中国农学通报 ›› 2025, Vol. 41 ›› Issue (28): 102-110.doi: 10.11924/j.issn.1000-6850.casb2024-0527
收稿日期:2024-08-11
修回日期:2024-12-24
出版日期:2025-10-05
发布日期:2025-10-10
通讯作者:
作者简介:刘雅琪,女,1999年出生,河北保定人,硕士研究生,研究方向:微生物生态学。通信地址:150080 黑龙江省哈尔滨市南岗区黑龙江大学,E-mail:Yaky9962@163.com。
基金资助:
LIU Yaqi(
), LAO Yahui, LI Chongwei(
)
Received:2024-08-11
Revised:2024-12-24
Published:2025-10-05
Online:2025-10-10
摘要:
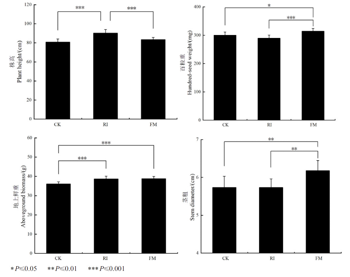
连作障碍现象严重制约紫苏的产量和质量。为探究不同丛枝菌根真菌(AMF)对紫苏连作障碍的缓解效果,通过向连作土壤中分别添加丛枝菌根真菌(AMF)根内根孢囊霉(RI)和摩西管柄囊霉(FM),测定紫苏地上生长指标,结合土壤理化性质、土壤酶活性及微生物群落结构,探讨2种AMF对紫苏生长的影响。结果表明,添加2种AMF能显著提高土壤中有机质、全氮、全磷和全钾含量(P<0.05),提高土壤脲酶和磷酸酶活性,增加土壤微生物群落中有益菌丰度,连作土壤酸化趋势得到缓解,紫苏生长指标明显提高。2种AMF相比,RI在提高土壤酶活性方面影响更加明显,而FM改善土壤微生物群落结构的能力更强。研究阐明了2种AMF改善连作紫苏土壤的功能差异,为下一步筛选缓解紫苏连作障碍的微生物菌剂提供了理论依据。
刘雅琪, 劳雅慧, 李冲伟. 2种AMF介导下紫苏根际土壤理化性质和微生物多样性差异[J]. 中国农学通报, 2025, 41(28): 102-110.
LIU Yaqi, LAO Yahui, LI Chongwei. Differences in Physicochemical Properties and Microbial Diversity of Perilla Rhizosphere Soil Mediated by Two Arbuscular Mycorrhizal Fungi[J]. Chinese Agricultural Science Bulletin, 2025, 41(28): 102-110.
| 指标 | CK | RI | FM |
|---|---|---|---|
| pH | 6.54±0.11b | 6.86±0.06a | 6.83±0.10a |
| 铵态氮/(mg/kg) | 30.16±2.35a | 22.83±1.63b | 21.17±1.58b |
| 速效磷/(mg/kg) | 47.63±3.76b | 60.46±4.17a | 56.06±4.39a |
| 速效钾/(mg/kg) | 64.33±5.59c | 100.67±4.51a | 90.45±4.98b |
| 有机质/(g/kg) | 39.82±2.85c | 45.24±3.57b | 52.87±3.12a |
| 全氮/(g/kg) | 1.50±0.04b | 1.64±0.07a | 1.63±0.06a |
| 全磷/(g/kg) | 0.88±0.02b | 0.92±0.02ab | 0.92±0.01a |
| 全钾/(g/kg) | 20.8±0.51b | 22.6±0.41a | 21.56±0.46ab |
| 指标 | CK | RI | FM |
|---|---|---|---|
| pH | 6.54±0.11b | 6.86±0.06a | 6.83±0.10a |
| 铵态氮/(mg/kg) | 30.16±2.35a | 22.83±1.63b | 21.17±1.58b |
| 速效磷/(mg/kg) | 47.63±3.76b | 60.46±4.17a | 56.06±4.39a |
| 速效钾/(mg/kg) | 64.33±5.59c | 100.67±4.51a | 90.45±4.98b |
| 有机质/(g/kg) | 39.82±2.85c | 45.24±3.57b | 52.87±3.12a |
| 全氮/(g/kg) | 1.50±0.04b | 1.64±0.07a | 1.63±0.06a |
| 全磷/(g/kg) | 0.88±0.02b | 0.92±0.02ab | 0.92±0.01a |
