
Chinese Agricultural Science Bulletin ›› 2026, Vol. 42 ›› Issue (3): 48-56.doi: 10.11924/j.issn.1000-6850.casb2025-0221
Previous Articles Next Articles
LUO Jing1(
), DU Shanshan1, YAO Qingqing1, WANG Dongli1, HE Zhongsheng1, SUN Huijian1(
), WANG Ruijun2
Received:2025-03-20
Revised:2025-10-11
Online:2026-02-15
Published:2026-02-09
LUO Jing, DU Shanshan, YAO Qingqing, WANG Dongli, HE Zhongsheng, SUN Huijian, WANG Ruijun. Effect of NaCl and Na2SO4 Salt Stress on the Germination of Upland Cotton Seeds and Screening of Salt-tolerant Germplasm[J]. Chinese Agricultural Science Bulletin, 2026, 42(3): 48-56.
Add to citation manager EndNote|Ris|BibTeX
URL: https://www.casb.org.cn/EN/10.11924/j.issn.1000-6850.casb2025-0221
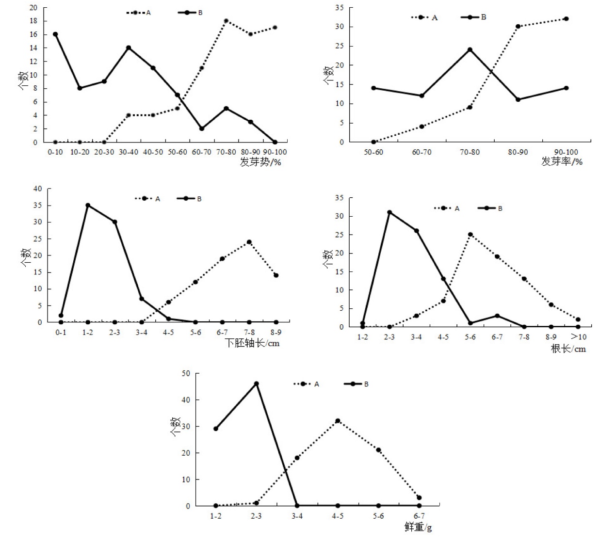
| 处理 | 统计参数 | 发芽势/% | 发芽率/% | 下胚轴长/cm | 根长/cm | 鲜重/g |
|---|---|---|---|---|---|---|
| NaCl胁迫 | 最小值 | 36.67 | 61.67 | 4.46 | 3.16 | 2.45 |
| 最大值 | 100.00 | 100.00 | 8.88 | 11.05 | 6.92 | |
| 均值 | 74.53 | 86.78 | 6.87 | 6.31 | 4.60 | |
| 标准差 | 16.63 | 9.05 | 1.11 | 1.44 | 0.81 | |
| 变异系数/% | 22.31 | 10.43 | 16.16 | 22.77 | 17.66 | |
| 较对照变化 | 均值 | -12.67 | -6.29 | -1.79 | -1.34 | -0.62 |
| 变异系数/% | 10.37 | 4.34 | 6.13 | -5.03 | 1.97 | |
| Na2SO4胁迫 | 最小值 | 0.00 | 50.00 | 0.65 | 1.86 | 1.01 |
| 最大值 | 88.33 | 100.00 | 4.13 | 6.56 | 2.91 | |
| 均值 | 32.73 | 74.27 | 2.08 | 3.37 | 2.14 | |
| 标准差 | 23.05 | 14.36 | 0.71 | 0.98 | 0.44 | |
| 变异系数/% | 70.43 | 19.33 | 34.01 | 29.02 | 20.69 | |
| 较对照变化 | 均值 | -54.47 | -18.80 | -6.58 | -4.28 | -3.08 |
| 变异系数/% | 58.49 | 13.24 | 23.98 | 1.22 | 5.00 | |
| 对照 | 最小值 | 46.67 | 73.33 | 6.43 | 3.01 | 3.49 |
| 最大值 | 100.00 | 100.00 | 10.82 | 13.93 | 7.31 | |
| 均值 | 87.20 | 93.07 | 8.66 | 7.65 | 5.22 | |
| 标准差 | 10.41 | 5.66 | 0.87 | 2.13 | 0.82 | |
| 变异系数/% | 11.94 | 6.09 | 10.03 | 27.80 | 15.69 |
| 处理 | 统计参数 | 发芽势/% | 发芽率/% | 下胚轴长/cm | 根长/cm | 鲜重/g |
|---|---|---|---|---|---|---|
| NaCl胁迫 | 最小值 | 36.67 | 61.67 | 4.46 | 3.16 | 2.45 |
| 最大值 | 100.00 | 100.00 | 8.88 | 11.05 | 6.92 | |
| 均值 | 74.53 | 86.78 | 6.87 | 6.31 | 4.60 | |
| 标准差 | 16.63 | 9.05 | 1.11 | 1.44 | 0.81 | |
| 变异系数/% | 22.31 | 10.43 | 16.16 | 22.77 | 17.66 | |
| 较对照变化 | 均值 | -12.67 | -6.29 | -1.79 | -1.34 | -0.62 |
| 变异系数/% | 10.37 | 4.34 | 6.13 | -5.03 | 1.97 | |
| Na2SO4胁迫 | 最小值 | 0.00 | 50.00 | 0.65 | 1.86 | 1.01 |
