中国农学通报 ›› 2026, Vol. 42 ›› Issue (1): 1-11.doi: 10.11924/j.issn.1000-6850.casb2025-0254
• 农学·农业基础科学 • 下一篇
王克秀1,2(
), 唐铭霞1,2, 程明军3, 胡建军1,2, 李兵1,2, 廖霏霏4, 李华鹏1,2, 杨雯婷1,2, 郭展1,2, 崔阔澍5(
)
收稿日期:2025-03-21
修回日期:2025-11-24
出版日期:2026-01-15
发布日期:2026-01-15
通讯作者:
作者简介:王克秀,女,1979年出生,山东沂南人,副研究员,博士,主要从事马铃薯种薯繁育及栽培生理研究。通信地址:610066 成都市锦江区静平路666号 省农科院作物所,Tel:028-84504331,E-mail:kexiu2004@126.com。
基金资助:
WANG Kexiu1,2(
), TANG Mingxia1,2, CHENG Mingjun3, HU Jianjun1,2, LI Bing1,2, LIAO Feifei4, LI Huapeng1,2, YANG Wenting1,2, GUO Zhan1,2, CUI Kuoshu5(
)
Received:2025-03-21
Revised:2025-11-24
Published:2026-01-15
Online:2026-01-15
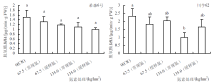
摘要: 探究不同施氮量与氮肥类型对马铃薯生长发育及氮素利用的影响,为优化氮肥管理提供理论依据。以中熟品种‘希森6号’和中晚熟品种‘川芋62’为试验材料,采用田间试验设置氮空白(CK)、常规尿素氮(常规氮)67.5 kg/hm2、缓释尿素氮(缓释氮)67.5 kg/hm2、常规尿素氮135 kg/hm2、缓释尿素氮135 kg/hm2 5个氮处理,测定生长指标、干物质积累、产量及氮素利用效率等参数。结果表明,低氮处理出苗早于高氮处理,同期同一施氮水平下,缓释氮肥处理出苗率显著高于常规氮肥。2个品种均表现为135 kg/hm2施氮量较67.5 kg/hm2显著增加株高、叶面积指数和叶绿素含量,但茎粗降低;缓释氮肥处理的农艺性状优于常规氮肥处理。随施氮量增加,2个品种植株氮素积累量显著增加,但氮素农学利用率、生产效率、吸收效率和利用效率均显著降低,同一施氮水平下缓释氮肥氮素利用效率显著高于常规氮肥。产量方面,‘希森6号’在135.0 kg/hm2缓释氮肥处理产量达到最高(58000.3 kg/hm2),较相同施氮量常规氮肥处理增产16.7%;而‘川芋62’在67.5 kg/hm2缓释氮肥处理下产量最高(43294.2 kg/hm2),较相同施氮量常规氮肥处理增加5.2%。此外,缓释氮肥处理的商品薯率和收获指数均显著高于同氮量常规氮肥。在本试验区域生态条件下,中熟品种‘希森6号’推荐施用135.0 kg/hm2缓释氮肥,中晚熟品种‘川芋62’推荐施用67.5 kg/hm2缓释氮肥,可在保证高产的同时显著提升氮素利用效率并提高经济效益。
王克秀, 唐铭霞, 程明军, 胡建军, 李兵, 廖霏霏, 李华鹏, 杨雯婷, 郭展, 崔阔澍. 施氮量与氮肥类型对马铃薯生长发育及氮素利用的影响[J]. 中国农学通报, 2026, 42(1): 1-11.
WANG Kexiu, TANG Mingxia, CHENG Mingjun, HU Jianjun, LI Bing, LIAO Feifei, LI Huapeng, YANG Wenting, GUO Zhan, CUI Kuoshu. Effects of Nitrogen Application Rate and Nitrogen Fertilizer Type on Growth and Development of Potato and Nitrogen Utilization[J]. Chinese Agricultural Science Bulletin, 2026, 42(1): 1-11.
