欢迎访问《中国农学通报》,

中国农学通报 ›› 2025, Vol. 41 ›› Issue (28): 146-154.doi: 10.11924/j.issn.1000-6850.casb2025-0370

• 水产·渔业 • 上一篇    下一篇

施肥对池塘水质、浮游生物种群结构及鲢鳙生长性能的影响

吕沣铄1(), 陈铭1, 董晓庆1,2,3(), 孔雨昕1, 牛小天1,2,3, 陈秀梅1,2,3, 王桂芹1,2,3   

  1. 1 吉林农业大学动物科学技术学院/动物医学院,长春 130118
    2 动物生产及产品质量安全教育部重点实验室,长春 130118
    3 教育部现代农业技术国际合作联合实验室,长春 130118
  • 收稿日期:2025-05-13 修回日期:2025-07-09 出版日期:2025-10-05 发布日期:2025-10-10
  • 通讯作者:
    董晓庆,女,1978年出生,吉林榆树人,副教授,博士,研究方向:水生动物营养与饲料。通信地址:130118 吉林省长春市新城大街2888号 吉林农业大学动物科学技术学院,E-mail:
  • 作者简介:

    吕沣铄,男,1997年出生,吉林长春人,在读硕士,研究方向:水产养殖学及渔业发展。通信地址:130118 吉林省长春市新城大街2888号 吉林农业大学动物科学技术学院,E-mail:

  • 基金资助:
    吉林省科技厅重点研发项目“基于发酵牛粪为基质的水产复合肥的研制与应用”(20230202071NC)

Effects of Fertilization on Pond Water Quality, Plankton Population Structure and the Growth Performance of Hypophthalmichthys molitrix and Aristichthys nobilis

LYU Fengshuo1(), CHEN Ming1, DONG Xiaoqing1,2,3(), KONG Yuxin1, NIU Xiaotian1,2,3, CHEN Xiumei1,2,3, WANG Guiqin1,2,3   

  1. 1 Faculty of Animal Science and Technology, Jilin Agricultural University, Changchun 130118
    2 Key Laboratory of Animal Production, Product Quality and Security, Ministry of Education, Changchun 130118
    3 International Joint Laboratory of Modern Agricultural Technology, Ministry of Education, Changchun 130118
  • Received:2025-05-13 Revised:2025-07-09 Published:2025-10-05 Online:2025-10-10

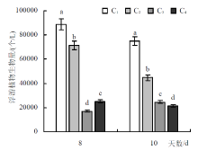
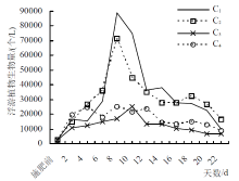
摘要: 为探讨施肥对池塘水质、浮游生物种群结构及鲢鳙生长性能的影响,以鲢(Hypophthalmichthys molitrix)和鳙(Aristichthys nobilis)为试验对象,在池塘中施用复合肥C1、复合肥C2、有机肥C3、无机肥C4 4种不同组成的渔肥。通过测定池塘水质理化指标,分析浮游生物量及评估鲢鳙生长性能,比较4种渔肥的效果。结果表明,C2组池塘溶解氧含量显著高于C4组(P<0.05),C1和C2组池塘亚硝酸盐含量显著低于C4组(P<0.05),C1、C2组池塘总硬度显著高于C3、C4组(P<0.05)。施肥8 d,C1、C2组池塘浮游植物和浮游动物生物量显著高于C3、C4组(P<0.05),C3组池塘浮游植物生物量显著低于C4组(P<0.05)。施肥10 d,C1、C2组池塘浮游植物和浮游动物生物量均显著高于C3、C4组(P<0.05),C3组池塘浮游植物和浮游动物生物量显著高于C4组(P<0.05)。生长性能方面,C1、C2组鲢和鳙增重率及鲢肥满度显著高于C3、C4组(P<0.05);C1组鳙肥满度显著高于其他各组(P<0.05)。综上,复合肥通过持续释放营养元素,构建了浮游生物-鱼类的良性物质循环,在维持水质稳定的同时,提升鱼类生产性能,其效果优于单一的无机肥和有机肥。在保持最佳养殖水质的条件下,C2组复合肥配比效果最佳。

关键词: 渔肥, 池塘水质, 浮游生物, 鲢鳙, 生长性能

Abstract:

To investigate the effects of fertilization on pond water quality, plankton population structure, and the growth performance of Hypophthalmichthys molitrix and Aristichthys nobilis, H. molitrix and A. nobilis were used as experimental subjects. Four fish fertilizers with different compositions were applied in ponds, namely compound fertilizer (C1), compound fertilizer (C2), organic fertilizer (C3) and inorganic fertilizer (C4). The effects of four fish fertilizers were explored by measuring the physicochemical indicators of pond water, quantitatively analyzing plankton, and measuring growth performance of H. molitrix and A. nobilis. The results showed that the dissolved oxygen content of C2 ponds was significantly higher than C4 ponds (P<0.05), the nitrite content of C1 and C2 ponds were significantly lower than C4 ponds (P<0.05), and the total hardness of C1 and C2 ponds was significantly higher than C3 and C4 ponds (P<0.05). On the 8th day of fertilization, the biomass of phytoplankton and zooplankton of C1 and C2 ponds was significantly higher than C3 and C4 ponds (P<0.05), the biomass of phytoplankton of C3 ponds was significantly lower than C4 ponds (P<0.05). On the 10th day of fertilization, the biomass of phytoplankton and zooplankton of C1 and C2 ponds were significantly higher than C3 and C4 ponds (P<0.05), and the biomass of phytoplankton and zooplankton of C3 ponds was significantly higher than C4 ponds (P<0.05). The growth results showed that the weight gain rate of H. molitrix and A. nobilis of C1 and C2 ponds were significantly higher than C3 and C4 ponds (P<0.05). The fullness of H. molitrix of C1 and C2 ponds were significantly higher than C3 and C4 ponds (P<0.05), the fullness of A. nobilis of C1 ponds were significantly higher than C2, C3 and C4 ponds (P<0.05). In conclusion, compound fertilizer build a positive material cycle from plankton to fish by continuously releasing nutrients, which can maintain stable water quality and improve fish growth performance. The effect of compound fertilizer is better than the single inorganic fertilizer and organic fertilizer. Under the condition of maintaining the best water quality, the ratio of compound fertilizer of C2 is the best.

Key words: fertilize, pond water quality, plankton, Hypophthalmichthys molitrix and Aristichthys nobilis, growth performance