中国农学通报 ›› 2026, Vol. 42 ›› Issue (2): 40-49.doi: 10.11924/j.issn.1000-6850.casb2025-0387
收稿日期:2025-05-14
修回日期:2025-10-27
出版日期:2026-01-25
发布日期:2026-01-22
作者简介:纪冰祎,女,1991年出生,辽宁沈阳人,高级农艺师,硕士,研究方向:油料作物新品种、新技术示范及推广。通信地址:110032 辽宁省沈阳市皇姑区陵园街7-1号 辽宁省农业农村发展服务中心,E-mail:jibingyi1991@163.com。
基金资助:Received:2025-05-14
Revised:2025-10-27
Published:2026-01-25
Online:2026-01-22
摘要:
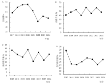
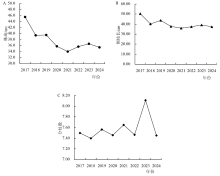
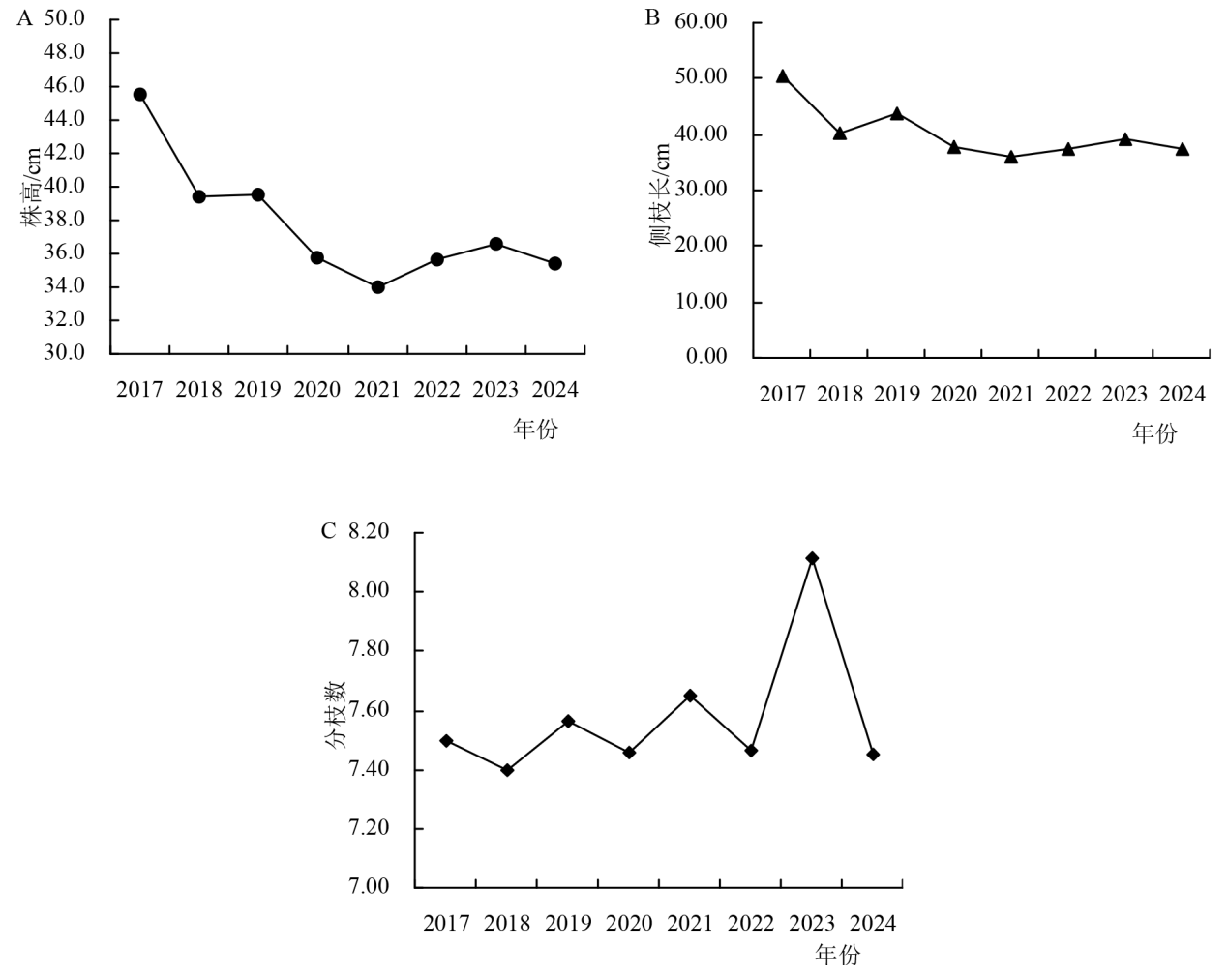
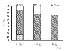
本研究旨在系统分析近年辽宁省花生登记品种的主要性状演变规律,以期为该地区花生的新品种选育与推广提供理论依据。本研究选取2017—2024年辽宁省登记的71个有效花生品种,针对品种类型、选育方式、主要表型、株型、产量及品质等多个性状,采用香农-维纳多样性指数和聚类分析等方法进行综合评价。研究表明,2017—2024年辽宁省共登记71个有效花生品种,其中66.2%为珍珠豆型,87.3%为杂交方式选育,78.9%的选育单位为科研院所。在表型性状上,品种主要呈直立型株型、椭圆形叶片、绿色叶色、普通形荚果和浅红色种皮;叶形和荚果形的变异幅度较大,株型的变异幅度最小,叶色性状的遗传多样性最为丰富。登记品种的株高与侧枝长年均值呈下降趋势,生育期、产量及品质性状相对稳定;对叶斑病、叶枯病和锈病多表现为中等抗性。通过聚类分析,在欧式距离为11时,将登记品种分为4个类群,分别作为矮小果仁饱满型、大果型、晚熟型及高油酸早熟型材料。该研究揭示了近年辽宁省花生登记品种的演变趋势,为辽宁省花生品种改良与高效利用提供理论依据。
纪冰祎. 2017—2024年辽宁省花生登记品种主要性状演变分析[J]. 中国农学通报, 2026, 42(2): 40-49.
JI Bingyi. Evolution of Main Characteristics of Peanut Varieties Registered in Liaoning Province from 2017 to 2024[J]. Chinese Agricultural Science Bulletin, 2026, 42(2): 40-49.
| 性状 | 频率分级 |
|---|---|
| 株型 | 1、直立型;2、半直立型;3、匍匐型 |
| 叶色 | 1、黄绿;2、淡绿;3、绿;4、深绿;5、暗绿 |
| 叶形 | 1、椭圆形;2、长椭圆形;3、倒卵形;4、宽倒卵形 |
| 荚果形 | 1、普通形;2、斧头形;3、葫芦形;4、蜂腰形;5、茧形;6、曲棍形;7、串珠形 |
| 籽仁形 | 1、球形;2、柱形;3、锥形 |
| 种皮色 | 1、白色;2、浅褐色;3、棕色;4、浅红色;5、深红色;6、紫色;7、深紫色;8、黑色 |
| 性状 | 频率分级 |
|---|---|
| 株型 | 1、直立型;2、半直立型;3、匍匐型 |
| 叶色 | 1、黄绿;2、淡绿;3、绿;4、深绿;5、暗绿 |
| 叶形 | 1、椭圆形;2、长椭圆形;3、倒卵形;4、宽倒卵形 |
