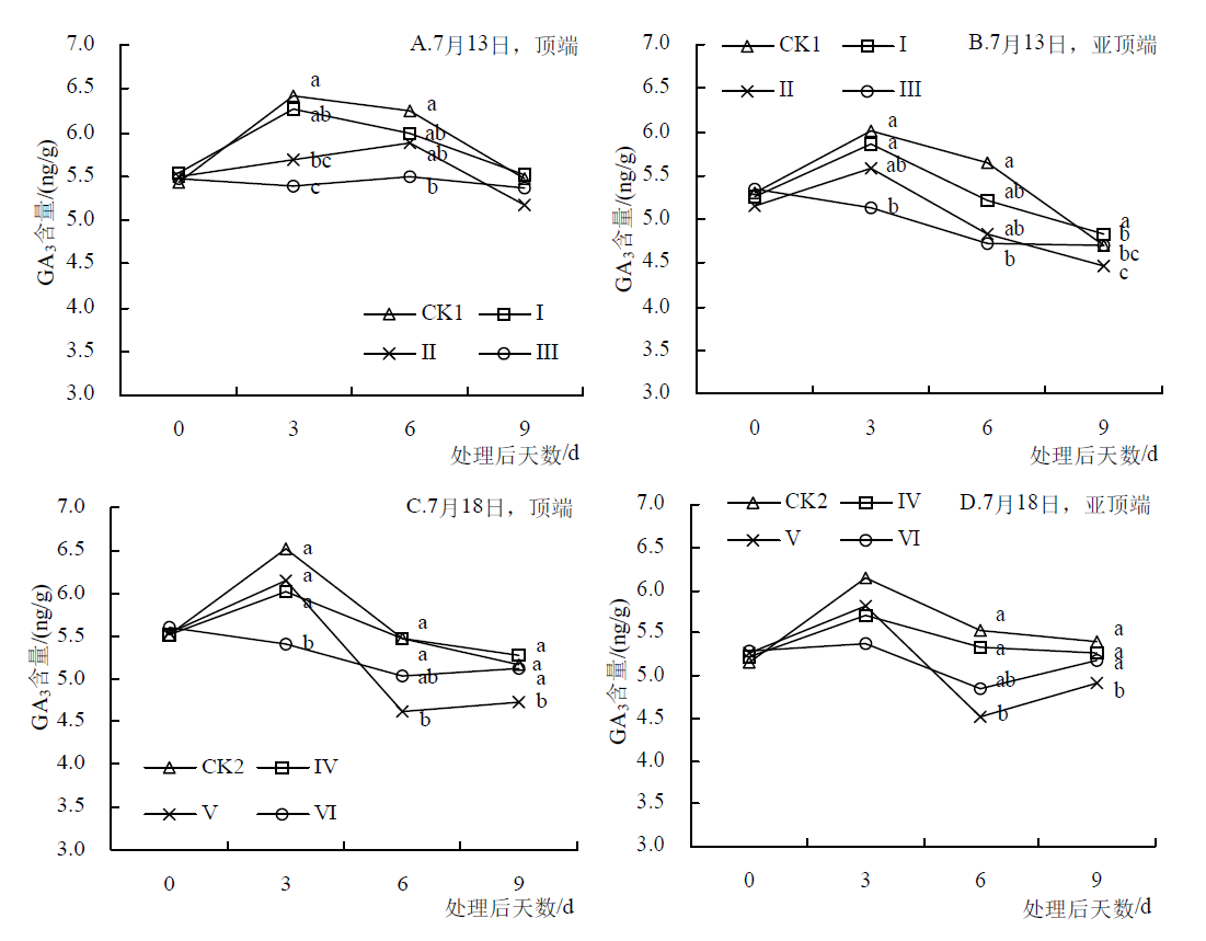
辽河流域棉区不同化学封顶技术缺乏适配参数,为明确化学封顶剂浓度与处理时间的应用效果,采用农大化学封顶剂[25%甲哌鎓(1,1-dimethyl-piperidinium chloride,DPC)+助剂环烷酸盐]于2019—2020年在辽宁省经济作物研究所(辽宁辽阳)进行比较试验,设2个处理时间(7月13、18日)和3个处理浓度(750、1125、1500 mL/hm2),共6个处理,以不打顶为对照(CK),连续测量植株主茎顶端(0~5 cm)和亚顶端(5~10 cm)的生长素(IAA)、脱落酸(ABA)、赤霉素(GA3)、玉米素(ZR)的含量,并观察记录植株的生长发育(株高、果枝数、上部果枝长度、上部节间长度)情况。结果表明:(1)IAA、ABA含量变化幅度总体与处理浓度呈正比,ZR含量变化幅度总体与处理浓度呈反比,中等浓度处理(1125 mL/hm2)GA3含量变化幅度较大。(2)不同浓度处理的IAA、ABA和ZR含量变化在7月13日处理时差异明显,GA3含量变化在2个处理时间没有明显差异。IAA含量变化在主茎顶端比亚顶端差异明显,ZR含量在亚顶端变化幅度较大,ABA和GA3含量变化在2个部位无明显差异。(3)化学封顶对植株发育主要表现为抑制作用,其中,果枝数和上部果枝长度随处理浓度提高受抑制程度增加,7月13日处理随处理浓度提高株高受抑制程度加强,7月18日处理株高和上部节间长度都表现中等处理浓度受抑制程度最强。研究认为,化学封顶剂处理后,主茎顶部IAA和GA3含量明显降低,ABA含量明显提高,ZR含量变化不明显,并且IAA和ABA含量下降幅度与封顶剂浓度呈正比,处理时间越早变化幅度越大。主茎顶端IAA含量变化较明显,亚顶端ZR含量变化幅度较明显。封顶剂处理后植株发育受到抑制,总体变化与激素变化趋势一致。未来可结合产量与纤维品质指标,优化化学封顶剂施用参数,建立适配辽河流域棉区的轻简化栽培技术体系。

