欢迎访问《中国农学通报》,

中国农学通报 ›› 2025, Vol. 41 ›› Issue (29): 54-62.doi: 10.11924/j.issn.1000-6850.casb2025-0326

• 资源·环境·生态·土壤·气象 • 上一篇    下一篇

不同外源有机物添加对土壤酶活性、细菌多样性及小麦产量的影响

董青君(), 李传哲, 纪力, 钟平, 董玉兵, 陈川, 章安康, 邵文奇()   

  1. 江苏徐淮地区淮阴农业科学研究所, 江苏淮安 223001
  • 收稿日期:2025-04-17 修回日期:2025-09-23 出版日期:2025-10-15 发布日期:2025-10-22
  • 通讯作者:
    邵文奇,男,1985年出生,江苏淮安人,副研究员,硕士,研究方向:土壤肥料及作物栽培。通信地址:223001 江苏省淮安市清江浦区淮海北路104号 淮安市农科院,Tel:0517-83662909,E-mail:
  • 作者简介:

    董青君,女,1995年出生,山东菏泽人,助理研究员,硕士,研究方向:土壤肥料及农业资源化利用。通信地址:223001 江苏省淮安市清江浦区淮海北路104号 淮安市农科院,Tel:0517-83662909,E-mail:

  • 基金资助:
    江苏省科技项目“江苏黄河故道沿线中低产农田质量提升关键技术集成与示范”(BE2021378); 淮安市级基础研究计划项目“不同秸秆腐熟剂在淮安地区水稻秸秆还田中的效果及应用研究”(HABL2023053)

Effects of Different Exogenous Organic Matter Additions on Soil Enzyme Activity, Bacterial Diversity and Wheat Yield

DONG Qingjun(), LI Chuanzhe, JI Li, ZHONG Ping, DONG Yubing, CHEN Chuan, ZHANG Ankang, SHAO Wenqi()   

  1. Huaiyin Institute of Agricultural Sciences of Xuhuai Region in Jiangsu, Huaian, Jiangsu 223001
  • Received:2025-04-17 Revised:2025-09-23 Published:2025-10-15 Online:2025-10-22

摘要:

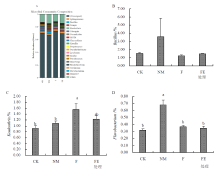
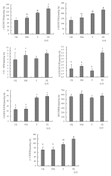
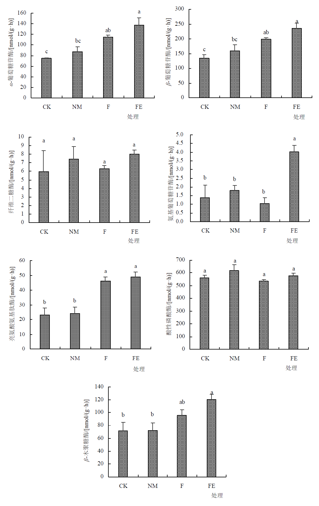
为探究黄河故道砂性土壤地区不同外源有机物添加对土壤酶活性、细菌多样性及小麦产量的影响,本研究在秸秆全量还田模式下,设置不施用外源物(CK)、增施氮肥和生物菌剂(NM)、增施有机肥(F)、增施有机肥和土壤酶助剂(FE) 共4个处理,进行大田试验,分析不同处理下土壤理化性质、酶活性、微生物多样性等及小麦产量构成等指标。结果表明:施用有机肥和土壤酶助剂(FE处理)能显著增加土壤pH,与CK相比增幅为2.28%,但对土壤有机质、全氮等影响不显著;各外源有机物处理均能显著促进土壤α-葡萄糖苷酶(AG)、β-葡萄糖苷酶(BG)、氨基葡萄糖苷酶(NAG)、亮氨酸氨基肽酶(LAP)、β-木聚糖酶(XYL)酶活性,其中以FE处理的表现最优,与CK相比,FE处理的土壤AG、BG、NAG、LAP、XYL酶活性增幅分别为83.09%、75.47%、186.43%、112.01%、67.83%;不同处理之间土壤微生物组成存在显著差异,且添加有机肥和土壤酶助剂能够显著影响土壤细菌的丰富度Chao1指数、ACE指数、Shannon指数,与CK相比分别增加3.43%、1.95%、2.26%;氮肥和菌剂处理(NM)能够增加土壤中芽孢杆菌属(Bacillus)、黄杆菌属(Flavobacterium)的相对丰度,有机肥处理(F)能够显著增加土壤细菌Kouleothrix属的相对丰度。施用氮肥、菌剂能够有效促进小麦单穗粒重、穗粒数的增长,而施用有机肥和土壤酶助剂能够显著增加小麦穗数、千粒重和产量,其中FE处理的穗数、千粒重和产量较CK分别提高7.50%、9.67%和11.46%,NM处理的单穗粒重和穗粒数较CK分别提高9.72%和6.09%。综上,施用有机肥和土壤酶助剂能够促进土壤pH和酶活性,改善土壤细菌多样性及群落丰富度,从而提高小麦产量,可为黄河故道区农田系统的合理施肥和作物高产稳产提供一定的理论依据。

