欢迎访问《中国农学通报》,

中国农学通报 ›› 2026, Vol. 42 ›› Issue (1): 20-26.doi: 10.11924/j.issn.1000-6850.casb2025-0569

• 农学·农业基础科学 • 上一篇    下一篇

新型生物有机肥对烤烟生长的影响

蒋坤莲1(), 冯长春2(), 韩利红3, 孙龙4, 黄康慧4, 江鸿2, 蔡艳1()   

  1. 1 四川农业大学资源学院,成都 611130
    2 四川省烟草科学研究所,成都 611130
    3 四川诚至诚烟草投资有限责任公司,成都 611130
    4 凉山金叶化肥有限责任公司,四川凉山 615000
  • 收稿日期:2025-06-30 修回日期:2025-11-18 出版日期:2026-01-15 发布日期:2026-01-15
  • 通讯作者:
    蔡艳,女,1976年出生,四川达州人,副教授,博士,主要从事土壤改良与经济作物高效施肥研究。通信地址:611130 四川省成都市温江区公平街道211号,E-mail:
    冯长春,男,1977年出生,重庆万州人,高级农艺师,硕士,主要从事烟草栽培研究。通信地址:610096 四川省成都市高新区世纪城路936号,E-mail:
  • 作者简介:

    蒋坤莲,女,2001年出生,四川宜宾人,在读硕士,主要从事植物营养与高效施肥研究。通信地址:611130 四川省成都市温江区公平街道211号,E-mail:

  • 基金资助:
    四川省烟草公司科技项目“四川烟区降本增效烟用肥料研制及施肥体系优化与应用”(SCYC202303)

Effects of New Bio-organic Fertilizer on Growth of Flue-cured Tobacco

JIANG Kunlian1(), FENG Changchun2(), HAN Lihong3, SUN Long4, HUANG Kanghui4, JIANG Hong2, CAI Yan1()   

  1. 1 College of Resources, Sichuan Agricultural University, Chengdu 611130
    2 Sichuan Tobacco Science Research Institute, Chengdu 611130
    3 Sichuan Chengzhicheng Tobacco Investment Co., Ltd., Chengdu 611130
    4 Liangshan Jinye Fertilizer Co., Ltd., Liangshan, Sichuan 615000
  • Received:2025-06-30 Revised:2025-11-18 Published:2026-01-15 Online:2026-01-15

摘要:

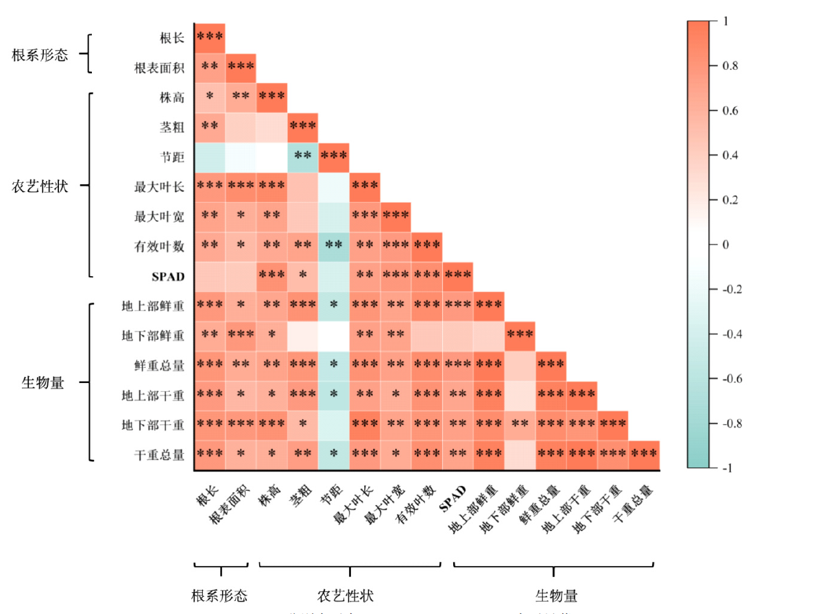
本研究分析新型生物有机肥在烟草种植上的应用效果,旨在阐明其对烤烟植株生长发育的调控作用。通过盆栽试验,设置5个处理[仅施烟草复合肥(CK)、施烟草复合肥和腐熟有机肥(O)、施烟草复合肥和微生物菌剂(M)、施烟草复合肥和普通生物有机肥(BOF1)、施烟草复合肥和新型生物有机肥(BOF2)],分析其对烤烟旺长期和成熟初期农艺性状、根系形态、叶绿素含量及生物量的影响,并通过相关性分析揭示根系发育与地上部生长的关联。结果表明,在旺长期,2个生物有机肥处理的烤烟茎粗、最大叶长、最大叶宽和SPAD值均显著高于其余处理(P<0.05);各处理根长表现为BOF2>BOF1>O>M>CK,根表面积表现为BOF2>O>BOF1>CK>M(P<0.05);BOF2处理的烤烟鲜重总量、地上部干重和干重总量均显著高于其他处理。在成熟初期,BOF2处理烤烟的株高、茎粗、最大叶宽和SPAD值均达最大值,其地上部鲜重、干重亦为最高,较CK提高44.95%、61.31%。相关性分析表明,烤烟根系形态与最大叶长、有效叶数、地上部鲜重等多个地上部指标具有显著相关性。新型生物有机肥较其余处理显著提升了烤烟多项农艺性状,提高了烤烟早期根系生长速率,增强了烤烟地上部和地下部干物质积累,促进了烤烟生长发育。

关键词: 生物有机肥, 烟草, 农艺性状, 生物量, 根系生长, 叶绿素含量, 相关性分析

Abstract:

This study aims to analyze the effects of a novel biological organic fertilizer on tobacco cultivation, specifically its regulatory impact on the growth and development of flue-cured tobacco plants. A pot experiment was conducted to study the impact of five treatments on root indicators, agronomic traits, and biomass of flue-cured tobacco. The treatments included tobacco-specific compound base fertilizer (CK), tobacco-specific compound base fertilizer with composted organic fertilizer (O), tobacco-specific compound base fertilizer with microbial agents (M), tobacco-specific compound base fertilizer with ordinary microbial fertilizer (BOF1) and tobacco-specific compound base fertilizer with novel biological organic fertilizer (BOF2). At vigorous growth stage, the stem diameter, maximum leaf length, maximum leaf width and SPAD value of the two bio-organic fertilizer treatments were significantly higher than those of the other treatments (P<0.05). The root length of each treatment showed the order of BOF2>BOF1>O>M>CK, the order of root surface area was BOF2>O>BOF1>CK>M (P<0.05). The total fresh weight, shoot dry weight and total dry weight of flue-cured tobacco in BOF2 treatment were significantly higher than those in other treatments. At the early maturity stage, the plant height, stem diameter, maximum leaf width and SPAD value of BOF2 treatment reached the maximum value, and the fresh and dry weights of aerial parts were also the highest, which were 44.95% and 61.31% higher than those of CK. The correlation analysis showed that the root morphology of flue-cured tobacco was significantly correlated with the maximum leaf length, the number of effective leaves and the fresh weight of aboveground parts. Compared with the other treatments, the new bio-organic fertilizer significantly improved many agronomic traits of flue-cured tobacco, increased the growth rate of root system at early stage, enhanced the dry matter accumulation of aboveground and underground parts, and promoted the growth and development of flue-cured tobacco.

Key words: bio-organic fertilizer, tobacco, agronomic traits, biomass, root growth, chlorophyll content, correlation analysis