中国农学通报 ›› 2026, Vol. 42 ›› Issue (4): 8-16.doi: 10.11924/j.issn.1000-6850.casb2025-0376
收稿日期:2025-05-21
修回日期:2025-10-11
出版日期:2026-02-27
发布日期:2026-02-27
通讯作者:
作者简介:王平,男,1979年出生,甘肃定西人,高级农艺师,硕士,研究方向:作物高产高效栽培技术研究。通信地址:730010 兰州市城关区雁宁路256号,Tel:0931-8584981,E-mail:wangping0931@163.com。
基金资助:
WANG Ping1(
), WANG Lei1, XIE Chengjun1(
), SUN Zhenrong1, CHEN Juan2
Received:2025-05-21
Revised:2025-10-11
Published:2026-02-27
Online:2026-02-27
摘要:
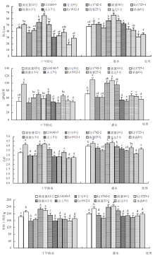
针对陇中干旱半干旱地区马铃薯生产受干旱胁迫制约,优质抗旱品种匮乏的问题,筛选适合陇中冷凉地区种植的耐旱高产马铃薯品种,以‘L14140-5’‘甘引9号’‘Ly1742-2’等12个马铃薯品种(系)为材料,采用裂区试验设计,主区设干旱胁迫(无灌溉)和正常灌溉处理,副区为品种,测定株高、叶面积指数(LAI)、SPAD值等农艺性状及产量,结合抗旱系数、主成分分析、隶属函数法和聚类分析进行抗旱性综合评价。结果表明:(1)干旱胁迫显著抑制马铃薯生长与产量,灌溉处理下株高、LAI、SPAD值、单株干物质积累量、产量分别较干旱胁迫增加0.77%~67.74%、2.94%~32.25%、0.82%~83.01%、4.73%~21.07%、1.53%~75.89%。(2)品种间抗旱性差异显著,‘陇薯10号’干旱胁迫下产量降幅仅1.53%,抗旱系数0.98,抗旱指数1.402,表现最优。(3)聚类分析将参试品种划分为3类,高抗旱品种4个(‘陇薯10号’‘L14140-5’‘Ly1742-2’‘Ly1725-1’),中等抗旱品种6个,弱抗旱品种2个(‘富达1号’‘沃土5号’)。综上,‘陇薯10号’‘L14140-5’综合性状优异,抗旱性强、产量稳定,适宜在陇中半干旱地区推广种植。未来可开展多年多点试验,结合生理生化指标与分子标记,深化品种抗旱机制研究,为抗旱育种提供更全面支撑。
王平, 王镭, 谢成俊, 孙振荣, 陈娟. 陇中地区马铃薯品种抗旱性综合评价[J]. 中国农学通报, 2026, 42(4): 8-16.
WANG Ping, WANG Lei, XIE Chengjun, SUN Zhenrong, CHEN Juan. Comprehensive Evaluation of Drought Resistance of Potato Varieties in Longzhong Region[J]. Chinese Agricultural Science Bulletin, 2026, 42(4): 8-16.
| 品种 | 干旱胁迫 | 灌水 | |||||
|---|---|---|---|---|---|---|---|
| 大薯产量/(kg/24 m2) | 小薯产量/(kg/24 m2) | 商品率/% | 大薯产量/(kg/24 m2) | 小薯产量/(kg/24 m2) | 商品率/% | ||
| 冀张薯12号 | 46.15f | 36.22c | 56.03b | 93.53b | 27.71d | 77.14b | |
| L14140-5 | 78.55b | 49.75a | 61.22b | 96.87b | 62.29a | 60.86cd | |
| 甘引9号 | 69.74a | 19.65d | 83.54a | 107.30a | 18.13h | 85.54a | |
| Ly1742-2 | 62.84d | 49.75a | 55.81b | 83.35c | 40.58c | 67.25c | |
| 陇薯10号 | 70.69c | 50.62a | 58.27b | 82.25c | 40.91b | 66.78c | |
| Ly1725-1 | 54.98e | 41.13b | 57.21b | 68.18d | 53.45b | 56.05d | |
| 陇薯红1号 | 37.75d | 41.45b | 47.66c | 56.18e | 40.36c | 58.19d | |
| 沃土5号 | 33.93d | 27.60cd | 55.14b | 65.78d | 42.44c | 60.79c | |
| Ly1912-1 | 32.29d | 23.48d | 57.90b | 40.15f | 31.85d | 55.76d | |
| 陇薯23号 | 35.56d | 40.15b | 46.97c | 42.98f | 39.93c | 51.84d | |
| 富达1号 | 11.35i | 22.69d | 33.33d | 29.13h | 26.73d | 52.15d | |