关键词: 棉花, 化学封顶, 药剂浓度, 处理时间, 主茎顶部, 内源激素, 植株发育

Abstract:

In order to investigate regulatory effects of cotton chemical capping agents in the Liaohe River Basin, a comparative experiment was conducted from 2019 to 2020 at the Liaoning Institute of Industrial Crops (Liaoyang, Liaoning). The study used chemical capping agent from China Agricultural University, composed of 25% Mepiquat chloride (1,1-dimethyl-piperidinium chloride, DPC) and auxiliary naphthenate, with two application timings (July 13th and July 18th) and three concentration levels (750, 1125 and 1500 mL/hm2). A total of six treatments were set up, using no-topping as control (CK). Hormone contents including indole-3-acetic acid (IAA), abscisic acid (ABA), gibberellin (GA3), and zeatin (ZR) were continuously measured in the main stem apex (0-5 cm) and sub-apex (5-10 cm). Plant growth parameters, including plant height (PH), number of fruit branches (NFB), average length of upper fruit branches (LFB), and average length of upper internodes (LUI) on the main stem, were also systematically observed and recorded. The variations in IAA and ABA contents were directly proportional to the concentration of the chemical agent, whereas changes in ZR content exhibited an inverse relationship. The fluctuation in GA3 content was most pronounced at medium concentration. The variations in IAA, ABA and ZR contents of different dosages were more evident when treatment was applied on July 13th, while no obvious differences were observed in GA3 content between the two application timings. IAA content showed marked variation at the main stem apex, whereas ZR content varied more noticeably at the sub-apex; in contrast, ABA and GA3 levels exhibited only slight differences between the two sampling sites. Chemical capping effectively inhibited plant growth. The inhibitory effects on NFB and LFB intensified with treatment concentration increasing. For the July 13th application, the degree of inhibition on PH was positively correlated with treatment concentration, whereas for the July 18th application, the suppression of both PH and LUI was more pronounced at medium treatment concentration. Following treatment with a chemical capping agent, the levels of IAA and GA3 at the apical region of the main stem decreased significantly, whereas ABA content increased markedly, and ZR content remained relatively unchanged. Furthermore, the reductions in IAA and ABA levels were directly proportional to the concentration of the capping agent, with earlier application resulting in more pronounced effects. Notably, IAA content at the apex of the main stem and ZR content in the subapical exhibited significant changes. Plant development was inhibited after capping treatment, and this growth suppression was consistent with the observed hormonal fluctuations. In the future, combined with the yield and fiber quality indicators, the application parameters of chemical capping agent can be optimized, and a simplified cultivation technology system suitable for the cotton area of Liaohe River Basin can be established.

Key words: cotton, chemical capping, agent concentration, application timing, apical of main stem, endogenous hormone, plant development