欢迎访问《中国农学通报》,

中国农学通报 ›› 2026, Vol. 42 ›› Issue (4): 139-145.doi: 10.11924/j.issn.1000-6850.casb2025-0616

• 资源·环境·生态·土壤·气象 • 上一篇    下一篇

尾菜沼液灌溉量对食叶草产量品质、土壤酶活性及养分的影响

朱谣1(), 王顺旺1, 袁露溢1, 李万仙1,2, 李永辉3, 王昌梅1, 吴凯1, 蒋金和1, 张无敌1, 尹芳1()   

  1. 1 云南师范大学能源与环境科学学院, 昆明 650500
    2 云南创新生物产业孵化器管理有限公司, 昆明 650117
    3 昆明根之力生物肥科技公司, 云南晋宁 650600
  • 收稿日期:2025-07-22 修回日期:2025-12-17 出版日期:2026-02-27 发布日期:2026-02-27
  • 通讯作者:
    尹芳,女,1967年出生,云南昆明人,教授,博士,主要从事农业废弃物资源化利用。通信地址:650500 云南省昆明市呈贡区云南师范大学呈贡校区,E-mail:
  • 作者简介:

    朱谣,男,1998年出生,云南文山人,硕士研究生,主要从事农业工程与信息化技术管理方面研究。通信地址:650500 云南省昆明市呈贡区云南师范大学呈贡校区,E-mail:

  • 基金资助:
    云南省自然科学基金项目“2024三区科技人才专项”(01700206999916013)

Effects of Irrigation Volume of Vegetable Residues Biogas Slurry on Yield and Quality, Soil Enzyme Activity and Nutrients of Edible Dock

ZHU Yao1(), WANG Shunwang1, YUAN Luyi1, LI Wanxian1,2, LI Yonghui3, WANG Changmei1, WU Kai1, JIANG Jinhe1, ZHANG Wudi1, YIN Fang1()   

  1. 1 School of Energy and Environment Science, Yunnan Normal University, Kunming 650500
    2 Yunnan Innovation Biological Industry Incubator Management Co., Ltd., Kunming 650117
    3 Kunming Genzhili Biotechnology Co., Ltd., Jinning, Yunnan 650600
  • Received:2025-07-22 Revised:2025-12-17 Published:2026-02-27 Online:2026-02-27

摘要:

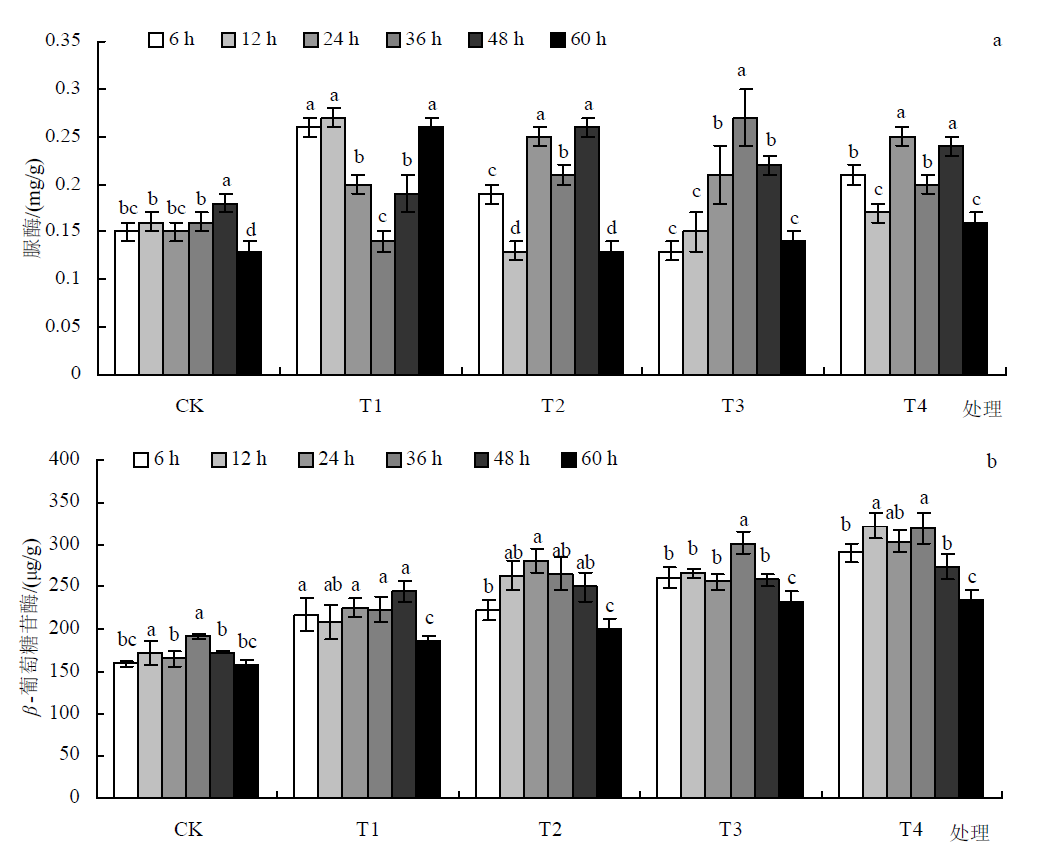
尾菜沼液资源化利用不充分,尾菜沼液灌溉对食叶草产量、品质及土壤质量影响不明。为筛选最优沼液灌溉量,以食叶草为材料,设置清水对照(CK)和4个沼液灌溉量梯度T1(8 L/m2)、T2(10 L/m2)、T3(12 L/m2)、T4(14 L/m2)处理,开展盆栽种植试验,测定食叶草的产量、品质及土壤理化性质和酶活性等指标。结果表明:(1)适量沼液施用可显著提升食叶草产量与品质,与CK相比,各处理下食叶草鲜重提高134%~233%,叶绿素、维生素C、总糖、还原糖及蛋白质含量分别提高13.7%~30.8%、28.27%~148.9%、14.18%~36.28%、44.70%~97.42%和34.86%~44.53% ,T3处理产量和品质提升效果最为显著。(2)沼液施用改善土壤理化性质,T3处理下土壤有机质、速效钾和总氮含量分别提高17.09%、170.7%和40%,pH增加15.56%~21.3%,有效缓解了酸性土壤问题。(3)土壤脲酶、β-葡萄糖苷酶活性随沼液施用量增加而增强,T3处理酶活性峰值显著高于其他处理。(4)过量沼液T4导致还原糖含量下降,养分利用效率降低。研究表明,尾菜沼液灌溉食叶草的最佳施用量为12 L/m2,可协同提升作物产量品质与土壤肥力。未来可开展田间试验验证,检测沼液及土壤重金属累积风险,优化施用时期与频次,为尾菜沼液规模化农用提供技术支撑。

关键词: 尾菜沼液, 食叶草, 产量, 品质, 土壤质量, 土壤理化性质, 酶活

Abstract:

Regarding the insufficient utilization of vegetable waste biogas slurry and the unclear effects of vegetable residues biogas slurry irrigation on the yield, quality and soil quality of edible dock, using edible dock as the material, a pot planting experiment was conducted with four biogas slurry irrigation gradient treatments (T1: 8 L/m2, T2: 10 L/m2, T3: 12 L/m2, T4: 14 L/m2) and a control treatment (CK) of clean water. The yield, quality, soil physical and chemical properties, and enzyme activities of edible dock were measured. The results showed: (1) Appropriate biogas slurry application significantly increased the yield and quality of edible dock. Compared with CK, the fresh weight of edible dock in each treatment increased by 134% to 233%, and the contents of chlorophyll, vitamin C, total sugar, reducing sugar and protein increased by 13.7% to 30.8%, 28.27% to 148.9%, 14.18% to 36.28%, 44.70% to 97.42% and 34.86% to 44.53%, respectively. The yield and quality improvement effect of T3 treatment was the most significant. (2) Biogas slurry application improved soil physical and chemical properties. The contents of soil organic matter, available potassium and total nitrogen increased by 17.09%, 170.7% and 40%, respectively, and the pH increased by 15.56% to 21.3%. This effectively alleviated the problem of acidic soil. (3) Soil urease and β-glucosidase activities increased with the increase in biogas slurry application amount, and the peak activity of T3 treatment was significantly higher than that of other treatments. (4) Excessive biogas slurry (T4) led to a decrease in reducing sugar content and a decrease in nutrient utilization efficiency. The study showed that the optimal biogas slurry application amount for edible dock irrigation with vegetable residues biogas slurry was 12 L/m2, which could synergistically improve crop yield, quality and soil fertility. Future field experiments can be conducted to verify, detect the risk of heavy metal accumulation in biogas slurry and soil, optimize the application period and frequency, and provide technical support for the large-scale agricultural use of vegetable residues biogas slurry.

Key words: vegetable residues biogas slurry, edible dock, yield, quality, soil quality, soil physical and chemical properties, enzyme activity