| 荚果形 | 1、普通形;2、斧头形;3、葫芦形;4、蜂腰形;5、茧形;6、曲棍形;7、串珠形 |
| 籽仁形 | 1、球形;2、柱形;3、锥形 |
| 种皮色 | 1、白色;2、浅褐色;3、棕色;4、浅红色;5、深红色;6、紫色;7、深紫色;8、黑色 |
| 年份 | 数量 | 品种类型 | 选育方式 | |||||||
|---|---|---|---|---|---|---|---|---|---|---|
| 普通型 | 大粒型 | 珍珠豆型 | 杂交 | 诱变 | 系统选择 | 地方品种 | 其他 | |||
| 2017 | 2 | 0 | 0 | 2 | 2 | 0 | 0 | 0 | 0 | |
| 2018 | 21 | 5 | 4 | 12 | 17 | 2 | 0 | 1 | 1 | |
| 2019 | 3 | 1 | 0 | 2 | 3 | 0 | 0 | 0 | 0 | |
| 2020 | 5 | 4 | 0 | 1 | 4 | 1 | 0 | 0 | 0 | |
| 2021 | 4 | 1 | 3 | 0 | 4 | 0 | 0 | 0 | 0 | |
| 2022 | 9 | 4 | 0 | 5 | 8 | 0 | 1 | 0 | 0 | |
| 2023 | 13 | 1 | 0 | 12 | 12 | 1 | 0 | 0 | 0 | |
| 2024 | 14 | 1 | 0 | 13 | 12 | 0 | 2 | 0 | 0 | |
| 合计 | 71 | 17 | 7 | 47 | 62 | 4 | 3 | 1 | 1 | |
| 年份 | 数量 | 品种类型 | 选育方式 | |||||||
|---|---|---|---|---|---|---|---|---|---|---|
| 普通型 | 大粒型 | 珍珠豆型 | 杂交 | 诱变 | 系统选择 | 地方品种 | 其他 | |||
| 2017 | 2 | 0 | 0 | 2 | 2 | 0 | 0 | 0 | 0 | |
| 2018 | 21 | 5 | 4 | 12 | 17 | 2 | 0 | 1 | 1 | |
| 2019 | 3 | 1 | 0 | 2 | 3 | 0 | 0 | 0 | 0 | |
| 2020 | 5 | 4 | 0 | 1 | 4 | 1 | 0 | 0 | 0 | |
| 2021 | 4 | 1 | 3 | 0 | 4 | 0 | 0 | 0 | 0 | |
| 2022 | 9 | 4 | 0 | 5 | 8 | 0 | 1 | 0 | 0 | |
| 2023 | 13 | 1 | 0 | 12 | 12 | 1 | 0 | 0 | 0 | |
| 2024 | 14 | 1 | 0 | 13 | 12 | 0 | 2 | 0 | 0 | |
| 合计 | 71 | 17 | 7 | 47 | 62 | 4 | 3 | 1 | 1 | |
| 性状 | 数量/个 | 频率/% | 变异系数/% | 多样性指数 | ||||
|---|---|---|---|---|---|---|---|---|
| 1 | 2 | 3 | 4 | 5 | ||||
| 株型 | 66 | 98.49 | 1.51 | 12.01 | 0.08 | |||
| 叶色 | 62 | 16.13 | 12.90 | 41.93 | 25.81 | 3.23 | 37.27 | 1.38 |
| 叶形 | 51 | 64.71 | 5.88 | 29.41 | 54.87 | 0.81 | ||
| 荚果形 | 55 | 61.82 | 1.82 | 1.82 | 34.54 | 49.90 | 0.81 | |
| 籽仁形 | 64 | 17.19 | 81.25 | 1.56 | 21.90 | 0.26 | ||
