欢迎访问《中国农学通报》,

中国农学通报 ›› 2026, Vol. 42 ›› Issue (4): 75-82.doi: 10.11924/j.issn.1000-6850.casb2025-0518

• 林学·园艺·园林 • 上一篇    下一篇

不同滴灌量对南疆核桃树生长及产量品质的影响

李源1(), 康辉茹2, 彭波3, 吴连霞2, 夏伟新4, 毕海燕5()   

  1. 1 新疆维吾尔自治区农业科学院农业资源与环境研究所, 乌鲁木齐 830091
    2 新疆叶核农业科技有限公司, 乌鲁木齐 830049
    3 新疆林业学校, 乌鲁木齐 830024
    4 新疆仕永达农业科技发展有限公司, 乌鲁木齐 830009
    5 新疆维吾尔自治区农业技术推广总站, 乌鲁木齐 830002
  • 收稿日期:2025-06-24 修回日期:2025-11-19 出版日期:2026-02-27 发布日期:2026-02-27
  • 通讯作者:
    毕海燕,女,1987年出生,硕士研究生,主要从事植物营养研究。通信地址:830002 新疆乌鲁木齐天山区胜利路157号 新疆维吾尔自治区农业技术推广总站,Tel:0991-2808483,E-mail:
  • 作者简介:

    李源,男,1987年出生,博士研究生,主要从事果树水肥一体化研究。通信地址:830091 新疆乌鲁木齐沙区南昌路403号 新疆维吾尔自治区农业科学院农业资源与环境研究所,Tel:0991-4501264,E-mail:

  • 基金资助:
    新疆少数民族科技人才特殊培养计划项目“核桃滴灌水分高效利用技术研究”(2023D03005)

Effects of Different Drip Irrigation Rates on Growth, Yield and Quality of Walnut Trees in Southern Xinjiang

LI Yuan1(), KANG Huiru2, PENG Bo3, WU Lianxia2, XIA Weixin4, BI Haiyan5()   

  1. 1 Institute of Agricultural Resources and Environment, Xinjiang Academy of Agricultural Sciences, Urumqi 830091
    2 Xinjiang Yehe Agricultural Science and Technology Co., Ltd., Urumqi 830028
    3 Xinjiang Forestry School, Urumqi 830024
    4 Xinjiang Shiyongda Agricultural Science and Technology Co., Ltd., Urumqi 830009
    5 Agricultural Technology Extension General Station of Xinjiang Uygur Autonomous Region, Urumqi 830002
  • Received:2025-06-24 Revised:2025-11-19 Published:2026-02-27 Online:2026-02-27

摘要:

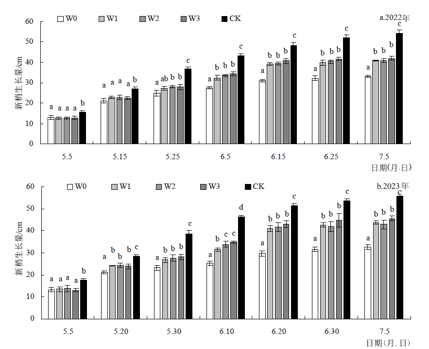
为提高新疆南疆果园水资源利用效率,开展不同滴灌量对成龄核桃生长及产量品质的影响研究。2022—2023年以15年生‘新新2’核桃树为材料,设置7350 m3/hm2(W0)、7350 m3/hm2(W1)、7800 m3/hm2(W2)、8700 m3/hm2(W3)和12000 m3/hm2(CK)5个滴灌量处理,连续2年测定核桃土壤含水率、生长指标、光合参数及产量品质。试验结果表明:(1)随着滴灌量的增加,土壤含水率迅速提升,滴灌1500 m3/hm2时主要补充了0~180 cm以上浅层土壤水。一次灌水后到下一次灌水前,0~100 cm浅层土壤含水率受地表蒸发和蒸腾作用波动幅度较大,而100 cm以下含水率波动幅度小。(2)滴灌量增加对新梢生长量、果实纵径的影响显著。W0处理新梢的生长、果实纵径和净光合速率显著低于其他处理。W1、W2、W3处理新梢生长量和光合速率显著低于CK处理,但果径与CK处理无显著差异。(3)W0处理与CK处理对比,2年分别减产13.37%、13.4%,W1、W2、W3处理与CK处理在产量上无显著差异。W1处理核桃壳厚度显著大于其他处理,出仁率低于其他各处理。结合核桃生长生理和产量品质特征,7800 m3/hm2处理为核桃推荐灌溉量。

关键词: 滴灌量, 水分利用效率, 核桃, 产量, 生长发育

Abstract:

In order to improve the water resource utilization efficiency of orchards in southern Xinjiang, the effects of different drip irrigation rates on the growth, yield and quality of mature walnuts were studied. From 2022 to 2023, taking 15-year-old walnut tree, ‘Xinxin 2’, as the object, five treatments, 7350 m3/hm2 (W0), 7350 m3/hm2 (W1), 7800 m3/hm2 (W2), 8700 m3/hm2 (W3) and 12000 m3/hm2 (CK) were set up in this research to study the effects of different irrigation amounts on soil moisture content, growth, yield and quality of walnut. The experimental results showed: (1)With the increase of drip irrigation, the soil moisture content increased rapidly, and when drip irrigation was 1500 m3/hm2, the shallow soil water above 0-180 cm was mainly supplemented. From the first irrigation to the next irrigation, the moisture content of shallow soil from 0 to 100 cm fluctuated greatly due to surface evaporation and transpiration, while the moisture content below 100 cm fluctuated little. (2) The increase of drip irrigation had significant effects on shoot growth and the longitudinal diameter of fruit. The growth of new shoots, fruit longitudinal diameter and net photosynthetic rate of W0 treatment were significantly lower than those of other treatments. New shoot growth and photosynthetic rate of W1, W2 and W3 treatments were significantly lower than CK treatments, but there was no significant difference in fruit longitudinal diameter between them and CK treatments. (3) Compared to CK treatment, the yield under W0 treatment was reduced by 13.37% and 13.4% respectively in 2 years. There was no significant difference in yield between W1, W2 and W3 treatments and CK treatments. The walnut shell in W1 treatment was significantly thicker than that of other treatments, and the kernel yield was lower than that of other treatments. Combined with the growth physiology and yield quality characteristics of walnut, the recommended irrigation rate of walnut was W2 treatment.

Key words: different drip irrigation, water use efficiency, walnut, yield, growth and development