欢迎访问《中国农学通报》,

中国农学通报 ›› 2026, Vol. 42 ›› Issue (4): 27-33.doi: 10.11924/j.issn.1000-6850.casb2025-0599

• 农学·农业基础科学 • 上一篇    下一篇

黄河三角洲盐碱地油菜适宜播期及木醋液缓解盐胁迫效应的研究

樊永鑫(), 宋雨洋, 李瑞瑞, 范绍鹏, 邹晓霞, 范宜杰, 于晓娜, 张晓军, 司彤, 倪郁()   

  1. 青岛农业大学农学院, 山东青岛 266109
  • 收稿日期:2025-07-16 修回日期:2026-01-19 出版日期:2026-02-27 发布日期:2026-02-27
  • 通讯作者:
    倪郁,女,1975年出生,教授,博士,主要从事油菜育种及栽培技术研究。E-mail:
  • 作者简介:

    樊永鑫,女,1999年出生,山东济南人,硕士研究生,研究方向为农艺与种业。通信地址:266109 山东省青岛市城阳区长城路700号 青岛农业大学农学院,E-mail:

  • 基金资助:
    山东省自然科学基金项目“DREB转录抑制子BnRAP2.1调控甘蓝型油菜蜡质沉积及非生物胁迫抗性的机制研究”(ZR2024MC102)

Study on Optimal Sowing Dates for Rapeseed in Saline-alkali Soil of Yellow River Delta and Effects of Wood Vinegar in Alleviating Salt Stress

FAN Yongxin(), SONG Yuyang, LI Ruirui, FAN Shaopeng, ZOU Xiaoxia, FAN Yijie, YU Xiaona, ZHANG Xiaojun, SI Tong, NI Yu()   

  1. College of Agronomy, Qingdao Agricultural University, Qingdao, Shandong 266109
  • Received:2025-07-16 Revised:2026-01-19 Published:2026-02-27 Online:2026-02-27

摘要:

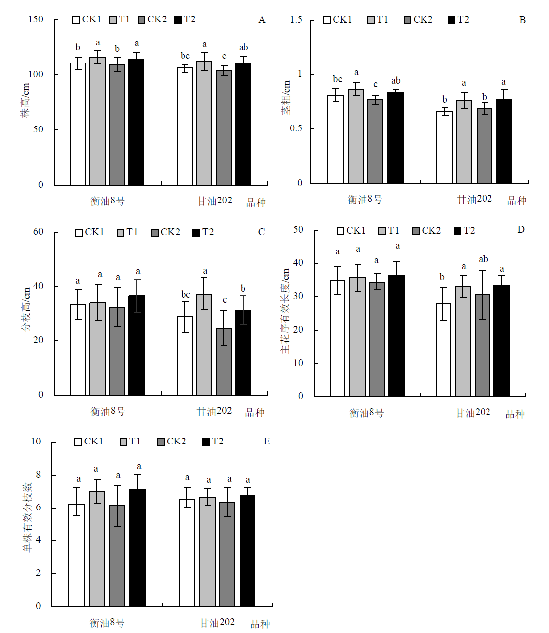
为明确黄河三角洲盐碱地冬油菜适宜播种期及木醋液缓解盐胁迫的调控效果,以‘衡油8号’和‘甘油202’2个冬油菜品种为材料,设置3个播期(9月20日、9月30日、10月10日)与2种木醋液施用方式(蕾薹期和初花期的叶面喷施与根部浇灌),通过田间小区试验系统分析其对冬油菜生长发育和产量构成的影响。结果表明,播期显著影响油菜的出苗率、越冬率及产量性状。9月20日播种的出苗率和越冬率分别较10月10日提高24.4%~24.9%和19.9%~25.0%,单株有效角果数显著增加,单株产量提高34.15%~48.01%。木醋液处理在盐碱地条件下显著改善了油菜植株株高、茎粗等农艺性状,并提高了产量表现。叶面喷施可显著提升‘衡油8号’的千粒重(6.15%)、单株产量(13.77%)及大田产量(16.75%),‘甘油202’则表现为角果数(9.15%)、单株产量(15.69%)和大田产量(8.62%)增加;根部浇灌对2个品种主茎角果数和产量提升效果更为显著,大田产量分别提高21.63%、10.06%。研究表明,适期早播结合木醋液处理可协同缓解盐碱胁迫、优化农艺性状、提升产量。未来可优化木醋液施用浓度与时期,对生理机制进行研究,为盐碱地油菜绿色高效生产提供更精准技术支撑。

关键词: 木醋液, 播期, 油菜, 农艺性状, 产量, 盐碱地

Abstract:

To determine the optimal sowing time for winter rapeseed and evaluate the regulatory effects of wood vinegar on alleviating salt stress in saline-alkali soils of the Yellow River Delta, a field plot experiment was conducted using two winter rapeseed cultivars, ‘Hengyou 8’ and ‘Ganyou 202’. Three sowing dates (September 20, September 30, and October 10) and two wood vinegar application methods(foliar spraying and root irrigation during the budding and early flowering stages) were set to systematically assess their effects on plant development and yield components. The results showed that sowing date significantly influenced emergence rate, overwintering survival, and yield traits. The seedling emergence rate and overwintering rate on September 20 were 24.4% - 24.9% and 19.9% -25.0% higher than those on October 10, respectively. The number of effective siliques per plant was significantly increased, and the yield per plant was increased by 34.15%-48.01%. Under saline conditions, wood vinegar treatment significantly enhanced plant height, stem diameter, and yield performance. Foliar application notably increased the thousand-seed weight (6.15%), single-plant yield (13.77%), and field yield (16.75%) of ‘Hengyou 8’, while ‘Ganyou 202’ exhibited increases in silique number (9.15%), single-plant yield (15.69%), and field yield (8.62%). Root irrigation showed a more pronounced effect on increasing main stem silique number and yield for both cultivars, with field yields rising by 21.63% and 10.06%, respectively. Overall, early sowing combined with wood vinegar treatment effectively alleviated salt stress, optimized agronomic traits, and significantly enhanced yield. In the future, the concentration and period of wood vinegar application can be optimized, combined with physiological mechanism research, to provide more accurate technical support for green and efficient production of rape in saline-alkali land.

Key words: wood vinegar, sowing date, rapeseed, agronomic traits, yield, saline-alkali soils