| 最大值 | 88.33 | 100.00 | 4.13 | 6.56 | 2.91 | |
| 均值 | 32.73 | 74.27 | 2.08 | 3.37 | 2.14 | |
| 标准差 | 23.05 | 14.36 | 0.71 | 0.98 | 0.44 | |
| 变异系数/% | 70.43 | 19.33 | 34.01 | 29.02 | 20.69 | |
| 较对照变化 | 均值 | -54.47 | -18.80 | -6.58 | -4.28 | -3.08 |
| 变异系数/% | 58.49 | 13.24 | 23.98 | 1.22 | 5.00 | |
| 对照 | 最小值 | 46.67 | 73.33 | 6.43 | 3.01 | 3.49 |
| 最大值 | 100.00 | 100.00 | 10.82 | 13.93 | 7.31 | |
| 均值 | 87.20 | 93.07 | 8.66 | 7.65 | 5.22 | |
| 标准差 | 10.41 | 5.66 | 0.87 | 2.13 | 0.82 | |
| 变异系数/% | 11.94 | 6.09 | 10.03 | 27.80 | 15.69 |
| 处理 | 测定指标 | 相对发芽势 | 相对发芽率 | 相对下胚轴长 | 相对根长 | 相对鲜重 |
|---|---|---|---|---|---|---|
| NaCl胁迫 | 相对发芽势 | 1 | ||||
| 相对发芽率 | 0.745** | 1 | ||||
| 相对下胚轴长 | 0.292* | 0.378** | 1 | |||
| 相对根长 | 0.096 | 0.146 | 0.161 | 1 | ||
| 相对鲜重 | 0.207 | 0.241* | 0.605** | 0.228* | 1 | |
| Na2SO4胁迫 | 相对发芽势 | 1 | ||||
| 相对发芽率 | 0.446** | 1 | ||||
| 相对下胚轴长 | 0.641** | 0.417** | 1 | |||
| 相对根长 | 0.562** | 0.306** | 0.534** | 1 | ||
| 相对鲜重 | 0.558** | 0.260* | 0.717** | 0.623** | 1 |
| 处理 | 测定指标 | 相对发芽势 | 相对发芽率 | 相对下胚轴长 | 相对根长 | 相对鲜重 |
|---|---|---|---|---|---|---|
| NaCl胁迫 | 相对发芽势 | 1 | ||||
| 相对发芽率 | 0.745** | 1 | ||||
| 相对下胚轴长 | 0.292* | 0.378** | 1 | |||
| 相对根长 | 0.096 | 0.146 | 0.161 | 1 | ||
| 相对鲜重 | 0.207 | 0.241* | 0.605** | 0.228* | 1 | |
| Na2SO4胁迫 | 相对发芽势 | 1 | ||||
| 相对发芽率 | 0.446** | 1 | ||||
| 相对下胚轴长 | 0.641** | 0.417** | 1 | |||
| 相对根长 | 0.562** | 0.306** | 0.534** | 1 | ||
| 相对鲜重 | 0.558** | 0.260* | 0.717** | 0.623** | 1 |
| 处理 | 主成分 | 特征根 | 贡献率/% | 累计贡献率/% | 特征向量 | ||||
|---|---|---|---|---|---|---|---|---|---|
| 发芽势 | 发芽率 | 下胚轴长 | 根长 | 鲜重 | |||||
| NaCl 胁迫 | CI1 | 2.316 | 46.323 | 46.323 | 0.747 | 0.798 | 0.745 | 0.350 | 0.667 |
| CI2 | 1.162 | 23.424 | 69.565 | -0.557 | -0.478 | 0.378 | 0.406 | 0.561 | |
| CI3 | 0.891 | 17.825 | 87.390 | 0.071 | 0.080 | -0.329 | 0.842 | -0.250 | |
| Na2SO4胁迫 | CI1 | 3.060 | 61.204 | 61.204 | 0.827 | 0.575 | 0.862 | 0.782 | 0.830 |
| CI2 | 0.814 | 16.288 | 77.492 | 0.102 | 0.785 | -0.063 | -0.242 | -0.353 | |
| CI3 | 0.480 | 9.590 | 87.083 | 0.013 | 0.058 | -0.379 | 0.549 | -0.177 | |
| 处理 | 主成分 | 特征根 | 贡献率/% | 累计贡献率/% | 特征向量 | ||||
|---|---|---|---|---|---|---|---|---|---|
| 发芽势 | 发芽率 | 下胚轴长 | 根长 | 鲜重 | |||||
| NaCl 胁迫 | CI1 | 2.316 | 46.323 | 46.323 | 0.747 | 0.798 | 0.745 | 0.350 | 0.667 |