| 希森6号 | 21.27h | 35.45c | 37.50d | 39.82g | 22.80d | 63.59cd | |
| 品种 | 干旱胁迫 | 灌水 | |||||
|---|---|---|---|---|---|---|---|
| 大薯产量/(kg/24 m2) | 小薯产量/(kg/24 m2) | 商品率/% | 大薯产量/(kg/24 m2) | 小薯产量/(kg/24 m2) | 商品率/% | ||
| 冀张薯12号 | 46.15f | 36.22c | 56.03b | 93.53b | 27.71d | 77.14b | |
| L14140-5 | 78.55b | 49.75a | 61.22b | 96.87b | 62.29a | 60.86cd | |
| 甘引9号 | 69.74a | 19.65d | 83.54a | 107.30a | 18.13h | 85.54a | |
| Ly1742-2 | 62.84d | 49.75a | 55.81b | 83.35c | 40.58c | 67.25c | |
| 陇薯10号 | 70.69c | 50.62a | 58.27b | 82.25c | 40.91b | 66.78c | |
| Ly1725-1 | 54.98e | 41.13b | 57.21b | 68.18d | 53.45b | 56.05d | |
| 陇薯红1号 | 37.75d | 41.45b | 47.66c | 56.18e | 40.36c | 58.19d | |
| 沃土5号 | 33.93d | 27.60cd | 55.14b | 65.78d | 42.44c | 60.79c | |
| Ly1912-1 | 32.29d | 23.48d | 57.90b | 40.15f | 31.85d | 55.76d | |
| 陇薯23号 | 35.56d | 40.15b | 46.97c | 42.98f | 39.93c | 51.84d | |
| 富达1号 | 11.35i | 22.69d | 33.33d | 29.13h | 26.73d | 52.15d | |
| 希森6号 | 21.27h | 35.45c | 37.50d | 39.82g | 22.80d | 63.59cd | |
| 品种 | 干旱胁迫产量/(kg/hm2) | 灌水产量/(kg/hm2) | DC | DI |
|---|---|---|---|---|
| 冀张薯12号 | 34335.34cB | 50540.41bA | 0.68 | 0.656 |
| L14140-5 | 53481.27aB | 66351.34aA | 0.81 | 1.213 |
| 甘引9号 | 37245.83aB | 52290.00bA | 0.95 | 0.747 |
| Ly1742-2 | 46932.55abB | 51662.18bA | 0.91 | 1.200 |
| 陇薯10号 | 50570.73aA | 51343.84bA | 0.98 | 1.402 |
| Ly1725-1 | 40065.48bB | 50707.16bA | 0.79 | 0.891 |
| 陇薯红1号 | 33016.50cB | 40247.39cA | 0.82 | 0.762 |
| 沃土5号 | 25649.18dB | 45113.45cA | 0.57 | 0.410 |
| Ly1912-1 | 23247.98dB | 30015.00deA | 0.77 | 0.507 |
| 陇薯23号 | 31561.23cdB | 34562.73dA | 0.91 | 0.811 |
| 富达1号 | 14188.91eB | 23284.36eA | 0.61 | 0.243 |
| 希森6号 | 23648.18dB | 26103.95eA | 0.91 | 0.603 |
| 品种 | 干旱胁迫产量/(kg/hm2) | 灌水产量/(kg/hm2) | DC | DI |
|---|---|---|---|---|
| 冀张薯12号 | 34335.34cB | 50540.41bA | 0.68 | 0.656 |
| L14140-5 | 53481.27aB | 66351.34aA | 0.81 | 1.213 |
| 甘引9号 | 37245.83aB | 52290.00bA | 0.95 | 0.747 |
| Ly1742-2 | 46932.55abB | 51662.18bA | 0.91 | 1.200 |
| 陇薯10号 | 50570.73aA | 51343.84bA | 0.98 | 1.402 |
| Ly1725-1 | 40065.48bB | 50707.16bA | 0.79 | 0.891 |
| 陇薯红1号 | 33016.50cB | 40247.39cA | 0.82 | 0.762 |
| 沃土5号 | 25649.18dB | 45113.45cA | 0.57 | 0.410 |