| 品种 | 施氮量与氮肥类型/(kg/hm2) | 出苗时间/d | 出苗率/% | ||
|---|---|---|---|---|---|
| 播种后69 d | 播种后92 d | ||||
| 希森6号 | 0(CK) | 53 | 95.5±6.43a | 98.9±0.79a | |
| 67.5(常规氮) | 66 | 86.4±0.00b | 98.4± 0.95a | ||
| 67.5(缓释氮) | 62 | 95.5±6.43a | 98.9±1.08a | ||
| 135.0(常规氮) | 71 | 73.9±1.61c | 94.3±1.55b | ||
| 135.0(缓释氮) | 67 | 87.5±1.61ab | 98.6±0.98a | ||
| 川芋62 | 0(CK) | 69 | 79.5±3.21a | 98.1±0.68a | |
| 67.5(常规氮) | 75 | 71.6±1.61a | 97.5±1.76a | ||
| 67.5(缓释氮) | 66 | 87.5±11.25a | 97.1±0.93ab | ||
| 135.0(常规氮) | 69 | 78.4±8.04a | 94.3±3.27b | ||
| 135.0(缓释氮) | 71 | 73.9± 1.61a | 96.4±2.41ab | ||
| 品种 | 施氮量与氮肥类型/(kg/hm2) | 出苗时间/d | 出苗率/% | ||
|---|---|---|---|---|---|
| 播种后69 d | 播种后92 d | ||||
| 希森6号 | 0(CK) | 53 | 95.5±6.43a | 98.9±0.79a | |
| 67.5(常规氮) | 66 | 86.4±0.00b | 98.4± 0.95a | ||
| 67.5(缓释氮) | 62 | 95.5±6.43a | 98.9±1.08a | ||
| 135.0(常规氮) | 71 | 73.9±1.61c | 94.3±1.55b | ||
| 135.0(缓释氮) | 67 | 87.5±1.61ab | 98.6±0.98a | ||
| 川芋62 | 0(CK) | 69 | 79.5±3.21a | 98.1±0.68a | |
| 67.5(常规氮) | 75 | 71.6±1.61a | 97.5±1.76a | ||
| 67.5(缓释氮) | 66 | 87.5±11.25a | 97.1±0.93ab | ||
| 135.0(常规氮) | 69 | 78.4±8.04a | 94.3±3.27b | ||
| 135.0(缓释氮) | 71 | 73.9± 1.61a | 96.4±2.41ab | ||
| 品种 | 施氮量与氮肥类型/(kg/hm2) | 株高/cm | 茎粗/mm | 主茎数/(个/株) | 叶面积指数(LAI) | 叶绿素含量(SPAD) |
|---|---|---|---|---|---|---|
| 希森6号 | 0(CK) | 21.4±3.60b | 10.5±0.66a | 5.8±0.96a | 1.0±0.08c | 31.0±2.79c |
| 67.5(常规氮) | 26.8±1.39a | 10.7±0.95a | 5.5±0.58a | 1.5±0.35b | 38.3±0.73b | |
| 67.5(缓释氮) | 26.9±3.45a | 11.5±1.48a | 5.0±0.00a | 1.4±0.23b | 37.1±2.87b | |
| 135.0(常规氮) | 27.6±1.51a | 10.7±0.84a | 5.3±0.50a | 1.7±0.22ab | 39.5±0.77b | |
| 135.0(缓释氮) | 27.3±2.74a | 10.9±1.04a | 5.3±0.50a | 1.9±0.42a | 43.1±1.47a | |
| 川芋62 | 0(CK) | 34.0±4.62c | 11.0±1.07a | 6.5±1.29a | 1.6±0.36c | 29.0±1.29c |
| 67.5(常规氮) | 63.9±6.01b | 11.4±0.33a | 6.3±0.96a | 3.4±1.04b | 32.1±2.49b | |
| 67.5(缓释氮) | 67.4±1.06b | 12.1±0.77a | 6.5±1.73a | 3.9±1.13ab | 31.8±0.66b | |
| 135.0(常规氮) | 98.4±7.62a | 11.5±1.87a | 6.0±2.00a | 5.4±1.82a | 35.9±1.31a | |
| 135.0(缓释氮) | 104.2±11.63a | 11.0±0.72a | 7.0±1.83a | 5.2±1.36a | 35.5±0.52a |
| 品种 | 施氮量与氮肥类型/(kg/hm2) | 株高/cm | 茎粗/mm | 主茎数/(个/株) | 叶面积指数(LAI) | 叶绿素含量(SPAD) |
|---|---|---|---|---|---|---|
| 希森6号 | 0(CK) | 21.4±3.60b | 10.5±0.66a | 5.8±0.96a | 1.0±0.08c | 31.0±2.79c |
| 67.5(常规氮) | 26.8±1.39a | 10.7±0.95a | 5.5±0.58a | 1.5±0.35b | 38.3±0.73b | |
| 67.5(缓释氮) | 26.9±3.45a | 11.5±1.48a | 5.0±0.00a | 1.4±0.23b | 37.1±2.87b | |
| 135.0(常规氮) | 27.6±1.51a | 10.7±0.84a | 5.3±0.50a | 1.7±0.22ab | 39.5±0.77b | |
