Welcome to Chinese Agricultural Science Bulletin,

Chinese Agricultural Science Bulletin ›› 2025, Vol. 41 ›› Issue (35): 63-70.doi: 10.11924/j.issn.1000-6850.casb2025-0108

Previous Articles     Next Articles

Effects of Application Rate and Particle Size on Distribution Uniformity of Fertilizer Application Using Unmanned Aerial Vehicle

ZHANG Zhe1,2(), YANG Lu3, NING Peng1,2()   

  1. 1 College of Resources and Environmental Sciences, China Agricultural University/National Academy of Agriculture Green Development, Beijing 100193
    2 National Observation and Research Station of Agriculture Green Development (Quzhou), Handan, Hebei 057250
    3 Oil Crops Research Institute of Chinese Academy of Agricultural Sciences / Key Laboratory of Biology and Genetics Improvement of Oil Crops, Ministry of Agriculture and Rural Affairs, Wuhan 430062
  • Received:2025-02-12 Revised:2025-05-30 Online:2025-12-11 Published:2025-12-11

Abstract:

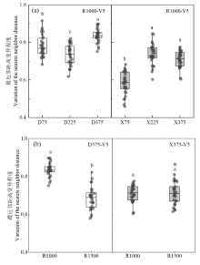
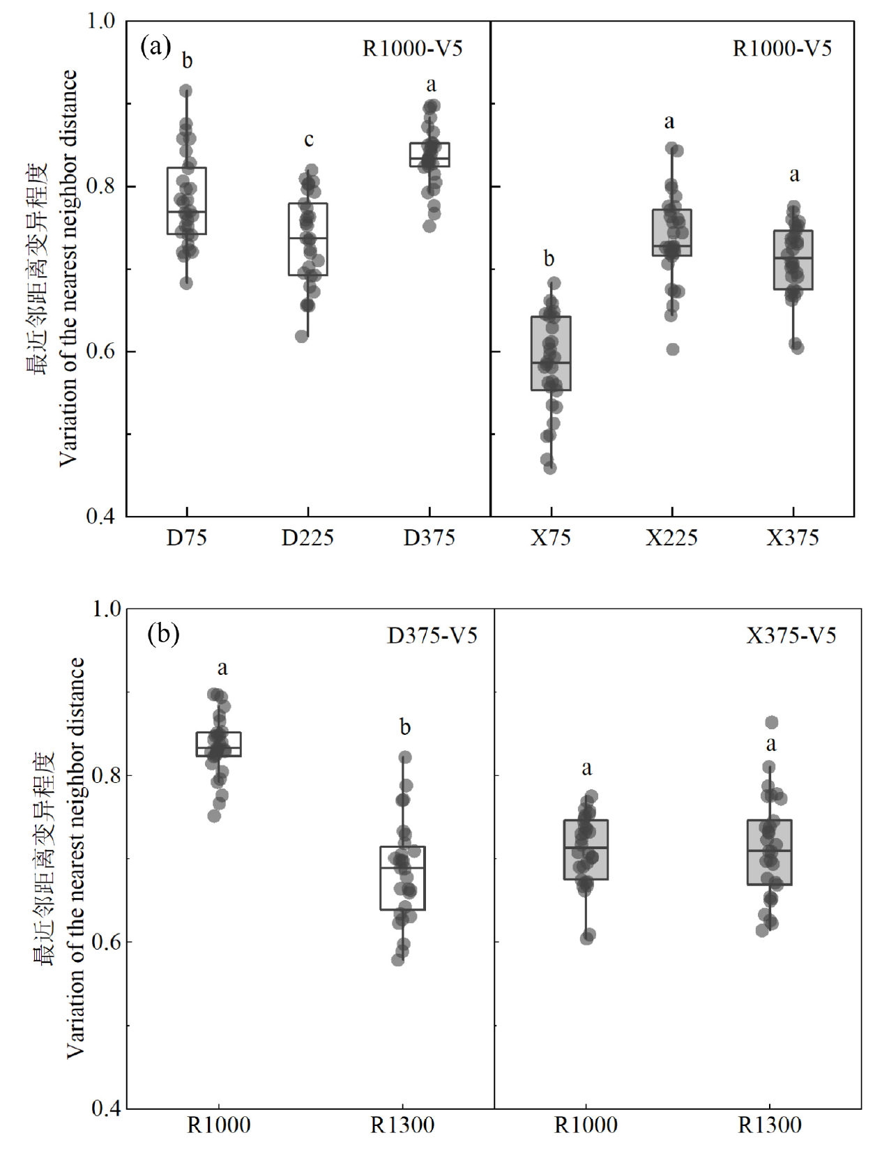
The utilization of unmanned aerial vehicle (UAV) for fertilizer application holds great promise in increasing crop yield and nutrient use efficiency. However, the impact of fertilizer application rate and particle size under diverse UAV flying parameters on the uniformity of fertilizer deposition remains elusive. To address this gap, an experiment was conducted with varying fertilization rates and particle size under different disc rotation speeds and flight speeds, aiming to assess the homogeneity of UAV-based fertilization and optimize the relevant technology. The results showed that higher fertilizer application rate reduced the uniformity of fertilizer deposition. For urea with large particle sizes, the coefficient of variation (CV) of fertilizer deposition increased from 16.4% at an application rate of 75 kg/hm2 to 31.5% at 225 and 375 kg/hm2. The highest CV value of 37.5% was observed for urea with small particle sizes. At an application rate of 375 kg/hm2, the CV for large-particle fertilizer deposition decreased from 31.5% to 11.0% as the rotation speed increased from 1000 to 1300 r/min. Meanwhile, the CV for small-particle fertilizer deposition declined to 20.5%. For both large- and small-particle fertilizers, the CV of the deposited particle distribution was minimized at a flight speed of 5 m/s. Further analysis based on the CV and the nearest neighbor distance of particles indicated that increasing the fertilization rate decreased the uniformity of fertilizer particle distribution on both sides of the flight path, with distinct differences between large- and small-particle urea. When the application rate of large- and small-particle urea increased from 75 to 375 kg/hm2, the uniformity of particle distribution beside the flight path decreased by 15.1% and 16.9%, respectively. Within a single collection box, the uniformity of particle distribution decreased by 6% and 13%, respectively. Increasing the disc rotation speed enhanced the uniformity of large-particle fertilizer distribution by 20.5% and that of small-particle fertilizer by 10.4% at an application rate of 375 kg/hm2. The uniformity of particle distribution within the collection box for large-particle fertilizer increased by 15%, and there were limited changes for that of small-particle fertilizer. In conclusion, the study suggests that application rate and particle size are crucial factors influencing the uniformity of UVA-based fertilization. It is recommended to use large-particle fertilizers in practice. Additionally, the uniformity of fertilizer particle distribution can be improved by increasing the rotation speed and optimizing other parameters when applying higher rates of fertilizers.

Key words: UAV fertilizer application, fertilizer application rate, particle size of fertilizer, efficient fertilization technology