| CI2 | 1.162 | 23.424 | 69.565 | -0.557 | -0.478 | 0.378 | 0.406 | 0.561 | |
| CI3 | 0.891 | 17.825 | 87.390 | 0.071 | 0.080 | -0.329 | 0.842 | -0.250 | |
| Na2SO4胁迫 | CI1 | 3.060 | 61.204 | 61.204 | 0.827 | 0.575 | 0.862 | 0.782 | 0.830 |
| CI2 | 0.814 | 16.288 | 77.492 | 0.102 | 0.785 | -0.063 | -0.242 | -0.353 | |
| CI3 | 0.480 | 9.590 | 87.083 | 0.013 | 0.058 | -0.379 | 0.549 | -0.177 | |
| 序号 | 名称 | NaCl 胁迫 | Na2SO4胁迫 | 序号 | 名称 | NaCl胁迫 | Na2SO4胁迫 | |||||||||||||||
|---|---|---|---|---|---|---|---|---|---|---|---|---|---|---|---|---|---|---|---|---|---|---|
| D值 | 排序 | D值 | 排序 | D值 | 排序 | D值 | 排序 | |||||||||||||||
| 1 | 创棉501号 | 0.284 | 19 | 0.145 | 74 | 39 | 冀棉669 | 0.200 | 44 | 0.130 | 75 | |||||||||||
| 2 | 创棉508 | 0.158 | 61 | 0.526 | 21 | 40 | 快育2号 | 0.227 | 38 | 0.333 | 53 | |||||||||||
| 3 | 创棉512 | 0.200 | 45 | 0.258 | 64 | 41 | 农大棉8号 | 0.221 | 41 | 0.435 | 36 | |||||||||||
| 4 | 创棉519 | 0.242 | 35 | 0.446 | 32 | 42 | 农大棉12号 | 0.293 | 17 | 0.240 | 66 | |||||||||||
| 5 | 金垦1442 | 0.248 | 30 | 0.519 | 22 | 43 | 农大棉13号 | 0.241 | 36 | 0.255 | 65 | |||||||||||
| 6 | 新陆早42号 | 0.274 | 21 | 0.572 | 16 | 44 | 日辉棉6号 | 0.358 | 5 | 0.583 | 12 | |||||||||||
| 7 | 新陆早62号 | 0.321 | 9 | 0.350 | 48 | 45 | 神牛棉2号 | 0.246 | 33 | 0.185 | 70 | |||||||||||
| 8 | 新陆中55号 | 0.109 | 73 | 0.440 | 35 | 46 | 运8404 | 0.164 | 60 | 0.326 | 54 | |||||||||||
| 9 | 新陆中67号 | 0.259 | 27 | 0.163 | 71 | 47 | 中078 | 0.167 | 59 | 0.318 | 57 | |||||||||||
| 10 | 新陆中69号 | 0.170 | 58 | 0.583 | 13 | 48 | 中331-33 | 0.276 | 20 | 0.308 | 58 | |||||||||||
| 11 | 新6015 | 0.346 | 6 | 0.601 | 10 | 49 | 中773-72 | 0.309 | 13 | 0.350 | 49 | |||||||||||
| 12 | 新陆中54号 | 0.154 | 62 | 0.405 | 40 | 50 | 中5765 | 0.262 | 25 | 0.278 | 61 | |||||||||||
| 13 | 新陆中73号 | 0.322 | 8 | 0.696 | 4 | 51 | 中880327 | 0.152 | 64 | 0.454 | 30 | |||||||||||
| 14 | 新陆中76号 | 0.316 | 12 | 0.440 | 34 | 52 | 中893181 | 0.261 | 26 | 0.344 | 50 | |||||||||||
| 15 | 新陆中80号 | 0.114 | 72 | 0.341 | 51 | 53 | 中AR681-316 | 0.174 | 55 | 0.294 | 60 | |||||||||||
| 16 | 新陆中83号 | 0.117 | 71 | 0.615 | 8 | 54 | 中R03 | 0.399 | 3 | 0.207 | 68 | |||||||||||
| 17 | 新陆早57号 | 0.248 | 32 | 0.430 | 37 | 55 | 中R93-4 | 0.319 | 10 | 0.153 | 72 | |||||||||||
| 18 | 新陆早73号 | 0.412 | 1 | 0.742 | 3 | 56 | 中R773-309 | 0.255 | 29 | 0.612 | 9 | |||||||||||