| Ly1912-1 | 23247.98dB | 30015.00deA | 0.77 | 0.507 |
| 陇薯23号 | 31561.23cdB | 34562.73dA | 0.91 | 0.811 |
| 富达1号 | 14188.91eB | 23284.36eA | 0.61 | 0.243 |
| 希森6号 | 23648.18dB | 26103.95eA | 0.91 | 0.603 |
| 品种 | 株高 | SPAD值 | LAI | 单株干物质 | 商品率 | 产量 |
|---|---|---|---|---|---|---|
| 冀张薯12号 | 0.948 | 0.713 | 0.830 | 0.915 | 0.726 | 0.679 |
| L14140-5 | 0.990 | 0.896 | 0.965 | 0.914 | 1.006 | 0.806 |
| 甘引9号 | 0.729 | 0.771 | 0.782 | 0.903 | 0.912 | 0.712 |
| Ly1742-2 | 0.912 | 0.992 | 0.845 | 0.954 | 0.830 | 0.908 |
| 陇薯10号 | 0.956 | 0.691 | 0.971 | 0.955 | 0.873 | 0.985 |
| Ly1725-1 | 0.992 | 0.546 | 0.961 | 0.902 | 1.021 | 0.790 |
| 陇薯红1号 | 0.884 | 0.722 | 0.924 | 0.886 | 0.819 | 0.820 |
| 沃土5号 | 0.596 | 0.896 | 0.780 | 0.859 | 0.907 | 0.569 |
| Ly1912-1 | 0.756 | 0.913 | 0.810 | 0.911 | 1.038 | 0.775 |
| 陇薯23号 | 0.920 | 0.988 | 0.866 | 0.938 | 0.906 | 0.913 |
| 富达1号 | 0.601 | 0.808 | 0.850 | 0.846 | 0.639 | 0.609 |
| 希森6号 | 0.829 | 0.868 | 0.756 | 0.869 | 0.590 | 0.906 |
| 品种 | 株高 | SPAD值 | LAI | 单株干物质 | 商品率 | 产量 |
|---|---|---|---|---|---|---|
| 冀张薯12号 | 0.948 | 0.713 | 0.830 | 0.915 | 0.726 | 0.679 |
| L14140-5 | 0.990 | 0.896 | 0.965 | 0.914 | 1.006 | 0.806 |
| 甘引9号 | 0.729 | 0.771 | 0.782 | 0.903 | 0.912 | 0.712 |
| Ly1742-2 | 0.912 | 0.992 | 0.845 | 0.954 | 0.830 | 0.908 |
| 陇薯10号 | 0.956 | 0.691 | 0.971 | 0.955 | 0.873 | 0.985 |
| Ly1725-1 | 0.992 | 0.546 | 0.961 | 0.902 | 1.021 | 0.790 |
| 陇薯红1号 | 0.884 | 0.722 | 0.924 | 0.886 | 0.819 | 0.820 |
| 沃土5号 | 0.596 | 0.896 | 0.780 | 0.859 | 0.907 | 0.569 |
| Ly1912-1 | 0.756 | 0.913 | 0.810 | 0.911 | 1.038 | 0.775 |
| 陇薯23号 | 0.920 | 0.988 | 0.866 | 0.938 | 0.906 | 0.913 |
| 富达1号 | 0.601 | 0.808 | 0.850 | 0.846 | 0.639 | 0.609 |
| 希森6号 | 0.829 | 0.868 | 0.756 | 0.869 | 0.590 | 0.906 |
| 变量 | 第1主成分 | 第2主成分 |
|---|---|---|
| 株高 | 0.897 | -0.084 |
| SPAD值 | -0.168 | 0.899 |
| LAI | 0.749 | -0.5 |
| 单株干物质 | 0.858 | 0.335 |
| 产量 | 0.784 | 0.381 |
| 商品率 | 0.447 | -0.163 |
| DI | 0.937 | 0.094 |
| 特征值 | 3.823 | 1.357 |
| 方差贡献率/% | 54.615 | 19.390 |
| 累积贡献率/% | 54.615 | 74.005 |
| 变量 | 第1主成分 | 第2主成分 |
|---|---|---|
| 株高 | 0.897 | -0.084 |
| SPAD值 | -0.168 | 0.899 |
| LAI | 0.749 | -0.5 |
| 单株干物质 | 0.858 | 0.335 |
| 产量 | 0.784 | 0.381 |
