欢迎访问《中国农学通报》,

中国农学通报 ›› 2026, Vol. 42 ›› Issue (7): 113-120.doi: 10.11924/j.issn.1000-6850.casb2025-0163

• 资源·环境·生态·土壤·气象 • 上一篇    下一篇

川续断优势种质筛选和不同颜色花药植株的农艺性状对比

王硕1(), 杨和团1, 王芳1, 张丽纯1, 杨润2, 马玉莲3, 李姗姗1, 杨楠1, 胡倩倩2, 付昌昊2, 李明禹2, 梁艳丽2()   

  1. 1 保山市农业技术推广中心, 云南保山 678000
    2 云南农业大学农学与生物技术学院, 昆明 650201
    3 保山市农业机械化技术推广站, 云南保山 678000
  • 收稿日期:2025-03-05 修回日期:2025-08-25 出版日期:2026-04-15 发布日期:2026-04-15
  • 通讯作者:
    梁艳丽,女,1975年出生,黑龙江齐齐哈尔人,教授,博士,研究方向为药用植物繁育系统研究。通信地址:650201 云南省昆明市盘龙区金黑路132号 云南农业大学农学与生物技术学院,Tel:0871-65227732,E-mail:
  • 作者简介:

    王硕,女,1989年出生,云南腾冲人,高级农艺师,硕士研究生,主要从事作物育种与示范推广方面的研究。通信地址:678000 云南省保山市隆阳区太保北路50号 保山市农业科学研究院(保山市农业技术推广中心),Tel:0875-2213421,E-mail:

  • 基金资助:
    云南省重大科技专项“基于全基因组选择续断高品质育种研究”(202402AA310040); 云南省科技厅重大科技专项创新引导与科技型企业培育计划“建设玉龙乡村振兴科技创新县”(202404BT090021); 云南省人社厅兴滇人才-科技创新人才项目“高效能三萜皂苷植物底盘打造及高含量续断育种”(XDYC-CYCX-2022-0032)

Screening of Dominant Germplasm of Dipsacus asperoides and Comparison of Agronomic Traits of Plants with Different Colored Anthers

WANG Shuo1(), YANG Hetuan1, WANG Fang1, ZHANG Lichun1, YANG Run2, MA Yulian3, LI Shanshan1, YANG Nan1, HU Qianqian2, FU Changhao2, LI Mingyu2, LIANG Yanli2()   

  1. 1 Baoshan Agricultural Technology Promotion Center, Baoshan, Yunnan 678000
    2 College of Agronomy and Biotechnology, Yunnan Agricultural University, Kunming 650201
    3 Baoshan Agricultural Mechanization Technology Promotion Station, Baoshan, Yunnan 678000
  • Received:2025-03-05 Revised:2025-08-25 Published:2026-04-15 Online:2026-04-15

摘要:

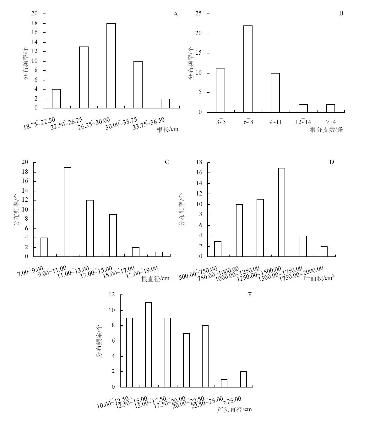
良种缺乏是限制川续断种植业发展的瓶颈问题。本研究收集云南及周边地区的野生与栽培川续断植株,旨在筛选优质种源,明确自然群体中白色花药与紫色花药2种类型植株的分布比例及农艺性状差异,为川续断良种选育与品质调控提供理论依据。以47份不同来源的川续断种质资源为材料,将其种植于保山市农业技术推广中心川续断种植资源圃,采用随机区组设计开展试验;测定株高、根直径、叶面积等12项农艺性状,结合HPLC法测定川续断皂苷Ⅵ含量,采用方差分析与相关性分析等方法进行数据处理,系统评价种质资源优劣及花药颜色关联性状差异。结果显示,川续断芦头直径与根长、根分支数、根直径和叶面积呈极显著正相关(P<0.01),其中与叶面积相关性最强(r=0.738);47份种质中,Da03(产量4466.40 kg/hm2,皂苷含量8.75%)、Da29(产量3447.45 kg/hm2,皂苷含量9.15%)、Da25(产量3489.45 kg/hm2,皂苷含量7.73%)具有高产高含潜力,Da37(产量7955.85 kg/hm2,皂苷含量3.36%)为高产低含关键育种材料;自然群体中紫色花药植株占比84%,白色花药植株占16%,前者川续断皂苷Ⅵ含量(5.42%)显著高于后者(3.94%,P<0.05),后者花序长(30.70 cm)、花序宽(30.54 cm)显著大于前者(P<0.05)。研究明确了川续断优质种质的核心筛选指标与花药颜色关联的性状特征,筛选出的优良种质可为川续断高产优质品种选育提供亲本材料,花药颜色标记为快速评价种质品质提供了直观依据,对推动川续断人工种植产业化与野生资源保护具有重要实践意义。

关键词: 川续断, 白色花药, 紫色花药, 种质筛选, 川续断皂苷Ⅵ, 农艺性状, 良种选育

Abstract:

The lack of elite cultivars is the bottleneck restricting the development of the Dipsacus asperoides cultivation industry. This study aims to screen high-quality provenances by collecting wild and cultivated D. asperoides plants from Yunnan and surrounding regions, and to clarify the distribution ratio and agronomic trait differences between white-anther and purple-anther plants in natural populations, thereby providing a theoretical basis for elite cultivar breeding and quality regulation of D. asperoides. Using 47 D. asperoides germplasm resources of different origins as materials, an experiment was conducted in the D. asperoides germplasm resource nursery of the Baoshan Agricultural Technology Extension Center using a randomized complete block design. By measuring 12 agronomic traits, including plant height, root diameter, and leaf area, combined with the determination of asperosaponin Ⅵ content via high-performance liquid chromatography (HPLC), data were processed using analysis of variance (ANOVA) and correlation analysis to systematically evaluate the quality of the germplasm resources and the trait differences associated with anther color. The results showed that the rootstock diameter of D. asperoides exhibited a highly significant positive correlation with root length, number of root branches, root diameter, and leaf area (P<0.01), among which the correlation with leaf area was the strongest (r=0.738). Among the 47 germplasms, Da03 (yield 4466.40 kg/hm2, saponin content 8.75%), Da29 (yield 3447.45 kg/hm2, saponin content 9.15%), and Da25 (yield 3489.45 kg/hm2, saponin content 7.73%) demonstrated high-yield and high-content potential, whereas Da37 (yield 7955.85 kg/hm2, saponin content 3.36%) was identified as a key breeding material with high yield but low active ingredient content. In the natural population, plants with purple anthers accounted for 84%, while those with white anthers accounted for 16%. The asperosaponin VI content of the former (5.42%) was significantly higher than that of the latter (3.94%, P<0.05), whereas the inflorescence length (30.70 cm) and width (30.54 cm) of the latter were significantly greater than those of the former (P<0.05). This study clarified the core screening indicators for high-quality D. asperoides germplasm and the trait characteristics associated with anther color. The selected elite germplasms can serve as parental materials for breeding high-yield and high-quality D. asperoides varieties. Furthermore, anther color markers provide an intuitive basis for the rapid evaluation of germplasm quality, which holds significant practical importance for promoting the industrialization of D. asperoides cultivation and the conservation of its wild resources.

Key words: Dipsacus asperoides, white anther, purple anther, germplasm screening, asperosaponin Ⅵ, agronomic traits, seed selection and breeding