欢迎访问《中国农学通报》,

中国农学通报 ›› 2026, Vol. 42 ›› Issue (1): 128-135.doi: 10.11924/j.issn.1000-6850.casb2025-0075

• 资源·环境·生态·土壤·气象 • 上一篇    下一篇

土壤调理剂与微生物菌剂对镉砷复合污染旱地安全利用效果研究

刘润梅(), 周国平, 汪福正, 宋瑞瑚, 胡兴钢(), 唐俊云   

  1. 云南省文山州农业环境保护与农村能源管理站,云南文山 663099
  • 收稿日期:2025-01-24 修回日期:2025-05-30 出版日期:2026-01-15 发布日期:2026-01-15
  • 通讯作者:
    胡兴钢,男,1987年出生,云南昆明人,高级农艺师,硕士,研究方向:农业环境保护。通信地址:663099 云南省文山州文山市果园街32号 文山州农业环境保护与农村能源管理站,Tel:0876-3038536,E-mail:
  • 作者简介:

    刘润梅,女,1985年出生,云南大理人,高级农艺师,硕士,研究方向:土壤养分资源管理、农业资源与环境保护、土壤肥料技术推广应用。通信地址:663099 云南省文山州文山市果园街32号 文山州农业环境保护与农村能源管理站,Tel:0876-3038536,E-mail:

  • 基金资助:
    中央农业资源及生态保护补助资金“生产障碍耕地治理项目”

Effects of Soil Conditioners and Microbial Agents on Safe Utilization of Cadmium-Arsenic Co-contaminated Dryland

LIU Runmei(), ZHOU Guoping, WANG Fuzheng, SONG Ruihu, HU Xinggang(), TANG Junyun   

  1. Agricultural Environmental Protection and Rural Energy Management Station of Wenshan Prefecture in Yunnan Province, Wenshan, Yunnan 663099
  • Received:2025-01-24 Revised:2025-05-30 Published:2026-01-15 Online:2026-01-15

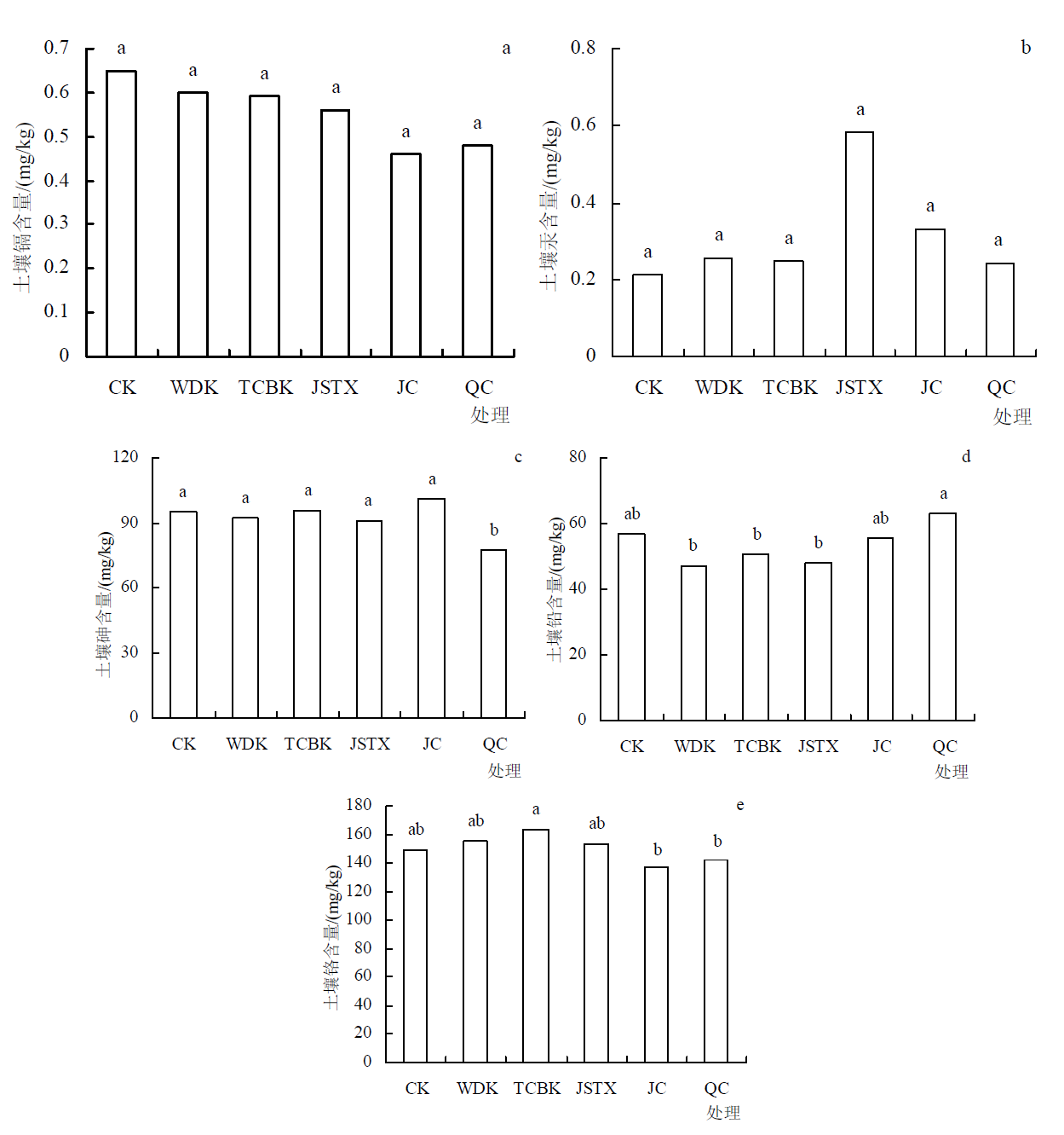
摘要: 为探索在不改变现有种植模式和农业生产方式、不降低土壤生产功能的前提下,实现镉砷复合污染且历年镉超标辣椒地的安全利用,施用3种材料[维地康土壤调理剂(WDK)、土传病克微生物菌剂(TCBK)和江苏天象微生物菌剂(JSTX)],评估它们对土壤-辣椒系统中重金属含量的影响。结果表明:(1)对土壤的影响:WDK、TCBK和JSTX均显著降低土壤镉(Cd)含量,降幅范围在0.05~0.09 mg/kg之间(P<0.05),同时显著增加土壤铬(Cr)含量,增幅为3.7~14.4 mg/kg(P<0.05);WDK和JSTX显著降低土壤砷(As)含量(分别降低2.7、3.9 mg/kg),而TCBK则显著增加土壤As含量(增长0.6 mg/kg)(P<0.05);3种材料对土壤汞(Hg)和铅(Pb)含量的影响均不显著(P>0.05)。(2)对辣椒的影响:3种材料均显著降低当季辣椒Cd含量,降幅为0.018~0.027 mg/kg(P<0.05),对前季辣椒Cd含量的降低效果更为显著,降幅为0.068~0.077 mg/kg(P<0.01);对辣椒Pb含量的影响不显著(P>0.05);辣椒中未检出Hg、As和Cr;WDK、JSTX显著提高了辣椒产量(增幅分别为32.2%、15.7%),而TCBK则显著降低了辣椒产量(降低7.8%)(P<0.05)。综上,WDK、TCBK和JSTX处理均能有效降低土壤Cd含量并增加土壤Cr含量,但对土壤As的影响因材料而异,对土壤Hg和Pb的影响不显著。三者均能显著降低当季和前季辣椒Cd含量,但对辣椒Pb含量无显著影响。WDK和JSTX可显著增产,而TCBK则显著减产。