| 商品率 | 0.447 | -0.163 |
| DI | 0.937 | 0.094 |
| 特征值 | 3.823 | 1.357 |
| 方差贡献率/% | 54.615 | 19.390 |
| 累积贡献率/% | 54.615 | 74.005 |
| 品种 | 综合指标值 | 隶属函数值 | D值 | 抗旱性排名 | |||
|---|---|---|---|---|---|---|---|
| PC1 | PC2 | μ(x1) | μ(x2) | ||||
| 冀张薯12号 | -0.512 | 0.465 | 0.489 | 0.479 | 0.486 | 7 | |
| L14140-5 | 1.349 | 0.526 | 0.846 | 0.494 | 0.736 | 2 | |
| 甘引9号 | -0.991 | -0.198 | 0.397 | 0.311 | 0.370 | 9 | |
| Ly1742-2 | 2.140 | -1.424 | 0.998 | 0.000 | 0.686 | 5 | |
| 陇薯10号 | 2.152 | 1.012 | 1.000 | 0.617 | 0.880 | 1 | |
| Ly1725-1 | 0.099 | 2.521 | 0.606 | 1.000 | 0.729 | 3 | |
| 陇薯红1号 | -0.236 | 0.959 | 0.542 | 0.604 | 0.561 | 6 | |
| 沃土5号 | -2.598 | -0.645 | 0.088 | 0.197 | 0.122 | 11 | |
| Ly1912-1 | 0.156 | -0.744 | 0.617 | 0.172 | 0.478 | 8 | |
| 陇薯23号 | 2.020 | -1.099 | 0.975 | 0.082 | 0.696 | 4 | |
| 富达1号 | -3.057 | -0.048 | 0.000 | 0.349 | 0.109 | 12 | |
| 希森6号 | -0.522 | -1.325 | 0.487 | 0.025 | 0.342 | 10 | |
| 权重 | 0.687 | 0.313 | |||||
| 品种 | 综合指标值 | 隶属函数值 | D值 | 抗旱性排名 | |||
|---|---|---|---|---|---|---|---|
| PC1 | PC2 | μ(x1) | μ(x2) | ||||
| 冀张薯12号 | -0.512 | 0.465 | 0.489 | 0.479 | 0.486 | 7 | |
| L14140-5 | 1.349 | 0.526 | 0.846 | 0.494 | 0.736 | 2 | |
| 甘引9号 | -0.991 | -0.198 | 0.397 | 0.311 | 0.370 | 9 | |
| Ly1742-2 | 2.140 | -1.424 | 0.998 | 0.000 | 0.686 | 5 | |
| 陇薯10号 | 2.152 | 1.012 | 1.000 | 0.617 | 0.880 | 1 | |
| Ly1725-1 | 0.099 | 2.521 | 0.606 | 1.000 | 0.729 | 3 | |
| 陇薯红1号 | -0.236 | 0.959 | 0.542 | 0.604 | 0.561 | 6 | |
| 沃土5号 | -2.598 | -0.645 | 0.088 | 0.197 | 0.122 | 11 | |
| Ly1912-1 | 0.156 | -0.744 | 0.617 | 0.172 | 0.478 | 8 | |
| 陇薯23号 | 2.020 | -1.099 | 0.975 | 0.082 | 0.696 | 4 | |
| 富达1号 | -3.057 | -0.048 | 0.000 | 0.349 | 0.109 | 12 | |
| 希森6号 | -0.522 | -1.325 | 0.487 | 0.025 | 0.342 | 10 | |
| 权重 | 0.687 | 0.313 | |||||
| [1] |
王钧, 李广, 闫丽娟, 等. 气候变化背景下甘肃农牧交错带玉米气候生产潜力和资源利用效率变化特征[J]. 应用生态学报, 2023, 34(1):160-168.
doi: 10.13287/j.1001-9332.202301.023 |
| [2] |
王平, 陈娟, 王镭, 等. 不同种植方式对土壤水热及马铃薯产量的影响[J]. 中国瓜菜, 2025, 38(10):148-155.
|
| [3] |
姚玉璧, 杨金虎, 肖国举, 等. 气候变暖对马铃薯生长发育及产量影响研究进展与展望[J]. 生态环境学报, 2017, 26(3):538-546.
doi: 10.16258/j.cnki.1674-5906.2017.03.025 |
| [4] |
王丽, 熊兴耀, 蔡柳, 等. 我国不同产区马铃薯栽培品种的主要品质性状比较分析[J]. 南方农业学报, 2023, 54(1):80-89.