| 135.0(缓释氮) | 27.3±2.74a | 10.9±1.04a | 5.3±0.50a | 1.9±0.42a | 43.1±1.47a | |
| 川芋62 | 0(CK) | 34.0±4.62c | 11.0±1.07a | 6.5±1.29a | 1.6±0.36c | 29.0±1.29c |
| 67.5(常规氮) | 63.9±6.01b | 11.4±0.33a | 6.3±0.96a | 3.4±1.04b | 32.1±2.49b | |
| 67.5(缓释氮) | 67.4±1.06b | 12.1±0.77a | 6.5±1.73a | 3.9±1.13ab | 31.8±0.66b | |
| 135.0(常规氮) | 98.4±7.62a | 11.5±1.87a | 6.0±2.00a | 5.4±1.82a | 35.9±1.31a | |
| 135.0(缓释氮) | 104.2±11.63a | 11.0±0.72a | 7.0±1.83a | 5.2±1.36a | 35.5±0.52a |
| 品种 | 施氮量与氮肥类型/(kg/hm2) | 分配量/(kg/hm2) | 分配比例/% | |||
|---|---|---|---|---|---|---|
| 叶茎 | 块茎 | 叶茎 | 块茎 | |||
| 希森6号 | 0(CK) | 648.9±51.7c | 7020.3± 592.1b | 8.5±0.6b | 91.5±0.6a | |
| 67.5(常规氮) | 924.4±11.6b | 7084.1±1562.0ab | 9.4±1.3ab | 90.6±1.3ab | ||
| 67.5(缓释氮) | 931.8±89.7b | 8924.5±981.1ab | 9.5±1.6ab | 90.5±1.6ab | ||
| 135.0(常规氮) | 1109.3±139.5ab | 8253.0±1067.7ab | 12.0±1.9a | 88.0±1.9b | ||
| 135.0(缓释氮) | 1166.0±212.6a | 9947.7±1743.9a | 10.5±1.4ab | 89.5±1.4ab | ||
| 川芋62 | 0(CK) | 1260.0 ±111.7b | 6799.8±679.1a | 15.7±1.4b | 84.3±1.4a | |
| 67.5(常规氮) | 2410.1±516.9b | 8079.8±1886.7a | 23.3±4.8b | 76.7±4.8a | ||
| 67.5(缓释氮) | 2624.5±534.6b | 9557.8±2519.3a | 21.8±3.8b | 78.2±3.8a | ||
| 135.0(常规氮) | 4862.8±1954.6ab | 6976.2±1340.2a | 39.8±6.0a | 60.2±6.0b | ||
| 135.0(缓释氮) | 4707.4±1347.1a | 6945.2±1480.8a | 40.4±11.6a | 59.6±11.6b | ||
| 品种 | 施氮量与氮肥类型/(kg/hm2) | 分配量/(kg/hm2) | 分配比例/% | |||
|---|---|---|---|---|---|---|
| 叶茎 | 块茎 | 叶茎 | 块茎 | |||
| 希森6号 | 0(CK) | 648.9±51.7c | 7020.3± 592.1b | 8.5±0.6b | 91.5±0.6a | |
| 67.5(常规氮) | 924.4±11.6b | 7084.1±1562.0ab | 9.4±1.3ab | 90.6±1.3ab | ||
| 67.5(缓释氮) | 931.8±89.7b | 8924.5±981.1ab | 9.5±1.6ab | 90.5±1.6ab | ||
| 135.0(常规氮) | 1109.3±139.5ab | 8253.0±1067.7ab | 12.0±1.9a | 88.0±1.9b | ||
| 135.0(缓释氮) | 1166.0±212.6a | 9947.7±1743.9a | 10.5±1.4ab | 89.5±1.4ab | ||
| 川芋62 | 0(CK) | 1260.0 ±111.7b | 6799.8±679.1a | 15.7±1.4b | 84.3±1.4a | |
| 67.5(常规氮) | 2410.1±516.9b | 8079.8±1886.7a | 23.3±4.8b | 76.7±4.8a | ||
| 67.5(缓释氮) | 2624.5±534.6b | 9557.8±2519.3a | 21.8±3.8b | 78.2±3.8a | ||
| 135.0(常规氮) | 4862.8±1954.6ab | 6976.2±1340.2a | 39.8±6.0a | 60.2±6.0b | ||
| 135.0(缓释氮) | 4707.4±1347.1a | 6945.2±1480.8a | 40.4±11.6a | 59.6±11.6b | ||
| 品种 | 施氮量与氮肥类型/ (kg/hm2) | 植株氮素积量/ (kg/hm2) | 氮素农学利用率/ (kg/kg) | 氮素生产效率/ (kg/kg) | 氮素吸收效率/ (kg/kg) | 氮素利用效率/ (kg/kg) | 氮素收获指数/ (kg/kg) | 氮素表观回收率/ (kg/kg) |
|---|---|---|---|---|---|---|---|---|
| 希森6号 | 0(CK) | 75.8c | 92.8a | 0.84a | ||||
