欢迎访问《中国农学通报》,

中国农学通报 ›› 2025, Vol. 41 ›› Issue (27): 106-117.doi: 10.11924/j.issn.1000-6850.casb2024-0791

• 资源·环境·生态·土壤 • 上一篇    下一篇

贵州兴仁地区薏苡全生育期的关键气象因子特征

李舟鑫1(), 陈波1, 李祥栋2()   

  1. 1 黔西南布依族苗族自治州气象局,贵州兴义 562400
    2 黔西南州农业林业科学研究院,贵州兴义 562400
  • 收稿日期:2024-12-31 修回日期:2025-08-21 出版日期:2025-09-25 发布日期:2025-10-07
  • 通讯作者:
    李祥栋,男,1987年出生,正高级农艺师,研究方向为植物生理与分子调控。通信地址:562400 贵州省兴义市木贾大道贵醇路70号,E-mail:
  • 作者简介:

    李舟鑫,男,1972年出生,高级工程师,研究方向为大气物理及气象灾害防御。通信地址:562400 贵州省兴义市桔山街道办桔泰路, E-mail:

  • 基金资助:
    黔西南州气象局科研项目(QXNZLKT—2024—015)

Key Meteorological Factors Features of Adlay During Growth Stage in Xingren Area of Guizhou

LI Zhouxin1(), CHEN Bo1, LI Xiangdong2()   

  1. 1 Meteorological Bureau of Qianxinan Buyi and Miao Autonomous Prefecture, Xingyi, Guizhou 562400
    2 Southwest Guizhou Institute of Agricultural and Forestry Sciences, Xingyi, Guizhou 562400
  • Received:2024-12-31 Revised:2025-08-21 Published:2025-09-25 Online:2025-10-07

摘要:

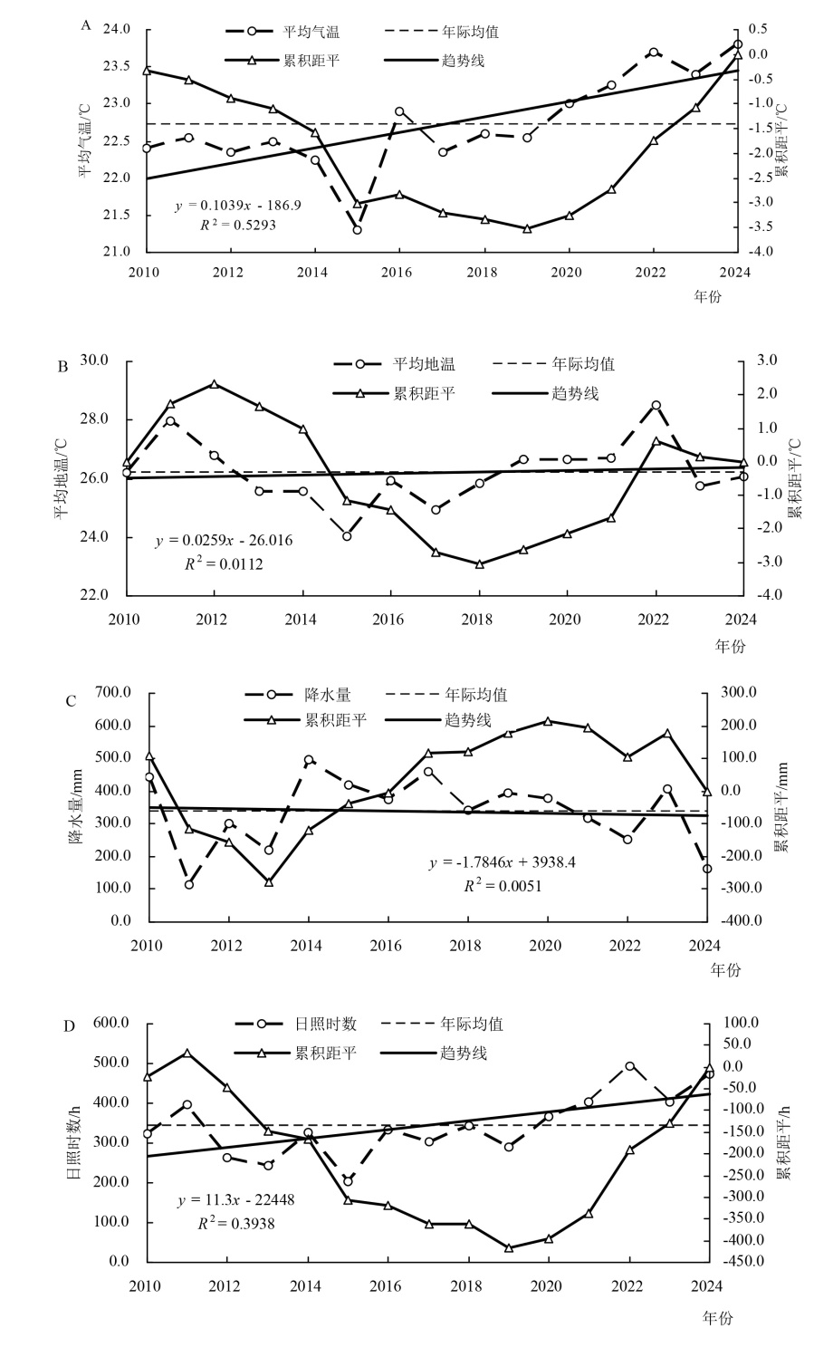
本研究旨在分析贵州兴仁地区薏苡生长期间关键气象因子的变化及气候适应性特点,为该地区薏苡生产的气候资源合理利用及区域规划提供依据。基于贵州兴仁地区2010—2024年国家气象观测站数据,采用气候倾向率法和累积距平法,分析薏苡各生育期平均气温、地温、降水量和日照时数的年际变化规律及季节变化特征。结果表明,近15 a来,薏苡整个生育期(TS)和播种—出苗期(S1),平均气温、平均地温、降水量和日照时数均有上升的趋势;在分蘖—拔节期(S2),平均地温呈下降趋势,而其余因子则呈上升态势;在抽穗—开花期(S3)和成熟—收获期(S4)降水量则表现为减弱的趋势,其余因子则呈上升的态势。再者,在薏苡不同的生长发育阶段,降水量变异最大,为第一限制因子,其次为日照时数;在整个薏苡生育期,平均气温、平均地温、降水量和日照时数的年际均值分别为19.6℃、22.5℃、1080.5 mm和1160.0 mm,中位数分别为19.6℃、22.5℃、1126.6 mm和1113.6 mm,而且在不同生长阶段4个气象因子的年际均值与中位数变化基本一致。因此,不同生长阶段和全生育期的年际均值和中位数,可为当地薏苡生产提供关键气象参数和气象预测依据。

关键词: 气象因子, 气候变化, 薏苡生产, 兴仁地区

Abstract:

The purpose was to analyze key meteorological factors variation and climate adaptability characteristics during the growth period of adlay in Xingren area of Guizhou, providing basis for rational utilization of climate resources and regional planning decision. Based on four key meteorological factors (average air temperature, average ground temperature, amount of precipitation, sunshine duration) observation data of national meteorological observation station in Xingren of Guizhou from 2010 to 2024, climate variation analysis was conducted by methods of climate tendency rate and cumulative anomaly. Results were exhibited that the average air temperature, average ground temperature, amount of precipitation, sunshine duration in Xingren area showed an increasing trend in the past 15 years during the whole growth stage (TS) and sowing and seedling stage(S1), while the average ground temperature were descended in tillering and jointing stage(S2), the others were rising. The precipitation at heading-flowering stage (S3) and maturing-harvesting stage (S4) showed a decreasing trend, while the other factors showed an increasing trend. Furthermore, amount of precipitation had a maximum variation that becomes the first restriction factor, and sunshine duration was the second restriction factor. In the whole growth stage of adlay, the interannual mean values of average air temperature, average ground temperature, amount of precipitation, sunshine duration were 19.6℃, 22.5℃, 1080.5 and 1160.0 mm, and the median values were19.6℃, 22.5℃, 1126.6 mm and 1113.6 mm, respectively. Thus the changes of interannual means of four meteorological factors were basically same with their median values at different growth stages. Therefore, the interannual mean and median of different growth stages and the whole growth period can provide key meteorological parameters and meteorological prediction basis for local adlay production.

Key words: meteorological factors, climatic variation, adlay production, Xingren area