欢迎访问《中国农学通报》,

中国农学通报 ›› 2026, Vol. 42 ›› Issue (5): 42-49.doi: 10.11924/j.issn.1000-6850.casb2025-0399

• 生物科学 • 上一篇    下一篇

两株高效解磷菌生物学特性研究及培养条件优化

胡明珠(), 张钧杰, 石雪瑞, 王玮, 代金霞()   

  1. 宁夏大学生命科学学院西部特色生物资源保护与利用教育部重点实验室, 银川 750021
  • 收稿日期:2025-05-21 修回日期:2025-10-11 出版日期:2026-03-18 发布日期:2026-03-18
  • 通讯作者:
    代金霞,女,1973年出生,宁夏银川人,教授,博士,主要从事微生物资源开发与利用研究。通信地址:750021 宁夏银川贺兰山西路539号 宁夏大学生命与食品学部,E-mail:
  • 作者简介:

    胡明珠,女,2001年出生,宁夏固原人,硕士在读,研究方向:微生物资源开发与利用研究。通信地址:750021 宁夏银川贺兰山西路539号 宁夏大学生命与食品学部,E-mail:

  • 基金资助:
    国家自然科学基金项目“荒漠草原豆科灌木群落根际微生态特征及耐旱细菌缓解植物干旱胁迫的机理研究”(32160023)

Study on Biological Characteristics and Optimization of Culture Conditions of Two Efficient Phosphate-Solubilizing Bacteria

HU Mingzhu(), ZHANG Junjie, SHI Xuerui, WANG Wei, DAI Jinxia()   

  1. School of Life Sciences, University of Ningxia / Key Laboratory of Western Characteristic Biological Resources Conservation and Utilization, Ministry of Education, Yinchuan 750021
  • Received:2025-05-21 Revised:2025-10-11 Published:2026-03-18 Online:2026-03-18

摘要:

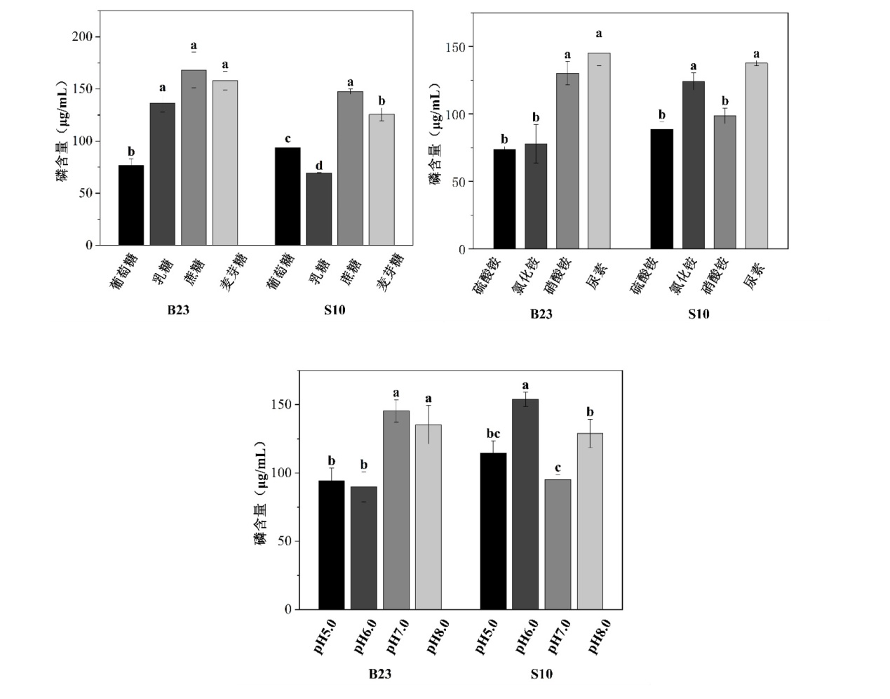
本研究旨在探究解磷菌株B23、S10生物学特性,优化其培养条件,为解磷机理的探究及解磷菌肥的制备提供基础资料。采用Salkowski比色法、苯酚硫酸法对菌株分泌IAA和产胞外多糖能力进行定量测定;采用单因素水平实验对菌株解磷培养条件进行优化;采用比色法分别测定菌株酸性磷酸酶、碱性磷酸酶和葡萄糖脱氢酶的活性,通过盆栽实验探究菌株对燕麦、小麦及苜蓿种子萌发的影响。结果表明,S10与B23均具有产IAA、解有机磷、产铁载体、产HCN、产胞外多糖的能力,IAA产量分别为18.875 mg/L、7.603 mg/L;胞外多糖产量分别为16.290 μg/mL、16.941 μg/mL;S10还具有产NH3能力。16S rRNA基因序列分析表明二者分别隶属于沙雷氏菌属(Serratia)与不动杆菌属(Acinetobacter);在碳氮源为蔗糖和尿素、最佳初始pH值分别为pH 6.0和pH 7.0时菌株的解磷效果最强。与优化前相比,优化后S10碱性磷酸酶、酸性磷酸酶、葡萄糖脱氢酶活性分别提高了33.97%、47.20%、20.94%;B23分别提高了12.47%、99.19%、54.63%。二者能显著提高燕麦、小麦和苜蓿的发芽势、发芽率和芽长,对燕麦和小麦根长也有显著的促进效果。以上结果表明菌株S10与B23具有较强的解磷能力和多种促生潜能,能促进植物种子萌发,可作为制备解磷菌肥的候选菌株。