| 67.5(常规氮) | 120.4b | 30.6a | 134.6a | 1.78a | 75.8b | 0.83a | 0.66a | |
| 67.5(缓释氮) | 123.3b | 28.2a | 132.2a | 1.83a | 72.5b | 0.85a | 0.70a | |
| 135.0(常规氮) | 151.0ab | 9.1a | 61.1b | 1.12b | 54.9c | 0.80a | 0.56a | |
| 135.0(缓释氮) | 180.7a | 21.7a | 73.7b | 1.34b | 55.0c | 0.83a | 0.78a | |
| 川芋62 | 0(CK) | 81.0c | 83.9a | 0.66a | ||||
| 67.5(常规氮) | 127.6bc | 19. 0a | 119.7a | 1.89a | 63.4b | 0.60a | 0.69a | |
| 67.5(缓释氮) | 137.9b | 40.9a | 141.6a | 2.04a | 68.7b | 0.60a | 0.84a | |
| 135.0(常规氮) | 205.6a | 1.3a | 51.7b | 1.52a | 34.8c | 0.42b | 0.92a | |
| 135.0(缓释氮) | 190.5a | 1.1a | 51.4b | 1.41a | 37.2c | 0.43b | 0.81a |
| 品种 | 施氮量与氮肥类型/ (kg/hm2) | 植株氮素积量/ (kg/hm2) | 氮素农学利用率/ (kg/kg) | 氮素生产效率/ (kg/kg) | 氮素吸收效率/ (kg/kg) | 氮素利用效率/ (kg/kg) | 氮素收获指数/ (kg/kg) | 氮素表观回收率/ (kg/kg) |
|---|---|---|---|---|---|---|---|---|
| 希森6号 | 0(CK) | 75.8c | 92.8a | 0.84a | ||||
| 67.5(常规氮) | 120.4b | 30.6a | 134.6a | 1.78a | 75.8b | 0.83a | 0.66a | |
| 67.5(缓释氮) | 123.3b | 28.2a | 132.2a | 1.83a | 72.5b | 0.85a | 0.70a | |
| 135.0(常规氮) | 151.0ab | 9.1a | 61.1b | 1.12b | 54.9c | 0.80a | 0.56a | |
| 135.0(缓释氮) | 180.7a | 21.7a | 73.7b | 1.34b | 55.0c | 0.83a | 0.78a | |
| 川芋62 | 0(CK) | 81.0c | 83.9a | 0.66a | ||||
| 67.5(常规氮) | 127.6bc | 19. 0a | 119.7a | 1.89a | 63.4b | 0.60a | 0.69a | |
| 67.5(缓释氮) | 137.9b | 40.9a | 141.6a | 2.04a | 68.7b | 0.60a | 0.84a | |
| 135.0(常规氮) | 205.6a | 1.3a | 51.7b | 1.52a | 34.8c | 0.42b | 0.92a | |
| 135.0(缓释氮) | 190.5a | 1.1a | 51.4b | 1.41a | 37.2c | 0.43b | 0.81a |
| 品种 | 施氮量及氮肥类型/(kg/hm2) | 产量/(kg/hm2) | 商品薯率(≥75 g)/% | 收获指数/% |
|---|---|---|---|---|
| 希森6号 | 0(CK) | 36353.2±2016.0d | 76.9±12.47b | 91.5±0.17a |
| 67.5(常规氮) | 48171.8±3498.8c | 86.2±3.25a | 90.6±0.61ab | |
| 67.5(缓释氮) | 52670.9±2101.2b | 87.2±4.74a | 90.5±0.49ab | |
| 135.0(常规氮) | 49691.9±3025.4bc | 89.3±3.36a | 88.0±0.94b | |
| 135.0(缓释氮) | 58000.3±1591.7a | 92.4±7.51a | 89.5±1.18ab | |
| 川芋62 | 0(CK) | 36236.1±2588.6b | 56.8±2.46a | 84.3±0.98a |
| 67.5(常规氮) | 41136.2±1559.0a | 62.4±4.45a | 76.7±3.59a | |
| 67.5(缓释氮) | 43294.2±934.5a | 61.8±7.05a | 78.2±3.40a | |
| 135.0(常规氮) | 36634.0±1465.7b | 57.4±2.48a | 60.2±5.22b | |
| 135.0(缓释氮) | 38624.1±2517.4b | 56.4±2.52a | 59.6±4.80b |
| 品种 | 施氮量及氮肥类型/(kg/hm2) | 产量/(kg/hm2) | 商品薯率(≥75 g)/% | 收获指数/% |
|---|---|---|---|---|
| 希森6号 | 0(CK) | 36353.2±2016.0d | 76.9±12.47b | 91.5±0.17a |
| 67.5(常规氮) | 48171.8±3498.8c | 86.2±3.25a | 90.6±0.61ab | |
| 67.5(缓释氮) | 52670.9±2101.2b | 87.2±4.74a | 90.5±0.49ab | |