| 种皮色 | 67 | 1.49 | 25.38 | 1.49 | 70.15 | 1.49 | 27.12 | 0.78 |
| 性状 | 数量/个 | 频率/% | 变异系数/% | 多样性指数 | ||||
|---|---|---|---|---|---|---|---|---|
| 1 | 2 | 3 | 4 | 5 | ||||
| 株型 | 66 | 98.49 | 1.51 | 12.01 | 0.08 | |||
| 叶色 | 62 | 16.13 | 12.90 | 41.93 | 25.81 | 3.23 | 37.27 | 1.38 |
| 叶形 | 51 | 64.71 | 5.88 | 29.41 | 54.87 | 0.81 | ||
| 荚果形 | 55 | 61.82 | 1.82 | 1.82 | 34.54 | 49.90 | 0.81 | |
| 籽仁形 | 64 | 17.19 | 81.25 | 1.56 | 21.90 | 0.26 | ||
| 种皮色 | 67 | 1.49 | 25.38 | 1.49 | 70.15 | 1.49 | 27.12 | 0.78 |
| 性状 | 数量/个 | 平均值 | 最大值 | 最小值 | 标准偏差 | 变异系数/% |
|---|---|---|---|---|---|---|
| 生育期 | 66 | 123.15 | 134.0 | 112.7 | 4.40 | 3.57 |
| 单株结果数 | 59 | 16.31 | 24.6 | 6.7 | 3.78 | 23.39 |
| 株高 | 70 | 37.22 | 55.9 | 25.4 | 5.79 | 15.68 |
| 侧枝长 | 57 | 39.07 | 52.3 | 30.1 | 5.42 | 14.00 |
| 分枝数 | 69 | 7.58 | 10.00 | 6.00 | 0.82 | 10.93 |
| 百果重 | 70 | 178.45 | 254.3 | 118.3 | 27.35 | 15.44 |
| 百仁重 | 70 | 73.70 | 152.8 | 48 | 13.80 | 18.86 |
| 出仁率 | 70 | 70.95 | 75.5 | 61.75 | 2.55 | 3.59 |
| 含油量 | 87 | 50.78 | 56.08 | 45.52 | 2.39 | 4.74 |
| 蛋白质含量 | 69 | 25.14 | 28.8 | 19.27 | 2.24 | 8.96 |
| 油酸含量 | 68 | 49.57 | 81.10 | 35.20 | 15.90 | 32.31 |
| 亚油酸含量 | 68 | 30.06 | 42.2 | 3.00 | 13.68 | 45.84 |
| 性状 | 数量/个 | 平均值 | 最大值 | 最小值 | 标准偏差 | 变异系数/% |
|---|---|---|---|---|---|---|
| 生育期 | 66 | 123.15 | 134.0 | 112.7 | 4.40 | 3.57 |
| 单株结果数 | 59 | 16.31 | 24.6 | 6.7 | 3.78 | 23.39 |
| 株高 | 70 | 37.22 | 55.9 | 25.4 | 5.79 | 15.68 |
| 侧枝长 | 57 | 39.07 | 52.3 | 30.1 | 5.42 | 14.00 |
| 分枝数 | 69 | 7.58 | 10.00 | 6.00 | 0.82 | 10.93 |
| 百果重 | 70 | 178.45 | 254.3 | 118.3 | 27.35 | 15.44 |