关键词: 解磷微生物, 胞外多糖, 磷酸酶, 葡萄糖脱氢酶, 解磷能力, 促生特性, 种子萌发

Abstract:

This study aims to investigate the biological characteristics of phosphate-solubilizing strains B23 and S10, optimize their cultivation conditions, and provide basic data for exploring the phosphate-solubilizing mechanism and preparing phosphate-solubilizing bacterial fertilizers. The Salkowski colorimetric method and the phenol-sulfuric acid method were used to quantitatively determine the strain's IAA production and exopolysaccharide production; single-factor level experiments were adopted to optimize phosphate-solubilizing culture conditions for strains; the colorimetric method was used to determine phosphatase and glucose dehydrogenase in strains; and the effects of the strains on the germination of Avena sativa, Triticum aestivum, and Medicago sativa seeds were investigated through pot experiments. The results indicate that both S10 and B23 have the abilities to produce IAA, dissolve organophosphorus, produce siderophores, produce HCN, and produce exopolysaccharide, with IAA yieds of 18.875 mg/L and 7.603 mg/L respectively; exopolysaccharide yields of 16.290 μg/mL and 16.941 μg/mL respectively,S10 also has the ability to produce NH3. 16S rRNA gene sequence analysis indicates that they belong to the Serratia and Acinetobacter, respectively. The strain exhibits the strongest phosphate-solubilizing effect when the carbon and nitrogen sources are sucrose and urea, with the optimal initial pH values being pH 6.0 and pH 7.0, respectively. Compared with before optimization, the activities of alkaline phosphatase, acid phosphatase, and glucose dehydrogenase in S10 were increased by 33.97%, 47.20%, and 20.94%, respectively; in B23, they were increased by 12.47%, 99.19%, and 54.63%, respectively. Both B23 and S10 can significantly improve the germination vigor, germination rate, and sprout length of Avena sativa, Triticum aestivum, and Medicago sativa. They also have a significant promoting effect on the root length of Avena sativa and Triticum aestivum. The above results indicate that strains S10 and B23 have strong phosphate-solubilizing abilities and multiple plant growth-promoting potentials. They can promote seed germination and may serve as candidate strains for preparing phosphate-solubilizing bio-fertilizers.

Key words: phosphate soluble microorganisms, exopolysaccharides, phosphatase, glucose dehydrogenase, phosphate-solubilizing ability, growth-promoting characteristics, seed germination