| 135.0(常规氮) | 49691.9±3025.4bc | 89.3±3.36a | 88.0±0.94b | |
| 135.0(缓释氮) | 58000.3±1591.7a | 92.4±7.51a | 89.5±1.18ab | |
| 川芋62 | 0(CK) | 36236.1±2588.6b | 56.8±2.46a | 84.3±0.98a |
| 67.5(常规氮) | 41136.2±1559.0a | 62.4±4.45a | 76.7±3.59a | |
| 67.5(缓释氮) | 43294.2±934.5a | 61.8±7.05a | 78.2±3.40a | |
| 135.0(常规氮) | 36634.0±1465.7b | 57.4±2.48a | 60.2±5.22b | |
| 135.0(缓释氮) | 38624.1±2517.4b | 56.4±2.52a | 59.6±4.80b |
| 品种 | 施氮量与氮肥类型/(kg/hm2) | 淀粉/[g/(100 g·FW)] | 还原糖/[g/(100 g·FW)] | 蛋白质/[g/(100 g·FW)] | 硝态氮/[mg/(100 g·FW)] | 干物质/% |
|---|---|---|---|---|---|---|
| 希森6号 | 0(CK) | 16.4±0.92a | 0.044±0.01a | 1.32±0.04c | 76.3±7.04b | 20.8±0.28a |
| 67.5(常规氮) | 15.7±0.67ab | 0.051±0.01a | 1.60±0.13b | 123.5±22.19a | 20.0±0.89ab | |
| 67.5(缓释氮) | 15.5±0.39ab | 0.046±0.01a | 1.60±0.07b | 93.3±11.93b | 20.1±0.31ab | |
| 135.0(常规氮) | 14.3±0.38b | 0.045±0.00a | 1.79±0.04a | 119.5±13.48a | 19.5±0.53b | |
| 135.0(缓释氮) | 14.7±1.66b | 0.044±0.01a | 1.70±0.03ab | 130.8±19.16a | 19.3±0.41b | |
| 川芋62 | 0(CK) | 16.0±0.91a | 0.109±0.01ab | 1.08±0.07d | 85.3±21.09b | 21.7±0.31a |
| 67.5(常规氮) | 15.7±1.44a | 0.096±0.01b | 1.14±0.06cd | 85.5±8.70b | 21.8±0.19a | |
| 67.5(缓释氮) | 16.0±0.52a | 0.099±0.02b | 1.22±0.14bc | 84.8±13.57b | 21.8±0.41a | |
| 135.0(常规氮) | 14.5±0.67a | 0.133±0.02a | 1.34±0.09a | 103.0±17.03b | 20.2±1.11b | |
| 135.0(缓释氮) | 15.1±0.82a | 0.136±0.02a | 1.32±0.11ab | 130.3±11.47a | 20.1±0.68b |
| 品种 | 施氮量与氮肥类型/(kg/hm2) | 淀粉/[g/(100 g·FW)] | 还原糖/[g/(100 g·FW)] | 蛋白质/[g/(100 g·FW)] | 硝态氮/[mg/(100 g·FW)] | 干物质/% |
|---|---|---|---|---|---|---|
| 希森6号 | 0(CK) | 16.4±0.92a | 0.044±0.01a | 1.32±0.04c | 76.3±7.04b | 20.8±0.28a |
| 67.5(常规氮) | 15.7±0.67ab | 0.051±0.01a | 1.60±0.13b | 123.5±22.19a | 20.0±0.89ab | |
| 67.5(缓释氮) | 15.5±0.39ab | 0.046±0.01a | 1.60±0.07b | 93.3±11.93b | 20.1±0.31ab | |
| 135.0(常规氮) | 14.3±0.38b | 0.045±0.00a | 1.79±0.04a | 119.5±13.48a | 19.5±0.53b | |
| 135.0(缓释氮) | 14.7±1.66b | 0.044±0.01a | 1.70±0.03ab | 130.8±19.16a | 19.3±0.41b | |
| 川芋62 | 0(CK) | 16.0±0.91a | 0.109±0.01ab | 1.08±0.07d | 85.3±21.09b | 21.7±0.31a |
| 67.5(常规氮) | 15.7±1.44a | 0.096±0.01b | 1.14±0.06cd | 85.5±8.70b | 21.8±0.19a | |
| 67.5(缓释氮) | 16.0±0.52a | 0.099±0.02b | 1.22±0.14bc | 84.8±13.57b | 21.8±0.41a | |
| 135.0(常规氮) | 14.5±0.67a | 0.133±0.02a | 1.34±0.09a | 103.0±17.03b | 20.2±1.11b | |
| 135.0(缓释氮) | 15.1±0.82a | 0.136±0.02a | 1.32±0.11ab | 130.3±11.47a | 20.1±0.68b |
| [1] |
金黎平, 石瑛, 高明杰, 等. 基于大食物观视角的中国马铃薯产业发展路径[A].//中国作物学会马铃薯专业委员会.马铃薯产业与大食物观(2024)[C]. 2024:6.