| 百仁重 | 70 | 73.70 | 152.8 | 48 | 13.80 | 18.86 |
| 出仁率 | 70 | 70.95 | 75.5 | 61.75 | 2.55 | 3.59 |
| 含油量 | 87 | 50.78 | 56.08 | 45.52 | 2.39 | 4.74 |
| 蛋白质含量 | 69 | 25.14 | 28.8 | 19.27 | 2.24 | 8.96 |
| 油酸含量 | 68 | 49.57 | 81.10 | 35.20 | 15.90 | 32.31 |
| 亚油酸含量 | 68 | 30.06 | 42.2 | 3.00 | 13.68 | 45.84 |
| 形状 | Ⅰ | Ⅱ | Ⅲ | Ⅳ | |||||||
|---|---|---|---|---|---|---|---|---|---|---|---|
| 均值 | 变幅 | 均值 | 变幅 | 均值 | 变幅 | 均值 | 变幅 | ||||
| 生育期/d | 126 | — | 124.5 | 123~126 | 130 | 114~134 | 121.7 | 113~130 | |||
| 单株结果数 | 16.6 | — | 10.1 | 8.9~11.3 | 16.1 | 6.7~23.5 | 18.1 | 11.8~24.6 | |||
| 株高/cm | 28.3 | — | 35.5 | 33.7~37.2 | 37.8 | 26.1~55.9 | 35.6 | 25.4~45.0 | |||
| 侧枝长/cm | 31.2 | — | 38.4 | 36.7~40.0 | 39.8 | 30.1~52.3 | 37.5 | 30.2~45.9 | |||
| 分枝数 | 7.3 | — | 7.6 | 7.2~8.0 | 7.5 | 7.1~10.0 | 8.1 | 6.7~9.1 | |||
| 百果重/g | 152.8 | — | 249.7 | 245.0~254.3 | 182.7 | 118.3~232.6 | 163.1 | 131.9~181.8 | |||
| 百仁重/g | 152.8 | — | 89.4 | 83.6~95.3 | 75.2 | 48.0~98.9 | 67.7 | 57.6~74.6 | |||
| 出仁率/% | 72.4 | — | 66.7 | 66.6~66.8 | 70.9 | 61.8~75.5 | 70.8 | 67.5~72.2 | |||
| 含油量/% | 49.3 | — | 49.6 | 49.0~50.1 | 50.7 | 45.5~56.1 | 51.1 | 47.5~53.5 | |||
| 蛋白质含量/% | 26.9 | — | 24.6 | 24.4~24.8 | 25.2 | 19.3~29.7 | 24.3 | 21.4~27.6 | |||
| 油酸含量/% | 37.6 | — | 39.3 | 39.2~39.3 | 44.0 | 35.2~81.1 | 78.5 | 76.2~80.7 | |||
| 亚油酸含量/% | 39.6 | — | 39.7 | 39.3~40.1 | 34.9 | 3.0~43.0 | 5.2 | 3.6~6.5 | |||
| 形状 | Ⅰ | Ⅱ | Ⅲ | Ⅳ | |||||||
|---|---|---|---|---|---|---|---|---|---|---|---|
| 均值 | 变幅 | 均值 | 变幅 | 均值 | 变幅 | 均值 | 变幅 | ||||
| 生育期/d | 126 | — | 124.5 | 123~126 | 130 | 114~134 | 121.7 | 113~130 | |||