| 19 | 新陆中81号 | 0.179 | 51 | 0.376 | 43 | 57 | 中R773-310 | 0.221 | 40 | 0.384 | 41 | |||||||||||
| 20 | 新陆中86号 | 0.318 | 11 | 0.455 | 29 | 58 | 中R773-314 | 0.263 | 24 | 0.430 | 38 | |||||||||||
| 21 | 中棉所96A | 0.146 | 65 | 0.516 | 23 | 59 | 中R773-329 | 0.208 | 43 | 0.450 | 31 | |||||||||||
| 22 | 中棉所96B | 0.372 | 4 | 0.824 | 1 | 60 | 中R971708 | 0.248 | 31 | 0.577 | 15 | |||||||||||
| 23 | 欣试518 | 0.272 | 23 | 0.260 | 63 | 61 | 中RO14121 | 0.124 | 68 | 0.381 | 42 | |||||||||||
| 24 | 新陆中87号 | 0.174 | 57 | 0.473 | 26 | 62 | 中资512 | 0.289 | 18 | 0.357 | 47 | |||||||||||
| 25 | H33-1-4 | 0.302 | 14 | 0.321 | 55 | 63 | 中资04184 | 0.244 | 34 | 0.202 | 69 | |||||||||||
| 26 | H216 | 0.119 | 70 | 0.599 | 11 | 64 | 新陆中102 | 0.179 | 50 | 0.296 | 59 | |||||||||||
| 27 | H219 | 0.189 | 49 | 0.465 | 28 | 65 | 新陆中104 | 0.174 | 56 | 0.409 | 39 | |||||||||||
| 28 | T115 | 0.198 | 46 | 0.578 | 14 | 66 | 新陆中106 | 0.142 | 66 | 0.488 | 24 | |||||||||||
| 29 | 新陆早64号 | 0.178 | 52 | 0.641 | 7 | 67 | D27565 | 0.221 | 39 | 0.472 | 27 | |||||||||||
| 30 | 新陆早65号 | 0.153 | 63 | 0.235 | 67 | 68 | HY169 | 0.293 | 16 | 0.483 | 25 | |||||||||||
| 31 | 新陆早81号 | 0.259 | 28 | 0.749 | 2 | 69 | 邯816 | 0.093 | 74 | 0.656 | 6 | |||||||||||
| 32 | 新陆早82号 | 0.191 | 48 | 0.545 | 19 | 70 | 邯903 | 0.175 | 54 | 0.569 | 17 | |||||||||||
| 33 | Ari971 | 0.297 | 15 | 0.366 | 45 | 71 | 冀丰1271 | 0.081 | 75 | 0.685 | 5 | |||||||||||
| 34 | 澳引991 | 0.329 | 7 | 0.376 | 44 | 72 | 冀农大35号 | 0.273 | 22 | 0.444 | 33 | |||||||||||
| 35 | 邯258 | 0.212 | 42 | 0.337 | 52 | 73 | 冀农大37号 | 0.119 | 69 | 0.544 | 20 | |||||||||||
| 36 | 邯8266 | 0.400 | 2 | 0.361 | 46 | 74 | 中棉EB005 | 0.133 | 67 | 0.147 | 73 | |||||||||||
| 37 | 邯无198 | 0.195 | 47 | 0.267 | 62 | 75 | 鲁棉378 | 0.233 | 37 | 0.561 | 18 | |||||||||||
| 38 | 冀丰4号 | 0.178 | 53 | 0.321 | 56 | |||||||||||||||||
| 序号 | 名称 | NaCl 胁迫 | Na2SO4胁迫 | 序号 | 名称 | NaCl胁迫 | Na2SO4胁迫 | |||||||||||||||
|---|---|---|---|---|---|---|---|---|---|---|---|---|---|---|---|---|---|---|---|---|---|---|
| D值 | 排序 | D值 | 排序 | D值 | 排序 | D值 | 排序 | |||||||||||||||
| 1 | 创棉501号 | 0.284 | 19 | 0.145 | 74 | 39 | 冀棉669 | 0.200 | 44 | 0.130 | 75 | |||||||||||
| 2 | 创棉508 | 0.158 | 61 | 0.526 | 21 | 40 | 快育2号 | 0.227 | 38 | 0.333 | 53 | |||||||||||