关键词: 微生物菌剂, 土壤调理剂, 重金属, 旱地, 辣椒

Abstract:

To explore the safe utilization strategies for Cd and As co-contaminated pepper fields with excessive cadmium content, without modifying existing agricultural practices or compromising soil productivity, this study evaluated the effects of three amendments, namely Vedikang soil conditioner (WDK), Tuchuanbingke microbial agent (TCBK) and Jiangsu Tianxiang microbial agent (JSTX), on heavy metal dynamics in the soil-pepper system. The results showed that (1) WDK, TCBK and JSTX significantly reduced soil Cd content by 0.05-0.09 mg/kg (P<0.05) while increasing soil Cr content by 3.7-14.4 mg/kg (P<0.05). Notably, WDK and JSTX decreased soil As concentrations by 2.7 and 3.9 mg/kg, respectively, whereas TCBK exhibited a marginal As increment of 0.6 mg/kg (P<0.05). The effects of the three materials on the contents of mercury (Hg) and lead (Pb) in the soil were not significant (P>0.05). (2) Although Cd reductions in current-season peppers were statistically insignificant (0.018-0.027 mg/kg, P<0.05), all treatments significantly diminished Cd accumulation in previous-season peppers by 0.068-0.077 mg/kg (P<0.01). No significant alterations in Pb levels were observed across treatments, and Hg, As and Cr remained undetectable in pepper fruits. WDK and JSTX significantly increased the yield of peppers by 32.2% and 15.7%, respectively, while TCBK significantly reduced the yield by 7.8% (P<0.05). In summary, all three treatments, WDK, TCBK and JSTX, were effective in reducing soil Cd content and increasing soil Cr content, but their effects on soil As varied depending on the material, and had no significant impact on soil Hg and Pb. All three treatments could significantly reduce the Cd content of peppers in both current and previous seasons, but had no significant effect on the Pb content of peppers. WDK and JSTX could significantly increase the yield, while TCBK significantly reduced it.

Key words: microbial agents, soil conditioner, heavy metal, dryland, pepper