| 全钾/(g/kg) | 20.8±0.51b | 22.6±0.41a | 21.56±0.46ab |
| 土壤酶 | CK | RI | FM |
|---|---|---|---|
| 脲酶 | 0.53±0.07b | 0.68±0.06a | 0.75±0.06a |
| 蔗糖酶 | 6.56±0.50a | 4.59±0.44b | 3.58±0.17c |
| 磷酸酶 | 1.54±0.12b | 1.74±0.14a | 1.72±0.08a |
| 过氧化氢酶 | 0.45±0.06c | 0.88±0.07a | 0.72±0.04b |
| 过氧化物酶 | 2.45±0.31b | 3.12±0.47a | 2.47±0.27b |
| 土壤酶 | CK | RI | FM |
|---|---|---|---|
| 脲酶 | 0.53±0.07b | 0.68±0.06a | 0.75±0.06a |
| 蔗糖酶 | 6.56±0.50a | 4.59±0.44b | 3.58±0.17c |
| 磷酸酶 | 1.54±0.12b | 1.74±0.14a | 1.72±0.08a |
| 过氧化氢酶 | 0.45±0.06c | 0.88±0.07a | 0.72±0.04b |
| 过氧化物酶 | 2.45±0.31b | 3.12±0.47a | 2.47±0.27b |
| 样本 | Chao1 | ACE | Shannon | Simpson |
|---|---|---|---|---|
| CK | 3032.77±24.67b | 3081.49±38.38b | 6.09±0.02b | 0.0067±0.0008b |
| RI | 3122.39±61.53ab | 3200.03±55.49ab | 6.32±0.05a | 0.0069±0.0011ab |
| FM | 3161.58±64.61a | 3254.64±78.68a | 6.31±0.04a | 0.0071±0.0004a |
| 样本 | Chao1 | ACE | Shannon | Simpson |
|---|---|---|---|---|
| CK | 3032.77±24.67b | 3081.49±38.38b | 6.09±0.02b | 0.0067±0.0008b |
| RI | 3122.39±61.53ab | 3200.03±55.49ab | 6.32±0.05a | 0.0069±0.0011ab |
| FM | 3161.58±64.61a | 3254.64±78.68a | 6.31±0.04a | 0.0071±0.0004a |
| 样本 | Chao1 | ACE | Shannon | Simpson |
|---|---|---|---|---|
| CK | 424.69±39.79b | 419.19±41.55b | 3.93±0.08c | 0.0409±0.0053b |
| RI | 507.73±50.35a | 504.55±46.33a | 4.31±0.17a | 0.0642±0.0389a |
| FM | 519.16±54.08a | 518.48±52.74a | 4.09±0.07b | 0.0466±0.0032b |
| 样本 | Chao1 | ACE | Shannon | Simpson |
|---|---|---|---|---|
| CK | 424.69±39.79b | 419.19±41.55b | 3.93±0.08c | 0.0409±0.0053b |
| RI | 507.73±50.35a | 504.55±46.33a | 4.31±0.17a | 0.0642±0.0389a |
| FM | 519.16±54.08a | 518.48±52.74a | 4.09±0.07b | 0.0466±0.0032b |
| [1] |
|
| [2] |
张胜男, 武美华, 逄玉万, 等. 连作障碍土壤改良措施研究进展[J]. 热带农业科学, 2024, 44(1):96-102.
|
| [3] |
doi: 10.1038/s41598-017-00472-6 pmid: 28336973 |
| [4] |
胡国彬, 董坤, 董艳, 等. 间作缓解蚕豆连作障碍的根际微生态效应[J]. 生态学报, 2016, 36(4):1010-1020.
|
| [5] |
|
| [6] |
|
| [7] |
郭娜, 张玥, 刘贤雍, 等. 丛枝菌根真菌提高植物耐盐性生理机制研究进展[J]. 江苏农业科学, 2023, 51(4):16-23.