|
| [2] |
卢肖平. 马铃薯主粮化战略的意义、瓶颈与政策建议[J]. 华中农业大学学报(社会科学版), 2015(3):1-7.
|
| [3] |
杨雅伦, 郭燕枝, 孙君茂. 我国马铃薯产业发展现状及未来展望[J]. 中国农业科技导报, 2017, 19(1):29-36.
doi: 10.13304/j.nykjdb.2016.202 |
| [4] |
陆景陵, 胡霭堂. 植物营养学[M]. 北京: 高等教育出版社, 2006.
|
| [5] |
张卫峰, 马林, 黄高强, 等. 中国氮肥发展、贡献和挑战[J]. 中国农业科学, 2013, 46(15):3161-3171.
doi: 10.3864/j.issn.0578-1752.2013.15.010 |
| [6] |
串丽敏, 何萍, 赵同科, 等. 中国小麦季氮素养分循环与平衡特征[J]. 应用生态学报, 2015, 26(1):76-86.
|
| [7] |
刘永红, 郑文涛, 张晋天, 等. 缓/控释肥研究进展及其应用[J]. 华中农业大学学报, 2023, 42(4):167-176.
|
| [8] |
蔡连凤, 王学霞, 王甲辰, 等. 不同施氮措施对麦玉轮作系统N2O排放的影响[J]. 环境科学, 2024, 45(10):6148-6156.
|
| [9] |
徐宇帆, 申亚珍, 张文太, 等. 腐植酸基质缓释尿素对氮素淋失和氨挥发的阻控[J]. 植物营养与肥料学报, 2024, 30(4):801-811.
|
| [10] |
闫双堆, 江慧姝, 董馨宇, 等. 缓/控释硫酸铵减量施用对玉米生长及土壤氮素平衡的影响[J]. 核农学报, 2024, 38(9):1772-1781.
doi: 10.11869/j.issn.1000-8551.2024.09.1772 |
| [11] |
|
| [12] |
程冬冬, 赵贵哲, 刘亚青, 等. 土壤温度、土壤含水量对高分子缓释肥养分释放及土壤酶活性的影响[J]. 水土保持学报, 2013, 27(6):216-220.
|
| [13] |
李玉东, 谭德水, 李子双, 等. 长期施用控释氮肥对潮土区麦-玉轮作作物产量的影响及土壤氮素供应特征研究[J]. 山东农业科学, 2024, 56(1):119-125.
|
| [14] |
马静, 韩四满, 程岚. 包膜尿素配施有机肥对春玉米氮素吸收、产量及土壤团聚体稳定性的影响[J]. 江苏农业科学, 2024, 52(5):94-102.
|
| [15] |
张蛟, 陈澎军, 韩继军, 等. 盐逆境下施用缓释肥及其减氮处理对水稻生长、穗部性状、产量及品质的影响[J]. 江苏农业学报, 2023, 39(7):1483-1491.
|
| [16] |
彭秋, 徐卫红. 纳米缓释肥氮素释放特性及茎瘤芥营养效应研究[J]. 西南大学学报(自然科学版), 2023, 45(11):31-41.
|
| [17] |
doi: 10.1007/s11356-021-13700-4 |
| [18] |
|
| [19] |
doi: 10.21273/HORTTECH.19.1.16 URL |
| [20] |
黄益孝, 周家昊, 陈照明, 王强, 等. 化肥减量配施缓释肥对单季稻产量和氮素吸收利用的影响[J]. 江苏农业科学, 2024,2:57-64.
|
| [21] |
杨勤, 刘禹池, 刘永红, 等. 缓控肥减氮对丘陵区青贮玉米生物产量,氮素利用与平衡的影响[J]. 玉米科学, 2024, 32(1):156-161.