| 3 | 创棉512 | 0.200 | 45 | 0.258 | 64 | 41 | 农大棉8号 | 0.221 | 41 | 0.435 | 36 | |||||||||||
| 4 | 创棉519 | 0.242 | 35 | 0.446 | 32 | 42 | 农大棉12号 | 0.293 | 17 | 0.240 | 66 | |||||||||||
| 5 | 金垦1442 | 0.248 | 30 | 0.519 | 22 | 43 | 农大棉13号 | 0.241 | 36 | 0.255 | 65 | |||||||||||
| 6 | 新陆早42号 | 0.274 | 21 | 0.572 | 16 | 44 | 日辉棉6号 | 0.358 | 5 | 0.583 | 12 | |||||||||||
| 7 | 新陆早62号 | 0.321 | 9 | 0.350 | 48 | 45 | 神牛棉2号 | 0.246 | 33 | 0.185 | 70 | |||||||||||
| 8 | 新陆中55号 | 0.109 | 73 | 0.440 | 35 | 46 | 运8404 | 0.164 | 60 | 0.326 | 54 | |||||||||||
| 9 | 新陆中67号 | 0.259 | 27 | 0.163 | 71 | 47 | 中078 | 0.167 | 59 | 0.318 | 57 | |||||||||||
| 10 | 新陆中69号 | 0.170 | 58 | 0.583 | 13 | 48 | 中331-33 | 0.276 | 20 | 0.308 | 58 | |||||||||||
| 11 | 新6015 | 0.346 | 6 | 0.601 | 10 | 49 | 中773-72 | 0.309 | 13 | 0.350 | 49 | |||||||||||
| 12 | 新陆中54号 | 0.154 | 62 | 0.405 | 40 | 50 | 中5765 | 0.262 | 25 | 0.278 | 61 | |||||||||||
| 13 | 新陆中73号 | 0.322 | 8 | 0.696 | 4 | 51 | 中880327 | 0.152 | 64 | 0.454 | 30 | |||||||||||
| 14 | 新陆中76号 | 0.316 | 12 | 0.440 | 34 | 52 | 中893181 | 0.261 | 26 | 0.344 | 50 | |||||||||||
| 15 | 新陆中80号 | 0.114 | 72 | 0.341 | 51 | 53 | 中AR681-316 | 0.174 | 55 | 0.294 | 60 | |||||||||||
| 16 | 新陆中83号 | 0.117 | 71 | 0.615 | 8 | 54 | 中R03 | 0.399 | 3 | 0.207 | 68 | |||||||||||
| 17 | 新陆早57号 | 0.248 | 32 | 0.430 | 37 | 55 | 中R93-4 | 0.319 | 10 | 0.153 | 72 | |||||||||||
| 18 | 新陆早73号 | 0.412 | 1 | 0.742 | 3 | 56 | 中R773-309 | 0.255 | 29 | 0.612 | 9 | |||||||||||
| 19 | 新陆中81号 | 0.179 | 51 | 0.376 | 43 | 57 | 中R773-310 | 0.221 | 40 | 0.384 | 41 | |||||||||||
| 20 | 新陆中86号 | 0.318 | 11 | 0.455 | 29 | 58 | 中R773-314 | 0.263 | 24 | 0.430 | 38 | |||||||||||
| 21 | 中棉所96A | 0.146 | 65 | 0.516 | 23 | 59 | 中R773-329 | 0.208 | 43 | 0.450 | 31 | |||||||||||
| 22 | 中棉所96B | 0.372 | 4 | 0.824 | 1 | 60 | 中R971708 | 0.248 | 31 | 0.577 | 15 | |||||||||||
| 23 | 欣试518 | 0.272 | 23 | 0.260 | 63 | 61 | 中RO14121 | 0.124 | 68 | 0.381 | 42 | |||||||||||
| 24 | 新陆中87号 | 0.174 | 57 | 0.473 | 26 | 62 | 中资512 | 0.289 | 18 | 0.357 | 47 | |||||||||||
| 25 | H33-1-4 | 0.302 | 14 | 0.321 | 55 | 63 | 中资04184 | 0.244 | 34 | 0.202 | 69 | |||||||||||
| 26 | H216 | 0.119 | 70 | 0.599 | 11 | 64 | 新陆中102 | 0.179 | 50 | 0.296 | 59 | |||||||||||
| 27 | H219 | 0.189 | 49 | 0.465 | 28 | 65 | 新陆中104 | 0.174 | 56 | 0.409 | 39 | |||||||||||