|
| [8] |
|
| [9] |
梁锐婷, 魏丽娜, 接伟光, 等. 摩西管柄囊霉Funneliformis mosseae对连作大豆苗期根系AM真菌菌群结构的影响[J]. 中国农学通报, 2018, 34(1):18-26.
doi: 10.11924/j.issn.1000-6850.casb16110058 |
| [10] |
|
| [11] |
doi: 10.1016/j.chmed.2023.03.002 pmid: 37538863 |
| [12] |
doi: 10.1089/jmf.2019.4675 pmid: 32552354 |
| [13] |
|
| [14] |
|
| [15] |
杨雪, 陈志伟. 桦南紫苏香飘万里[N]. 佳木斯日报,2022-09-16(007).
|
| [16] |
|
| [17] |
周礼恺, 张志明. 土壤酶活性的测定方法[J]. 土壤通报, 1980(5).
|
| [18] |
|
| [19] |
刘爽, 王雅, 刘兵兵, 等. 晋西北不同土地管理方式对土壤碳氮、酶活性及微生物的影响[J]. 生态学报, 2019, 39(12):4376-4389.
|
| [20] |
张继光, 申国明, 张久权, 等. 烟草连作障碍研究进展[J]. 中国烟草科学, 2011, 32(3):95-99.
|
| [21] |
|
| [22] |
doi: 10.1111/j.1469-8137.2009.03153.x pmid: 20356334 |
| [23] |
周华兰, 彭亚丽, 李婷, 等. 马铃薯连作对土理化性质和生物学特性的影响[J]. 湖南农业大学学报(自然科学版), 2019,45:611-616.
|
| [24] |
谢秋丽, 唐玉娟, 苏厚人, 等. 不同株龄田七根际土壤微生物和酶活性变化[J]. 广西师范大学学报(自然科学版), 2017, 35(3):149-156.
|
| [25] |
孙雪婷, 龙光强, 张广辉, 等. 基于三七连作障碍的土壤理化性状及酶活性研究[J]. 生态环境学报, 2015, 24(3):409-417.
doi: 10.16258/j.cnki.1674-5906.2015.03.007 |
| [26] |
李秀玲, 吕光辉, 何雪芬. 连作年限对土壤理化性质及酶活性的影响[J]. 干旱区资源与环境, 2012, 26(9):93-97.
|
| [27] |
吴雪霞, 朱宗文, 张爱冬, 等. 外源褪黑素对低温胁迫下茄子幼苗生长及其光合作用和抗氧化系统的影响[J]. 西北植物学报, 2017, 37(12):2427-2434.
|
| [28] |
许江, 戴慧敏, 刘国栋, 等. 不同土地利用方式下土壤酶活性的变化研究[J]. 地质与资源, 2020, 29(6):579-584.
|
| [29] |
|
| [30] |
辛承友, 朱鲁生, 王军, 等. 阿特拉津对不同肥力土壤蔗糖酶活性的影响[J]. 农业环境科学学报, 2004(3):479-483.
|
| [31] |
|
| [32] |
|
| [33] |
|
| [34] |
|
| [35] |
|
| [36] |
杨盼, 翟亚萍, 赵祥, 等. AM真菌和根瘤菌互作对苜蓿根际土壤真菌群落结构的影响及功能预测[J]. 草业科学, 2020, 37(9):1669-1680.
|
| [37] |
王紫玄. 太平洋典型海沟深渊沉积物中微生物群落结构及活性潜力研究[D]. 上海: 上海海洋大学, 2020.
|
| [38] |
魏星. 马里亚纳海沟深渊沉积物中绿弯菌的代谢潜力和生态功能研究[D]. 上海: 上海海洋大学, 2021.
|
| [39] |
甘国渝, 陈佛文, 邹家龙, 等. 长期不同养分缺乏对冬油菜土壤微生物群落组成及多样性的影响[J]. 中国土壤与肥料, 2022(4):37-46.
|
| [40] |
黄艳英, 彭晓辉, 欧桂宁, 等. 连作木薯对根际与非根际土壤真菌群落结构演替的影响[J]. 广西植物, 2024, 44(10):1864-1877.