| 单株结果数 | 16.6 | — | 10.1 | 8.9~11.3 | 16.1 | 6.7~23.5 | 18.1 | 11.8~24.6 | |||
| 株高/cm | 28.3 | — | 35.5 | 33.7~37.2 | 37.8 | 26.1~55.9 | 35.6 | 25.4~45.0 | |||
| 侧枝长/cm | 31.2 | — | 38.4 | 36.7~40.0 | 39.8 | 30.1~52.3 | 37.5 | 30.2~45.9 | |||
| 分枝数 | 7.3 | — | 7.6 | 7.2~8.0 | 7.5 | 7.1~10.0 | 8.1 | 6.7~9.1 | |||
| 百果重/g | 152.8 | — | 249.7 | 245.0~254.3 | 182.7 | 118.3~232.6 | 163.1 | 131.9~181.8 | |||
| 百仁重/g | 152.8 | — | 89.4 | 83.6~95.3 | 75.2 | 48.0~98.9 | 67.7 | 57.6~74.6 | |||
| 出仁率/% | 72.4 | — | 66.7 | 66.6~66.8 | 70.9 | 61.8~75.5 | 70.8 | 67.5~72.2 | |||
| 含油量/% | 49.3 | — | 49.6 | 49.0~50.1 | 50.7 | 45.5~56.1 | 51.1 | 47.5~53.5 | |||
| 蛋白质含量/% | 26.9 | — | 24.6 | 24.4~24.8 | 25.2 | 19.3~29.7 | 24.3 | 21.4~27.6 | |||
| 油酸含量/% | 37.6 | — | 39.3 | 39.2~39.3 | 44.0 | 35.2~81.1 | 78.5 | 76.2~80.7 | |||
| 亚油酸含量/% | 39.6 | — | 39.7 | 39.3~40.1 | 34.9 | 3.0~43.0 | 5.2 | 3.6~6.5 | |||
| [1] |
国家统计局. 2024中国统计年鉴[M]. 北京: 中国统计出版社, 2024.
|
| [2] |
王贺然, 李迎春, 韩雪, 等. 辽宁花生种植的霜冻危险性分析[J]. 中国油料作物学报, 2024, 46(2):420-429.
doi: 10.19802/j.issn.1007-9084.2022318 |
| [3] |
王乙舒. 基于GIS的辽宁花生气候适宜性精细化区划[D]. 沈阳: 沈阳农业大学, 2017.
|
| [4] |
张晓光, 王海新, 孙泓希, 等. 辽宁新育花生品种农艺性状鉴定及与产量相关性分析[J]. 农业科技通讯, 2022(6):133-135.
|
| [5] |
修俊杰, 韩彦龙, 刘学良. 辽宁小粒型花生新品种比较试验[J]. 农业科技通讯, 2023(4):113-116.
|
| [6] |
于洪波, 于树涛, 史普想, 等. 辽宁花生品种区域化研究[J]. 园艺与种苗, 2014(12):73-76.
|
| [7] |
于树涛, 于洪波, 苏君伟, 等. 辽宁花生品种系谱分析及农艺性状的演变[J]. 植物遗传资源学报, 2014, 15(2):423-428.
doi: 10.13430/j.cnki.jpgr.2014.02.030 |
| [8] |
全国农业技术推广服务中心, 中国农业科学院油料作物研究所, 河南省农业科学院经济作物研究所, 等. NY/T3924—2021,农作物品种试验规范油料[S]. 北京: 中国农业出版社,2022:7-11.
|
| [9] |
姜慧芳, 段乃雄. 花生种质资源描述规范和数据标准[M]. 北京: 中国农业出版社, 2006.