关键词: 外源有机物, 小麦, 土壤, 细菌多样性, 黄河故道地区

Abstract:

To clarify the effects of different exogenous organic matter additions on soil enzyme activities, bacterial diversity, and crop yield in the sandy soil area of the Yellow River old course, this study conducted a field experiment based on the full straw return mode with no application of exogenous organic matter as the control (CK), and three treatments were set up: additional application of nitrogen fertilizer and biological agents (NM), additional application of organic fertilizer (F), and additional application of organic fertilizer and soil enzyme additives (FE). Indicators such as soil physical and chemical properties, enzyme activities, microbial diversity and wheat yield components after adding different exogenous organic matters were analyzed. The results showed that: application of organic fertilizer and soil enzyme additive (FE treatment) significantly increased soil pH by 2.28% compared to CK, but had no significant effect on soil organic matter and total nitrogen. The addition of different exogenous organic materials significantly promoted the activities of soil enzymes α-glucosidase (AG), β-glucosidase (BG), N-acetyl-glucosaminidase (NAG), leucine aminopeptidase (LAP) and β-xylosidase (XYL), with the FE treatment showing the best performance. Compared to CK, the enzyme activities in the FE treatment increased by 83.09%, 75.47%, 186.43%, 112.01% and 67.83%, respectively. There were significant differences in microbial composition between different treatments. The addition of organic fertilizer and soil enzyme additive significantly affected the bacterial richness indices Chao1, ACE, and Shannon, which increased by 3.43%, 1.95% and 2.26% respectively, compared to CK. The nitrogen fertilizer and bio-inoculant treatment (NM) increased the relative abundance of Bacillus and Flavobacterium in the soil bacteria, while the organic fertilizer treatment (F) significantly increased the relative abundance of Kouleothrix. The addition of nitrogen fertilizer and bio-inoculant effectively promoted the increase of wheat single-spike grain weight and grains per spike. The addition of organic fertilizer and soil enzyme additive significantly increased the number of wheat spikes number, thousand-grain weight, and yield. The spike number, thousand-grain weight and yield of FE treatment were 7.50 %, 9.67 % and 11.46 % higher than those of CK, respectively. The NM treatment had 9.72% higher single-spike grain weight and 6.09% more grains per spike compared to CK. In summary, the application of organic fertilizer and soil enzyme additive can promote soil pH, increase soil enzyme activity, improve soil bacterial diversity and community richness, and increase wheat yield, providing a theoretical basis for rational fertilization and high and stable yield of crops in the Yellow River floodplain agricultural system.

Key words: exogenous organic matter, wheat, soil, bacterial diversity, the old Yellow River course region