| 28 | T115 | 0.198 | 46 | 0.578 | 14 | 66 | 新陆中106 | 0.142 | 66 | 0.488 | 24 | |||||||||||
| 29 | 新陆早64号 | 0.178 | 52 | 0.641 | 7 | 67 | D27565 | 0.221 | 39 | 0.472 | 27 | |||||||||||
| 30 | 新陆早65号 | 0.153 | 63 | 0.235 | 67 | 68 | HY169 | 0.293 | 16 | 0.483 | 25 | |||||||||||
| 31 | 新陆早81号 | 0.259 | 28 | 0.749 | 2 | 69 | 邯816 | 0.093 | 74 | 0.656 | 6 | |||||||||||
| 32 | 新陆早82号 | 0.191 | 48 | 0.545 | 19 | 70 | 邯903 | 0.175 | 54 | 0.569 | 17 | |||||||||||
| 33 | Ari971 | 0.297 | 15 | 0.366 | 45 | 71 | 冀丰1271 | 0.081 | 75 | 0.685 | 5 | |||||||||||
| 34 | 澳引991 | 0.329 | 7 | 0.376 | 44 | 72 | 冀农大35号 | 0.273 | 22 | 0.444 | 33 | |||||||||||
| 35 | 邯258 | 0.212 | 42 | 0.337 | 52 | 73 | 冀农大37号 | 0.119 | 69 | 0.544 | 20 | |||||||||||
| 36 | 邯8266 | 0.400 | 2 | 0.361 | 46 | 74 | 中棉EB005 | 0.133 | 67 | 0.147 | 73 | |||||||||||
| 37 | 邯无198 | 0.195 | 47 | 0.267 | 62 | 75 | 鲁棉378 | 0.233 | 37 | 0.561 | 18 | |||||||||||
| 38 | 冀丰4号 | 0.178 | 53 | 0.321 | 56 | |||||||||||||||||
| 耐盐类型 | NaCl/Na2SO4盐胁迫 | 品种(系)数 | 品种(系)名称 |
|---|---|---|---|
| 高耐 | 6/1 | 1 | 中棉所96B |
| 耐盐 | 13/6 | 1 | 新陆中73号 |
| 中耐 | 22/16 | 5 | 金垦1442、新陆早42号、中R773-309、中R971708、鲁棉378 |
| 敏感 | 25/37 | 14 | 新陆中54号、新陆中81号、新陆中87号、H219、邯258、冀丰4号、运8404、中078、中880327、中AR681-316、中R773-329、新陆中102、新陆中104、新陆中106 |
| 高感 | 9/15 | 1 | 中棉EB005 |
| 耐盐类型 | NaCl/Na2SO4盐胁迫 | 品种(系)数 | 品种(系)名称 |
|---|---|---|---|
| 高耐 | 6/1 | 1 | 中棉所96B |
| 耐盐 | 13/6 | 1 | 新陆中73号 |
| 中耐 | 22/16 | 5 | 金垦1442、新陆早42号、中R773-309、中R971708、鲁棉378 |
| 敏感 | 25/37 | 14 | 新陆中54号、新陆中81号、新陆中87号、H219、邯258、冀丰4号、运8404、中078、中880327、中AR681-316、中R773-329、新陆中102、新陆中104、新陆中106 |
| 高感 | 9/15 | 1 | 中棉EB005 |
| [1] |
孙璐, 周宇飞, 李丰先, 等. 盐胁迫对高粱幼苗光合作用和荧光特性的影响[J]. 中国农业科学, 2012, 45(16):3265-3272.
doi: 10.3864/j.issn.0578-1752.2012.16.005 |
| [2] |
杨劲松. 中国盐渍土研究的发展历程与展望[J]. 土壤学报, 2008, 45(5):837-845.
|
| [3] |
孟晨, 鲁雪莉, 王菊英, 等. 不同类型盐胁迫对小黑麦种子萌发的影响[J]. 草业学报, 2023, 32(12):171-180.
doi: 10.11686/cyxb2023068 |
| [4] |
罗静, 孙绘健, 杜珊珊, 等. 25个不同基因型陆地棉品种种子萌发期耐盐性评价[J]. 中国棉花, 2024, 51(7):23-30.
doi: 10.11963/cc20230209 |
| [5] |
杨淑萍, 危常州, 梁永超. 盐胁迫对不同基因型海岛棉种子萌发特性的影响[J]. 中国棉花, 2012, 39(12):6-10.
doi: 10.11963/issn.1000-632X.20121203 |
| [6] |
李双男, 郭慧娟, 王晶. 不同盐碱胁迫对棉花种子萌发的影响[J]. 种子, 2018, 37(1):38-45.
|
| [7] |
祁通, 孙阳讯, 黄建, 等. 两种盐生植物在南北疆地区的适生性及吸盐能力[J]. 中国土壤与肥料, 2017(1):144-148.