|
| [41] |
|
| [42] |
|
| [43] |
|
| [44] |
|
| [45] |
|
| [46] |
doi: 10.1038/s41467-021-23676-x pmid: 34099669 |
| [1] | 杨莹, 樊丽, 杨志超, 曹鑫博, 葛菁萍. 壳寡糖及微生物代谢产物在农业生产中的应用[J]. 中国农学通报, 2025, 41(8): 83-89. |
| [2] | 包兴胜, 刘平山, 王志明, 刘欣, 车建美, 郑雪芳, 王阶平, 吴仁烨, 刘波. 菌草家园—微生物农业综合生产系统的构建[J]. 中国农学通报, 2025, 41(5): 119-129. |
| [3] | 王立禹, 杨峰山, 付海燕, 葛志坚, 苑明睿, 刘春光. 植物对土壤微生物介导碳循环的影响[J]. 中国农学通报, 2025, 41(5): 63-68. |
| [4] | 孙广涛, 包桂荣, 邰继承, 萨如拉, 刘乃嘉, 于淼, 李安宁. 玉米花生间作对作物及土壤特性的影响[J]. 中国农学通报, 2025, 41(5): 7-12. |
| [5] | 张守梅, 邵雪花. 印楝素对橘小实蝇肠道微生物群落及代谢功能的影响[J]. 中国农学通报, 2025, 41(28): 122-130. |
| [6] | 蔡煜, 肖玖军, 廖小锋, 董艳艳, 潘伯娟, 谢元贵. 黔南喀斯特地区旱地改造水田对土壤微生物残体碳积累的影响[J]. 中国农学通报, 2025, 41(27): 85-93. |
| [7] | 聂胜委, 张巧萍, 王建超, 潘秀燕, 王辉, 李金平. 旋耕方式下氮肥不同减施量对冬小麦根际土壤微生物及酶活的影响[J]. 中国农学通报, 2025, 41(25): 54-59. |
| [8] | 杨清松, 吴阔, 李玲, 杨玉玲, 王灿, 陶永宏. 小黄姜与烟轮作对土壤微生物群落多样性的影响[J]. 中国农学通报, 2025, 41(25): 67-74. |
| [9] | 旦增塔庆, 土登群培, 次珍, 益西央宗, 尼玛仓决, 桑旦, 多吉顿珠. 种植年限对西藏河谷地区紫花苜蓿人工草地土壤养分和微生物群落特征的影响[J]. 中国农学通报, 2025, 41(24): 69-78. |
| [10] | 魏康凯, 陈厚任, 张泽林, 孔广超, 李兴红, 高庭猛, 黄飞燕, 农晚意. 富硅土壤改良肥料对旺长期植烟土壤微生物群落结构影响[J]. 中国农学通报, 2025, 41(23): 53-63. |
| [11] | 关诗洋, 王耀, 陈一民, 焦晓光. 冻融循环对农田土壤微生物及酶活性的影响[J]. 中国农学通报, 2025, 41(23): 101-106. |
| [12] | 常长越, 颜宏, 卢雨欣, 秦涛, 白亚妮. 植物盐胁迫研究进展[J]. 中国农学通报, 2025, 41(22): 82-88. |
| [13] | 万婷婷, 何浩, 程李洋, 李帅, 余梦梦, 秦洁, 李铈阔, 李俊华. 哈茨木霉菌配施改良剂对盐碱土理化特性及棉花抗盐碱响应的协同机制[J]. 中国农学通报, 2025, 41(21): 145-155. |
| [14] | 孔令羽, 吴则蒽, 孟云杉, 胡树文. 新型复合改良剂对土默川盐碱耕地性质及玉米产量影响研究[J]. 中国农学通报, 2025, 41(21): 85-95. |
| [15] | 安艳, 欧巧明, 王丽, 梁婷玉, 崔文娟, 朱旭. 紫苏叶活性化学成分研究进展及其抗氧化与抑菌活性的物质基础[J]. 中国农学通报, 2025, 41(20): 128-142. |
| 阅读次数 | ||||||
|
全文 |
|
|||||
|
摘要 |
|
|||||