|
| [5] |
尹智宇, 封永生, 肖关丽. 干旱胁迫对马铃薯不同生育时期生理生化指标的影响[J]. 云南农业大学学报(自然科学), 2018, 33(1):26-33.
|
| [6] |
张瑞玖, 马恢, 籍立杰, 等. 干旱胁迫对马铃薯品种生长及生理生化指标的影响[J]. 中国农学通报, 2022, 38(15):34-39.
doi: 10.11924/j.issn.1000-6850.casb2021-1175 |
| [7] |
史田斌, 刘震, 李志涛, 等. 不同生育期干旱胁迫对马铃薯生长特性、块茎产量和水分利用效率的影响[J]. 江苏农业学报, 2024, 40(2):193-202.
|
| [8] |
李佳欣, 张天赐, 任晓月, 等. 不同生育期马铃薯根系构型及生理指标对干旱胁迫的响应[J]. 西北植物学报, 2024, 44(12):1848-1855.
|
| [9] |
doi: 10.1186/s40538-021-00266-z |
| [10] |
doi: 10.3390/agronomy14061131 URL |
| [11] |
秦天元, 孙超, 毕真真, 等. 马铃薯不同耐旱品系管栽苗及其根尖显微结构对干旱胁迫的响应[J]. 生物技术通报, 2018, 34(12):102-109.
doi: 10.13560/j.cnki.biotech.bull.1985.2018-0674 |
| [12] |
|
| [13] |
孙梦晴, 叶佳丽, 刘溢健, 等. 不同马铃薯品种干旱适应性与其钾素营养特性的关系[J]. 干旱地区农业研究, 2024, 42(4):1-12.
|
| [14] |
姚岭柏, 韩海霞, 梁婷, 等. 不同品种马铃薯生长及光合指标对干旱胁迫的反应[J]. 东北农业科学, 2024, 49(2):55-58.
|
| [15] |
王平, 谢成俊, 孙振荣, 等. 冷凉灌区马铃薯施肥量与种植密度对马铃薯生长及产量的影响[J]. 农学学报, 2023, 13(6):17-24.
doi: 10.11923/j.issn.2095-4050.cjas2022-0062 |
| [16] |
苏日古嘎, 邬春雨, 刘荣跃, 等. 硫酸钾和氯化钾对马铃薯生长及产量的影响[J]. 中国农学通报, 2023, 39(18):34-42.
doi: 10.11924/j.issn.1000-6850.casb2022-0422 |
| [17] |
杜培兵, 杨文静. 马铃薯抗旱品种筛选及鉴定试验[J]. 中国蔬菜, 2018(9):29-34.
|
| [18] |
李亚杰, 李德明, 李丰先, 等. 西北旱作区马铃薯多点试验中高代品系稳定性分析[J]. 干旱地区农业研究, 2020, 38(5):218-225.
|
| [19] |
邓振镛, 王强, 张强, 等. 中国北方气候暖干化对粮食作物的影响及应对措施[J]. 生态学报, 2010, 30(22):6278-6288.
|
| [20] |
李京栋, 宋周莺, 李先德, 等. 价格波动下中国马铃薯主产区产业扶贫效果评价[J]. 经济地理, 2019, 39(10):162-171.
doi: 10.15957/j.cnki.jjdl.2019.10.021 |
| [21] |
崔勇, 李培贵, 李珍, 等. 马铃薯干旱胁迫响应及抗旱综合技术研究进展[J]. 中国蔬菜, 2023(4):20-28.
|
| [22] |
丁凯鑫, 王立春, 田国奎, 等. 马铃薯生长及生理特性对水分胁迫的响应研究综述[J]. 作物杂志, 2023(4):16-21.
|
| [23] |
秦天元, 刘玉汇, 孙超, 等. 马铃薯StIgt基因家族的鉴定及其对干旱胁迫的响应分析[J]. 作物学报, 2021, 47(4):780-786.
doi: 10.3724/SP.J.1006.2021.04122 |
| [24] |
李保成, 康文钦, 任永峰, 等. 干旱对不同马铃薯品种生长和产量的影响[J]. 北方农业学报, 2023, 51(5):40-50.