|
| [22] |
鲍士旦. 土壤农化分析(第三版)[M]. 北京: 中国农业出版社, 2003.
|
| [23] |
于振文. 小麦产量与品质生理及栽培技术[M]. 北京: 中国农业出版社,2006:92.
|
| [24] |
张永成, 田丰. 马铃薯试验研究方法[M]. 北京: 中国农业科学技术出版社, 2007.
|
| [25] |
门福义, 刘梦芸. 马铃薯栽培生理[M]. 北京: 中国农业出版社,1995:318.
|
| [26] |
李志霞, 聂继云, 闫震, 等. 响应面法对3,5-二硝基水杨酸比色法测定水果中还原糖含量条件的优化[J]. 分析测试学报, 2016, 35(10):1283-1288.
|
| [27] |
国家粮食储备局无锡科学研究设计院, 东海粮油工业(张家港)有限公司. GB 5009.5—2016,食品安全国家标准食品中蛋白质的测定[S]. 北京: 中国标准出版社, 2016.
|
| [28] |
中国疾病预防控制中心营养与食品安全所, 江苏省疾病预防控制中心. GB 5009.33—2016,食品安全国家标准食品中亚硝酸盐与硝酸盐的测定[S]. 北京: 中国标准出版社, 2016.
|
| [29] |
|
| [30] |
|
| [31] |
|
| [32] |
doi: 10.2134/agronj1981.00021962007300050013x URL |
| [33] |
韦剑锋, 韦巧云, 梁振华, 等. 施氮量对冬马铃薯生长发育、产量及品质的影响[J]. 河南农业科学, 2015, 44(12):61-64.
|
| [34] |
李成晨, 索海翠, 罗焕明, 等. 化肥减施和施肥方式对马铃薯产量和块茎氮素积累的影响[J]. 中国农业科技导报, 2021, 23(9):173-183.
|
| [35] |
何昌福. 连续施氮对旱地覆膜马铃薯干物质积累与分配以及对根系生长的影响[D]. 兰州: 甘肃农业大学, 2016.
|
| [36] |
门中华, 李生秀. 硝态氮浓度对冬小麦幼苗根系活力及根际pH值的影响[J]. 安徽农业科学, 2009, 37(1):92-93.
|
| [37] |
doi: 10.1111/gcb.v28.21 URL |
| [38] |
doi: 10.1016/j.agwat.2011.08.024 URL |
| [39] |
李玥, 李应洪, 赵建红, 等. 缓控释氮肥对机插稻氮素利用特征及产量的影响[J]. 浙江大学学报(农业与生命科学版), 2015, 41(6):673-684.
|
| [40] |
|
| [41] |
蔡明, 刘吉利, 杨亚亚, 等. 马铃薯燕麦间作和施氮对马铃薯干物质累积、产量及品质的影响[J]. 西北农业学报, 2020, 29(3):354-362.
|
| [42] |
李东方, 李紫燕, 李世清, 等. 施氮对不同品种冬小麦植株硝态氮和硝酸还原酶活性的影响[J]. 西北植物学报, 2006(1):104-109.
|
| [43] |
蔡林志, 贡丹敏, 丁仁, 等. 施氮水平对不同马铃薯品种生长与产量的影响[J]. 中国瓜菜, 2023, 36(2):84-90.
|
| [44] |
何彩莲, 郑顺林, 王沛裴, 等. 施氮量对马铃薯氮素积累及功能叶片生理特性的影响[J]. 浙江农业学报, 2016, 28(9):1454-1461.
doi: 10.3969/j.issn.1004-1524.2016.09.02 |
| [45] |
高如霞, 郑晓帆, 王金莲, 等. 马铃薯苗期氮代谢关键酶及其基因表达对聚氨酯包膜尿素的响应[J]. 干旱区资源与环境, 2021, 35(8):144-150.
|
| [46] |
doi: 10.1016/j.tplants.2014.06.002 pmid: 25017701 |
| [47] |
张云, 赵艳菲, 王雅平, 等. 延薯4号马铃薯对氮素的生理生化响应及转录组分析[J]. 广东农业科学, 2021, 48(2):56-66.
|
| [48] |
王瑞, 李向岭, 郭栋, 等. 增施氮肥对夏玉米花后高温胁迫下籽粒碳氮代谢的影响[J]. 作物学报, 2023, 49(12):3342-3351.
doi: 10.3724/SP.J.1006.2023.33003 |
| [49] |
范香全. 施氮与密度对膜下滴灌马铃薯氮素利用及产量质量的影响[D]. 呼和浩特: 内蒙古农业大学, 2014.