|
| [10] |
汪娅梅, 谭家壮, 吴小丽, 等. 2017—2022年我国花生登记品种主要性状演变分析[J]. 中国油料作物学报, 2025, 47(1):81-93.
doi: 10.19802/j.issn.1007-9084.2023260 |
| [11] |
张珍珍, 王朝欢, 夏友霖, 等. 2020—2023年中国登记花生品种主要性状演变分析[J]. 中国油料作物学报, 2024, 46(3):687-696.
doi: 10.19802/j.issn.1007-9084.2024061 |
| [12] |
王晓鸣, 邱丽娟, 景蕊莲, 等. 作物种质资源表型性状鉴定评价:现状与趋势[J]. 植物遗传资源学报, 2022, 23(1):12-20.
|
| [13] |
申海洋, 罗伟文, 吴峰, 等. 花生机械化收获装备与技术研究进展[J]. 农业机械学报, 2024, 55(8):21-38.
|
| [14] |
高学梅, 胡志超, 王海鸥, 等. 花生脱壳加工物理机械特性试验[J]. 中国农机化, 2012(6):55-57,61.
|
| [15] |
任亮, 于树涛, 孙泓希, 等. 花生农艺性状与荚果物理特性分析及适宜机械脱壳品种筛选[J]. 分子植物育种, 2025, 23(1):142-151.
|
| [16] |
王传堂, 王志伟, 王秀贞, 等. 不同花生基因型机械化收获相关特性的研究[J]. 花生学报, 2019, 48(1):52-57.
|
| [17] |
黄杨, 熊信果, 邹小云, 等. 江西地方花生种质资源主要农艺性状分析与评价[J]. 植物遗传资源学报, 2021, 22(6):1550-1558.
|
| [18] |
张玉松, 何柳, 张云云, 等. 不同生态区气象因子对花生产量相关性状的影响[J]. 中国油料作物学报, 2024, 46(3):676-686.
doi: 10.19802/j.issn.1007-9084.2024013 |
| [19] |
于国庆, 于树涛, 于洪波, 等. 东北三省花生生产和科研现状分析及建议[J]. 农业经济, 2016(5):58-59.
|
| [20] |
孙泓希, 于树涛, 马青艳, 等. 优质高产花生新品种阜花28的选育[J]. 农业工程技术, 2020, 40(5):85,87.
|
| [21] |
鲁清, 刘浩, 李海芬, 等. 花生不同株型主要农艺性状的相关分析及其对单株产量的影响[J]. 热带作物学报, 2019, 40(6):1115-1121.
doi: 10.3969/j.issn.1000-2561.2019.06.012 |
| [22] |
李国卫, 秦圣豪, 刘译阳, 等. 花生株型相关性状研究进展[J]. 中国油料作物学报, 2020, 42(6):934-939.
|
| [23] |
王力夫, 于树涛, 王虹, 等. 高油酸花生阜花35不同种植方式与产量的关系[J]. 农业科技通讯, 2021(5):151-153.
|
| [24] |
焦灰敏, 桑玉伟, 何宗铃, 等. 花生产量与主要农艺性状、品质性状的灰色关联度分析[J]. 北方农业学报, 2024, 52(6):22-30.
doi: 10.12190/j.issn.2096-1197.2024.06.03 |
| [25] |
黄金堂, 陈海玲, 郑国栋, 等. 福建花生品种系谱及其性状演变分析[J]. 中国农学通报, 2012, 28(27):31-36.
|
| [26] |
林秀芳, 叶万余, 吴春玲, 等. 广西审定花生品种系谱及农艺性状演变[J]. 中国油料作物学报, 2020, 42(5):760-766.
|
| [27] |
于树涛, 刘志旺, 张诗行, 等. 阜花系列高油酸花生遗传多样性分析[J]. 花生学报, 2023, 52(1):80-85,91.
|
| [28] |
徐志军, 吴小丽, 胡小文, 等. 33份引进花生资源表型遗传多样性分析及粤西地区的适应性初步评价[J]. 热带作物学报, 2021, 42(7):1885-1895.
doi: 10.3969/j.issn.1000-2561.2021.07.010 |
| [29] |
苗利娟, 张新友, 黄冰艳, 等. 河南省花生农家品种资源农艺和品质性状分析[J]. 植物遗传资源学报, 2016, 17(5):854-860.