doi: 10.12190/j.issn.2096-1197.2023.05.04 |
| [25] |
doi: 10.1093/plcell/koac321 URL |
| [26] |
|
| [1] | 朱谣, 王顺旺, 袁露溢, 李万仙, 李永辉, 王昌梅, 吴凯, 蒋金和, 张无敌, 尹芳. 尾菜沼液灌溉量对食叶草产量品质、土壤酶活性及养分的影响[J]. 中国农学通报, 2026, 42(4): 139-145. |
| [2] | 刘怡鸣, 邹宗庆, 徐志强, 王启业, 陈享灯, 郝贤伟, 吴小萍, 孟霖. 北方气候下‘翠碧一号’片烟最佳醇化周期研究[J]. 中国农学通报, 2026, 42(4): 204-209. |
| [3] | 熊莹, 杨俊杰, 蒋佳祝, 李强, 王永, 张杨, 董小卫, 张东东. 山东省不同产区烤烟化学成分差异性及可用性分析[J]. 中国农学通报, 2026, 42(4): 210-218. |
| [4] | 樊永鑫, 宋雨洋, 李瑞瑞, 范绍鹏, 邹晓霞, 范宜杰, 于晓娜, 张晓军, 司彤, 倪郁. 黄河三角洲盐碱地油菜适宜播期及木醋液缓解盐胁迫效应的研究[J]. 中国农学通报, 2026, 42(4): 27-33. |
| [5] | 付凯睿, 侍浩良, 周顺宝, 王中源, 周红霞, 李文亭, 杨云丽, 李光洋, 田明慧, 付丽美, 余磊, 黄飞燕, 周厚发. 不同栽培措施对云南双江‘云烟116’生长及品质的影响[J]. 中国农学通报, 2026, 42(4): 34-45. |
| [6] | 李昕建, 雷庭, 韦兴启, 游安弟, 周阳恒, 罗明全, 莫泽刚, 刘晓昂, 朱英华, 唐兴贵. 剪叶对井窖移栽烟苗关键指标的影响[J]. 中国农学通报, 2026, 42(4): 46-51. |
| [7] | 陆欣远, 钱玭, 徐勇贤, 王一柳, 王火焰, 卢殿君, 郑乐. 抚仙湖流域起垄施肥一体化机械应用对烤烟产量与养分吸收的影响[J]. 中国农学通报, 2026, 42(4): 52-58. |
| [8] | 李源, 康辉茹, 彭波, 吴连霞, 夏伟新, 毕海燕. 不同滴灌量对南疆核桃树生长及产量品质的影响[J]. 中国农学通报, 2026, 42(4): 75-82. |
| [9] | 肖婷, 聂青, 刘磊, 李婷, 杨萌, 曲明山. 复合微生物肥料与化肥配施对娃娃菜产量和品质的影响[J]. 中国农学通报, 2026, 42(4): 90-96. |
| [10] | 姚翔, 程亚楠, 刘萍, 陈琼, 胡秀. 基于光合荧光与隶属函数的节水耐旱姜花种质筛选[J]. 中国农学通报, 2026, 42(4): 97-104. |
| [11] | 李星星, 欧欢, 杨健, 张永杰, 陈娟, 李春艳, 马辉, 刘荣森, 李金鸿. 新疆南疆正播玉米品种适应性筛选试验[J]. 中国农学通报, 2026, 42(4): 1-7. |
| [12] | 罗静, 杜珊珊, 姚青青, 王东力, 何忠盛, 孙绘健, 王瑞军. NaCl和Na2SO4盐胁迫对陆地棉种子萌发的影响及耐盐种质的筛选[J]. 中国农学通报, 2026, 42(3): 48-56. |
| [13] | 黄维, 潘荟晓, 吴炫柯, 何燕, 谭孟祥, 刘永裕. 广西双季稻产量灾损风险区划及致灾气象因子分析[J]. 中国农学通报, 2026, 42(3): 144-154. |
| [14] | 赵加涛, 郭勉艳, 刘猛道, 付正波, 於琦. 种植密度和刈割期对‘保啤麦28号’饲草产量和品质的影响[J]. 中国农学通报, 2026, 42(3): 177-182. |
| [15] | 唐建鹏, 陈京都, 刘绍贵, 洪叶, 张彦, 辛海滨, 陆佩玲, 张明伟. 减量简化侧深施肥对水稻物质生产及品质的影响[J]. 中国农学通报, 2026, 42(2): 16-24. |
| 阅读次数 | ||||||
|
全文 |
|
|||||
|
摘要 |
|
|||||