|
| [50] |
张绪成, 于显枫, 王红丽, 等. 半干旱区减氮增钾、有机肥替代对全膜覆盖垄沟种植马铃薯水肥利用和生物量积累的调控[J]. 中国农业科学, 2016, 49(5):852-864.
doi: 10.3864/j.issn.0578-1752.2016.05.005 |
| [51] |
田丰, 张永成, 张凤军, 等. 不同肥料和密度对马铃薯光合特性和产量的影响[J]. 西北农业学报, 2010, 19(6):95-98.
|
| [52] |
doi: 10.1016/0378-4290(93)90070-4 URL |
| [53] |
|
| [54] |
|
| [1] | 蒋坤莲, 冯长春, 韩利红, 孙龙, 黄康慧, 江鸿, 蔡艳. 新型生物有机肥对烤烟生长的影响[J]. 中国农学通报, 2026, 42(1): 20-26. |
| [2] | 林硕, 李嘉伟, 蔡宪杰, 朱启法, 于可可, 闫鼎, 毛东平, 程廷明, 孙延国, 王程栋, 董建新. 农机农艺融合技术对皖南烤烟生产的影响[J]. 中国农学通报, 2026, 42(1): 27-36. |
| [3] | 苏丹, 王子诚, 贾俊英, 孙德智, 李志军, 郭园, 庄得凤. 水分调控对北苍术生长特性及药材产量品质的影响[J]. 中国农学通报, 2025, 41(7): 75-83. |
| [4] | 莫俊杰, 郑嘉成, 蔡继葳, 刘嘉威, 冯永成. 基于收获指数的水稻单株选择效应[J]. 中国农学通报, 2025, 41(7): 1-8. |
| [5] | 赵娜, 李国清, 李国瑜, 丛新军, 张继波, 徐慧媛. 绿肥轮作对谷子农艺性状、产量及土壤养分的影响[J]. 中国农学通报, 2025, 41(7): 15-21. |
| [6] | 刘颖, 耿丹丹, 刘柳, 魏敏, 石治强. 60Co-γ射线辐照处理对马铃薯淀粉膜性能的影响[J]. 中国农学通报, 2025, 41(6): 153-158. |
| [7] | 汪扬媚, 刘言, 冯奎, 董红平, 刘绍文, 杨勇, 张荣, 何莲. 川西高原不同马铃薯品种农艺性状与产量的关系研究[J]. 中国农学通报, 2025, 41(6): 29-37. |
| [8] | 赵芳, 高运青, 高韶斌, 郑丽珍, 李姝彤, 尚启兵, 徐东旭, 关翔宇. 河北省绿豆种质资源主要农艺性状、经济性状遗传多样性分析及综合评价[J]. 中国农学通报, 2025, 41(5): 23-29. |
| [9] | 边巴卓玛, 宋国英, 刘国一. 有机肥替代部分化学氮肥、磷肥对春青稞干物质、养分积累分配的影响[J]. 中国农学通报, 2025, 41(5): 69-76. |
| [10] | 孙广涛, 包桂荣, 邰继承, 萨如拉, 刘乃嘉, 于淼, 李安宁. 玉米花生间作对作物及土壤特性的影响[J]. 中国农学通报, 2025, 41(5): 7-12. |
| [11] | 赵国珍, 刘慰华, 刘似玉, 董林波, 李林东, 陈于敏. 优质食味粳稻新品种‘云粳37号’的稳定性分析[J]. 中国农学通报, 2025, 41(5): 1-6. |
| [12] | 陈朝辉, 魏廷邦. 水肥耦合对玉米光合作用、干物质积累量和产量的影响[J]. 中国农学通报, 2025, 41(4): 1-9. |
| [13] | 陈芬, 李恺, 张雪梅, 李应龙, 段柯帆, 曹恒茂, 高鑫, 张景华, 黄敏, 董瑜. 硼硅对烤烟马铃薯Y病毒病防效与抗氧化酶活性的影响[J]. 中国农学通报, 2025, 41(4): 108-113. |
| [14] | 何丽华, 宋云生, 董明辉, 江贻, 吴正贵. 基于移栽行距和播期配置优化的晚粳稻生长特性、产量与品质调控研究[J]. 中国农学通报, 2025, 41(36): 1-11. |
| [15] | 秦雨涵, 杨晶, 赵林林, 曾玉姣, 郑立鹏, 任建东, 王晓醒, 马斌, 周伟, 徐麟, 相吉山. 不同种植密度对‘天粟5号’农艺性状和产量的影响[J]. 中国农学通报, 2025, 41(36): 12-20. |
| 阅读次数 | ||||||
|
全文 |
|
|||||
|
摘要 |
|
|||||