欢迎访问《中国农学通报》,

中国农学通报 ›› 2026, Vol. 42 ›› Issue (4): 90-96.doi: 10.11924/j.issn.1000-6850.casb2025-0464

• 林学·园艺·园林 • 上一篇    下一篇

复合微生物肥料与化肥配施对娃娃菜产量和品质的影响

肖婷1(), 聂青2, 刘磊3, 李婷2, 杨萌3, 曲明山2()   

  1. 1 北京市农业农村科技发展中心, 北京 101117
    2 北京市农业技术推广站, 北京 100029
    3 北京市通州区农业(种植)技术推广中心, 北京 101101
  • 收稿日期:2025-06-05 修回日期:2025-10-20 出版日期:2026-02-27 发布日期:2026-02-27
  • 通讯作者:
    曲明山,男,1981年出生,山东烟台人,正高级农艺师,硕士,研究方向:植物营养与施肥技术研究。通信地址:100029 北京市朝阳区惠新里甲十号 北京市工业技术推广站,Tel:010-84617313,E-mail:
  • 作者简介:

    肖婷,女,2000年出生,湖南衡阳人,硕士,研究方向:植物营养与施肥技术研究。通信地址:101117 北京市通州区留庄路5号1号楼,Tel:010-55525474,E-mail:

  • 基金资助:
    国家重点研发计划“集约化蔬菜产区面源污染防控及绿色发展技术集成示范”(2024YFD1701100); 北京市设施蔬菜创新团队项目(BAIC01-2025)

Effects of Combined Application of Compound Microbial Fertilizer and Chemical Fertilizer on Yield and Quality of Mini Chinese Cabbage

XIAO Ting1(), NIE Qing2, LIU Lei3, LI Ting2, YANG Meng3, QU Mingshan2()   

  1. 1 Development Center of Science and Technology, Beijing Municipal Bureau of Agriculture and Rural Affairs, Beijing 101117
    2 Beijing Agricultural Technology Extension Station, Beijing 100029
    3 Tongzhou District Agricultural (Planting) Technology Extension Center, Beijing 101101
  • Received:2025-06-05 Revised:2025-10-20 Published:2026-02-27 Online:2026-02-27

摘要:

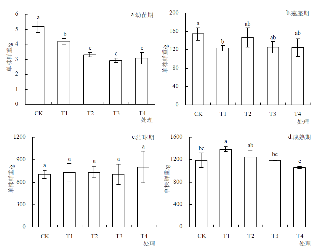
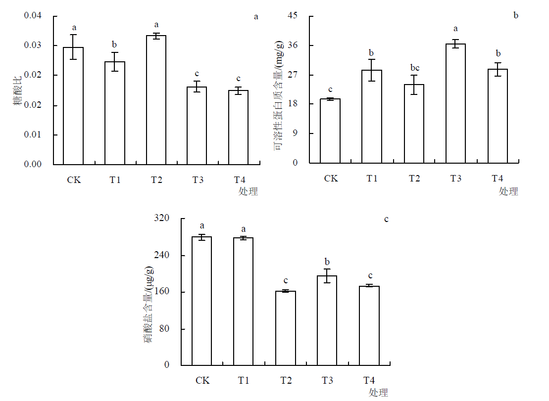
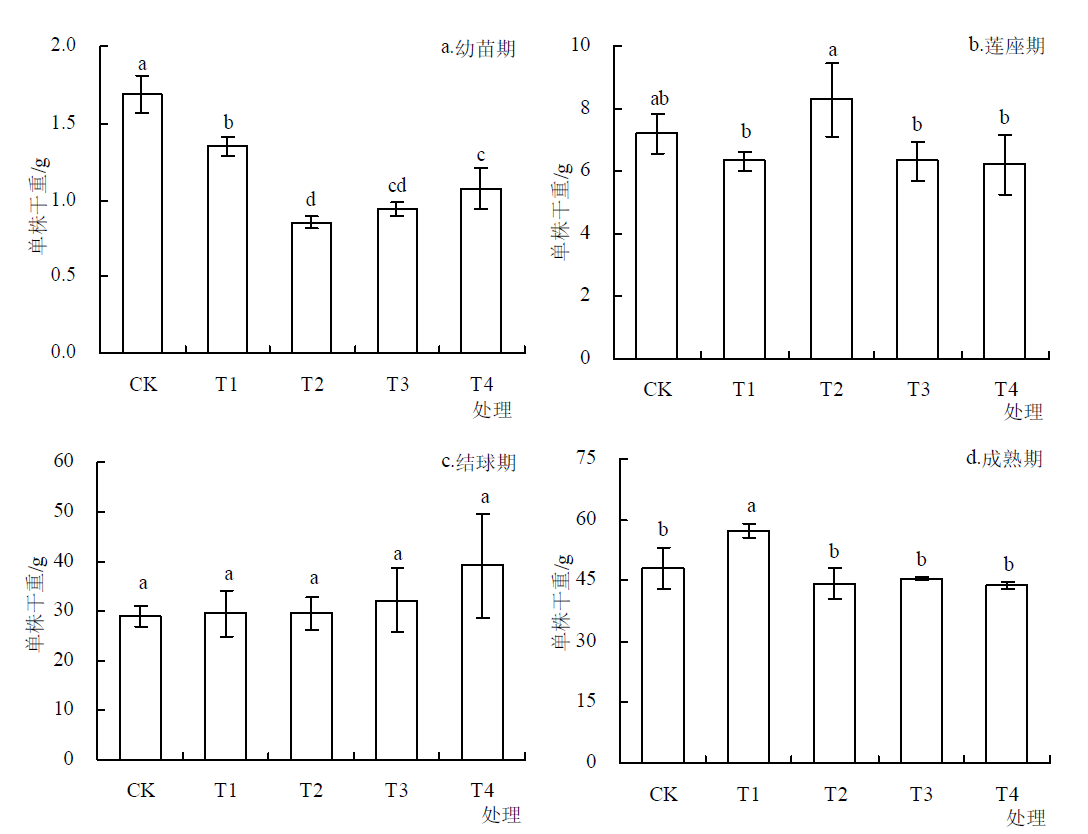
研究微生物肥料与化肥配合施用对北京地区娃娃菜产量和品质的影响,明确最佳用量配比,为娃娃菜生产提供科学施肥依据。以‘京春娃4号’娃娃菜为试验对象,设置不同用量微生物肥料[复合微生物肥料(12-0-3) 300 kg/hm2+复合肥(18-9-18) 315 kg/hm2(T1)、复合微生物肥料(12-0-3) 300 kg/hm2+复合肥(18-9-18) 157.5 kg/hm2(T2)、复合微生物肥料(12-0-3) 150 kg/hm2+复合肥(18-9-18) 315 kg/hm2(T3)、复合微生物肥料(12-0-3) 150 kg/hm2+复合肥(18-9-18) 157.5 kg/hm2(T4)]和化肥配合施用作为基肥与常规施肥[CK,生物有机肥600 kg/hm2+复合肥(15-15-15) 375 kg/hm2]共5个处理进行对比研究。结果表明,复合微生物肥料与化肥适当配施能够在一定程度上提高娃娃菜产量和可溶性蛋白质含量。其中T1处理表现最优,生物产量、经济产量相较于常规施肥分别显著提高20.50%、16.63%,可溶性蛋白质含量显著提高45.59%。娃娃菜全生育期养分积累量表现为成熟期>结球期>莲座期>幼苗期,每生产1000 kg娃娃菜需N 1.39 kg、P2O5 0.85 kg、K2O 0.62 kg。因此,复合微生物肥料(12-0-3) 300 kg/hm2+复合肥(18-9-18) 315 kg/hm2配施可作为北京地区娃娃菜生产的推荐施肥措施之一。

关键词: 娃娃菜, 微生物肥料, 化肥, 配合施用, 产量, 品质

Abstract:

The study aims to explore the effect of combined application of microbial fertilizer and chemical fertilizer on the yield and quality of mini Chinese cabbage, and to explore the appropriate dosage ratio, so as to provide scientific fertilization basis for the production of mini cabbage in Beijing. ‘Jingchunwa No.4’ mini cabbage was used as the experimental object. T1-T4 different amounts of microbial fertilizer [T1: compound microbial fertilizer (12-0-3) 300 kg/hm2+ compound fertilizer (18-9-18) 315 kg/hm2, T2: compound microbial fertilizer (12-0-3) 300 kg/hm2+ compound fertilizer (18-9-18) 157.5 kg/hm2, T3: compound microbial fertilizer (12-0-3) 150 kg/hm2+ compound fertilizer (18-9-18) 315 kg/hm2 and T4: compound microbial fertilizer (12-0-3) 150 kg/hm2+ compound fertilizer (18-9-18) 157.5 kg/hm2] combined with chemical fertilizer as base fertilizer and conventional fertilization [CK, bio-organic fertilizer 600 kg/hm2+ compound fertilizer (15-15-15) 375 kg/hm2], a total of 5 treatments were compared. The results showed that the appropriate combination of compound microbial fertilizer and chemical fertilizer could increase the yield and soluble protein content of mini cabbage to a certain extent. Compared with conventional fertilization, the biological yield and economic yield of T1 treatment were significantly increased by 20.50% and 16.63%, respectively, and the soluble protein content was significantly increased by 45.59%. The nutrient accumulation of mini cabbage in the whole growth period was as followed: mature stage> heading stage> rosette stage> seedling stage. It needed 1.39 kg N, 0.85 kg P2O5 and 0.62 kg K2O to produce 1000 kg mini cabbage. Therefore, compound microbial fertilizer (12-0-3) 300 kg/hm2+ compound fertilizer (18-9-18) 315 kg/hm2 could be used as one of the recommended fertilization measures in the production of mini Chinese cabbage.

Key words: mini Chinese cabbage, microbial fertilizer, chemical fertilizer, combined application, yield, quality