|
| [8] |
刘蕾. 新疆土壤盐分的组成和分布特征[J]. 干旱环境监测, 2009, 23(4):227-229.
|
| [9] |
徐佳陵, 曾文官, 袁延超, 等. 陆地棉种质资源萌发出苗期耐盐性鉴定[J]. 山东农业科学, 2017, 49(9):32-36.
|
| [10] |
王俊娟, 王德龙, 樊伟莉, 等. 陆地棉萌发至三叶期不同生育阶段耐盐特性[J]. 生态学报, 2011(13):3720-3727.
|
| [11] |
苏秀娟, 徐海江, 邓晓娟, 等. 盐胁迫对海岛棉种子活力的影响[J]. 新疆农业科学, 2020, 57(9):1604-1614.
doi: 10.6048/j.issn.1001-4330.2020.09.005 |
| [12] |
张国伟, 路海玲, 张雷, 等. 棉花萌发期和苗期耐盐性评价及耐盐指标筛选[J]. 应用生态学报, 2011, 22(8):2045-2053.
|
| [13] |
白灯莎·买买提艾力, 张少民, 孙良斌, 等. 新疆不同年代27个棉花品种(系)种子萌发阶段耐盐能力比较[J]. 西北农业学报, 2012, 21(1):72-79.
|
| [14] |
库尼都孜阿依·吐尔汗, 任毅, 颜安, 等. 新疆冬小麦品种萌发期耐盐性综合评价及耐盐种质的筛选[J]. 新疆农业科学, 2020, 57(1):20-31.
doi: 10.6048/j.issn.1001-4330.2020.01.003 |
| [15] |
郑巨云, 曾辉, 王俊铎, 等. 陆地棉品种资源萌发期耐盐性的隶属函数法评价[J]. 新疆农业科学, 2018, 55(9):1579-1592.
doi: 10.6048/j.issn.1001-4330.2018.09.002 |
| [16] |
白灯莎·买买提艾力, 李寒暝, 张少民, 等. 不同棉花品种种子萌发阶段耐盐性综合评价[J]. 新疆农业科学, 2011, 48(1):18-24.
|
| [17] |
徐宁, 陈冰嬬, 王明海, 等. 绿豆品种资源萌发期耐碱性鉴定[J]. 作物学报, 2017, 43(1):112-121.
|
| [18] |
严青青, 张巨松, 李星星, 等. 盐碱胁迫对海岛棉种子萌发及幼苗根系生长的影响[J]. 作物学报, 2019, 45(1):100-110.
doi: 10.3724/SP.J.1006.2019.84067 |
| [19] |
王俊娟, 叶武威, 周大云, 等. 盐胁迫下不同耐盐类型棉花的萌发特性[J]. 棉花学报, 2007, 19(4):315-317.
|
| [20] |
吴文超, 曲延英, 高文伟, 等. 不同棉花品种对盐、旱胁迫的光合响应及抗逆性评价[J]. 新疆农业科学, 2016, 53(9):1569-1579.
|
| [21] |
王兰芬, 武晶, 景蕊莲, 等. 绿豆种质资源苗期抗旱性鉴定[J]. 作物学报, 2015, 41(1):145-153.
|
| [22] |
任毅, 颜安, 张芳, 等. 国内外301份小麦品种(系)种子萌发期抗旱性鉴定及评价[J]. 干旱地区农业研究, 2019, 37(3):1-14.
|
| [23] |
李衣, 潘磊, 吴华, 等. 60份豇豆品种资源的耐盐能力评判[J]. 植物遗传资源学报, 2016, 17(1):70-77.
|
| [24] |
张卫星, 赵致, 柏光晓, 等. 不同基因型玉米自己系的抗旱性研究与评价[J]. 玉米科学, 2007, 15(5):6-11.
|
| [25] |
罗静, 杜珊珊, 孙绘健, 等. 陆地棉种质资源种子萌发期耐盐性综合评价[J]. 中国农学通报, 2025, 41(3):25-35.
doi: 10.11924/j.issn.1000-6850.casb2024-0368 |
| [26] |
于莹, 程莉莉, 赵东升, 等. 亚麻品种萌发期耐盐性鉴定[J]. 黑龙江农业科学, 2015(1):1-5.