doi: 10.13430/j.cnki.jpgr.2016.05.009 |
| [1] | 罗静, 杜珊珊, 姚青青, 王东力, 何忠盛, 孙绘健, 王瑞军. NaCl和Na2SO4盐胁迫对陆地棉种子萌发的影响及耐盐种质的筛选[J]. 中国农学通报, 2026, 42(3): 48-56. |
| [2] | 王克秀, 唐铭霞, 程明军, 胡建军, 李兵, 廖霏霏, 李华鹏, 杨雯婷, 郭展, 崔阔澍. 施氮量与氮肥类型对马铃薯生长发育及氮素利用的影响[J]. 中国农学通报, 2026, 42(1): 1-11. |
| [3] | 蒋坤莲, 冯长春, 韩利红, 孙龙, 黄康慧, 江鸿, 蔡艳. 新型生物有机肥对烤烟生长的影响[J]. 中国农学通报, 2026, 42(1): 20-26. |
| [4] | 林硕, 李嘉伟, 蔡宪杰, 朱启法, 于可可, 闫鼎, 毛东平, 程廷明, 孙延国, 王程栋, 董建新. 农机农艺融合技术对皖南烤烟生产的影响[J]. 中国农学通报, 2026, 42(1): 27-36. |
| [5] | 张小红, 鄢铮, 魏广彪. 不同品系甘薯对外源有机硒富集能力比较[J]. 中国农学通报, 2025, 41(8): 31-38. |
| [6] | 莫俊杰, 郑嘉成, 蔡继葳, 刘嘉威, 冯永成. 基于收获指数的水稻单株选择效应[J]. 中国农学通报, 2025, 41(7): 1-8. |
| [7] | 赵娜, 李国清, 李国瑜, 丛新军, 张继波, 徐慧媛. 绿肥轮作对谷子农艺性状、产量及土壤养分的影响[J]. 中国农学通报, 2025, 41(7): 15-21. |
| [8] | 黄志鹏, 唐秀梅, 吴海宁, 张宗急, 钟丽, 毛玲莉, 许显发, 明日, 贺梁琼, 钟瑞春, 韩柱强, 唐荣华, 蒋菁. 天然富硒花生品种的筛选[J]. 中国农学通报, 2025, 41(6): 38-43. |
| [9] | 赵国珍, 刘慰华, 刘似玉, 董林波, 李林东, 陈于敏. 优质食味粳稻新品种‘云粳37号’的稳定性分析[J]. 中国农学通报, 2025, 41(5): 1-6. |
| [10] | 赵芳, 高运青, 高韶斌, 郑丽珍, 李姝彤, 尚启兵, 徐东旭, 关翔宇. 河北省绿豆种质资源主要农艺性状、经济性状遗传多样性分析及综合评价[J]. 中国农学通报, 2025, 41(5): 23-29. |
| [11] | 孙广涛, 包桂荣, 邰继承, 萨如拉, 刘乃嘉, 于淼, 李安宁. 玉米花生间作对作物及土壤特性的影响[J]. 中国农学通报, 2025, 41(5): 7-12. |
| [12] | 李静, 李海霞, 李正华, 郭成博, 王艳敏, 孙培琳, 白卉. 丁香种质资源表型性状遗传多样性分析[J]. 中国农学通报, 2025, 41(4): 74-83. |
| [13] | 蒋元斌. 地膜覆盖和栽培密度对宁德丘陵山地‘福宁紫4号’紫甘薯品种农艺性状和结薯习性的影响[J]. 中国农学通报, 2025, 41(36): 21-27. |
| [14] | 秦雨涵, 杨晶, 赵林林, 曾玉姣, 郑立鹏, 任建东, 王晓醒, 马斌, 周伟, 徐麟, 相吉山. 不同种植密度对‘天粟5号’农艺性状和产量的影响[J]. 中国农学通报, 2025, 41(36): 12-20. |
| [15] | 扶艳艳, 鲁耀, 耿少武, 高有寿, 柴云霞, 布云虹. 施氮量、有机氮占比、留叶数对楚雄‘K326’烤烟产质量的影响[J]. 中国农学通报, 2025, 41(35): 9-18. |
| 阅读次数 | ||||||
|
全文 |
|
|||||
|
摘要 |
|
|||||