|
| [1] | WEI Xiaojuan, YANG Deren, ZHANG Xing, LIU Kai, LAN Jinxuan. Preliminary Identifying Camellia Hybrids F1 by Using SSR Molecular Makers [J]. Chinese Agricultural Science Bulletin, 2026, 42(3): 57-64. |
| [2] | LIU Sixi, HUANG Xiangqing, DAI Tingyun, SUN Jiawei, CHEN Huihuan, GAO Tian, TANG Xueqin, YANG Yuping, YAN Hong. Effects of Sowing Date and Seeding Rate on Population Growth and Yield of Winter Wheat in Chengdu Plain Area [J]. Chinese Agricultural Science Bulletin, 2026, 42(2): 32-39. |
| [3] | JI Bingyi. Evolution of Main Characteristics of Peanut Varieties Registered in Liaoning Province from 2017 to 2024 [J]. Chinese Agricultural Science Bulletin, 2026, 42(2): 40-49. |
| [4] | QUAN Shenchun, MA Yongpeng, LONG Yunxing, WANG Xi, GAO Chaowen, YUE Kai, PAN Zengrong, DENG Qiwei, LIU Yuanjian. Effects of Different Seedling-raising Substrates on Seed Germination and Seedling Growth of Panax japonicus [J]. Chinese Agricultural Science Bulletin, 2026, 42(1): 110-115. |
| [5] | WANG Wenli, YIN Xiaoning, JIN Haibo, MA Lei, NIU Junqiang, MA Ming. Effects of Microbial Agents on Apple Seedlings Growth and Rhizosphere Soil Microorganism [J]. Chinese Agricultural Science Bulletin, 2026, 42(1): 142-152. |
| [6] | JIANG Kunlian, FENG Changchun, HAN Lihong, SUN Long, HUANG Kanghui, JIANG Hong, CAI Yan. Effects of New Bio-organic Fertilizer on Growth of Flue-cured Tobacco [J]. Chinese Agricultural Science Bulletin, 2026, 42(1): 20-26. |
| [7] | XIA Jiamiao, DENG Xiaoxia, LIN Ruizhu, DU Yatong, WANG Jinghong, LIN Jixiang. Progress on Omics Techniques of Seed Dormancy and Dormancy Release [J]. Chinese Agricultural Science Bulletin, 2026, 42(1): 43-59. |
| [8] | YANG Shujiao, YANG Jianjun, WANG Sheng, WANG Youbing, LI Jinliang, HE Meng, ZHANG Ying, HU Changping, CUI Maohuan, JIANG Jianfa. Study on Flora Characteristics of Seed Plants in Jizu Mountains of Yunnan Province [J]. Chinese Agricultural Science Bulletin, 2026, 42(1): 50-55. |
| [9] | QI Shuokun, ZHANG Yiyang, MA Yu, LIU Haolin, SHI Juncong, WU Longguo. Effect of Brackish Water on Growth and Quality of Cherry Tomatoes [J]. Chinese Agricultural Science Bulletin, 2026, 42(1): 56-69. |
| [10] | XU Cunfa, SUN Yiwen, WANG Ning, WANG Jialei, YANG Chenye, CHEN Liyang, SHAN Chengjun. Quality Analysis and Comprehensive Evaluation of Different Varieties of Small Fruit Watermelon [J]. Chinese Agricultural Science Bulletin, 2026, 42(1): 70-76. |
| [11] | HUANG Rong, TANG Ling, WANG Weicheng, CHANG Qiang, LI Kuanying, HE Huan, PAN Yanhua. Response of Morphological Traits and Chlorophyll Fluorescence of Paeonia lactiflora Leaves to Drought Stress and Evaluation of Drought Resistance [J]. Chinese Agricultural Science Bulletin, 2026, 42(1): 92-102. |
| [12] | LIANG Wenzhao, ZHOU Shiyi, WEI Ruiyan, SHI Linya, LIU Naixin, YU Qingtao. Effect of Graphene Oxide on Rice Seed Germination Under Salt Stress [J]. Chinese Agricultural Science Bulletin, 2025, 41(9): 1-7. |
| [13] | JIANG Zijian, YANG Maolin, YANG Xiaoxu, LIU Chang, LIU Dajun, FENG Guojun. Effects of Abscisic Acid on Growth and Cold Resistance of Phaseolus vulgaris Seedlings Under Low Temperature Stress [J]. Chinese Agricultural Science Bulletin, 2025, 41(9): 38-46. |
| [14] | SU Zechun, YANG Wenhong, YANG Yanlin, YANG Zhengsong, HE Jianping, MU Yongqing, YU Ying, HE Jiawei. Evaluation of Drought Tolerance of Introduced Blueberry Varieties in Northwest Yunnan [J]. Chinese Agricultural Science Bulletin, 2025, 41(9): 56-64. |
| [15] | ZHANG Xiaohong, YAN Zheng, WEI Guangbiao. Different Strains of Sweet Potato: Comparison of Accumulation Ability of Exogenous Organic Selenium [J]. Chinese Agricultural Science Bulletin, 2025, 41(8): 31-38. |
| Viewed | ||||||
|
Full text |
|
|||||
|
Abstract |
|
|||||