
Chinese Agricultural Science Bulletin ›› 2026, Vol. 42 ›› Issue (6): 150-163.doi: 10.11924/j.issn.1000-6850.casb2025-0798
Previous Articles Next Articles
XU En(
), SHEN Wei(
), ZHOU Hang, WANG Jinjie, YAN Yaqiong, YAO Haitao
Received:2025-09-17
Revised:2026-01-07
Online:2026-03-25
Published:2026-03-30
XU En, SHEN Wei, ZHOU Hang, WANG Jinjie, YAN Yaqiong, YAO Haitao. NDVI Variation and Its Response to Extreme Climate in Jiangsu During 2001-2022[J]. Chinese Agricultural Science Bulletin, 2026, 42(6): 150-163.
Add to citation manager EndNote|Ris|BibTeX
URL: https://www.casb.org.cn/EN/10.11924/j.issn.1000-6850.casb2025-0798
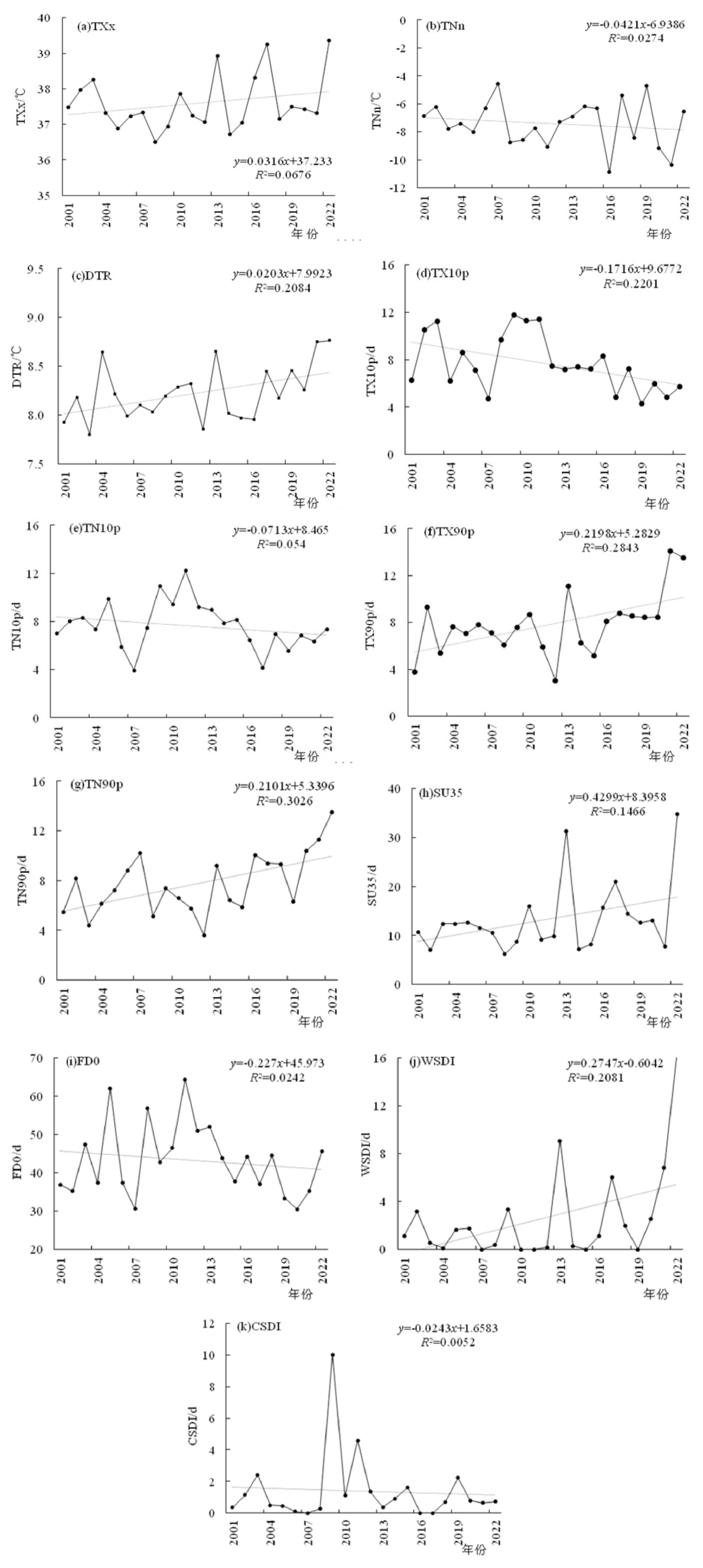
| 类型 | 名称 | 代码 | 定义 | 单位 | |
|---|---|---|---|---|---|
| 极端 气温 指数 | 强度指数 | 极端最高气温 | TXx | 年内日最高气温的最大值 | ℃ |
| 极端最低气温 | TNn | 年内日最低气温的最小值 | ℃ | ||
| 气温日较差 | DTR | 日最高气温与日最低气温的差值 | ℃ | ||
| 频率指数 | 冷昼日数 | TX10p | 日最高气温<10%分位值的天数 | d | |
| 冷夜日数 | TN10p | 日最低气温<10%分位值的天数 | d | ||
| 暖昼日数 | TX90p | 日最高气温>90%分位值的天数 | d | ||
| 暖夜日数 | TN90p | 日最低气温>90%分位值的天数 | d | ||
| 高温日数 | SU35 | 年内日最高气温>35℃的日数 | d | ||
| 霜冻日数 | FD0 | 年内日最低气温<0℃的日数 | d | ||
| 持续时间指数 | 暖持续日数 | WSDI | 连续6日最高气温>90%分位值的日数 | d | |
| 冷持续日数 | CSDI | 连续6日最低气温<10%分位值的日数 | d | ||
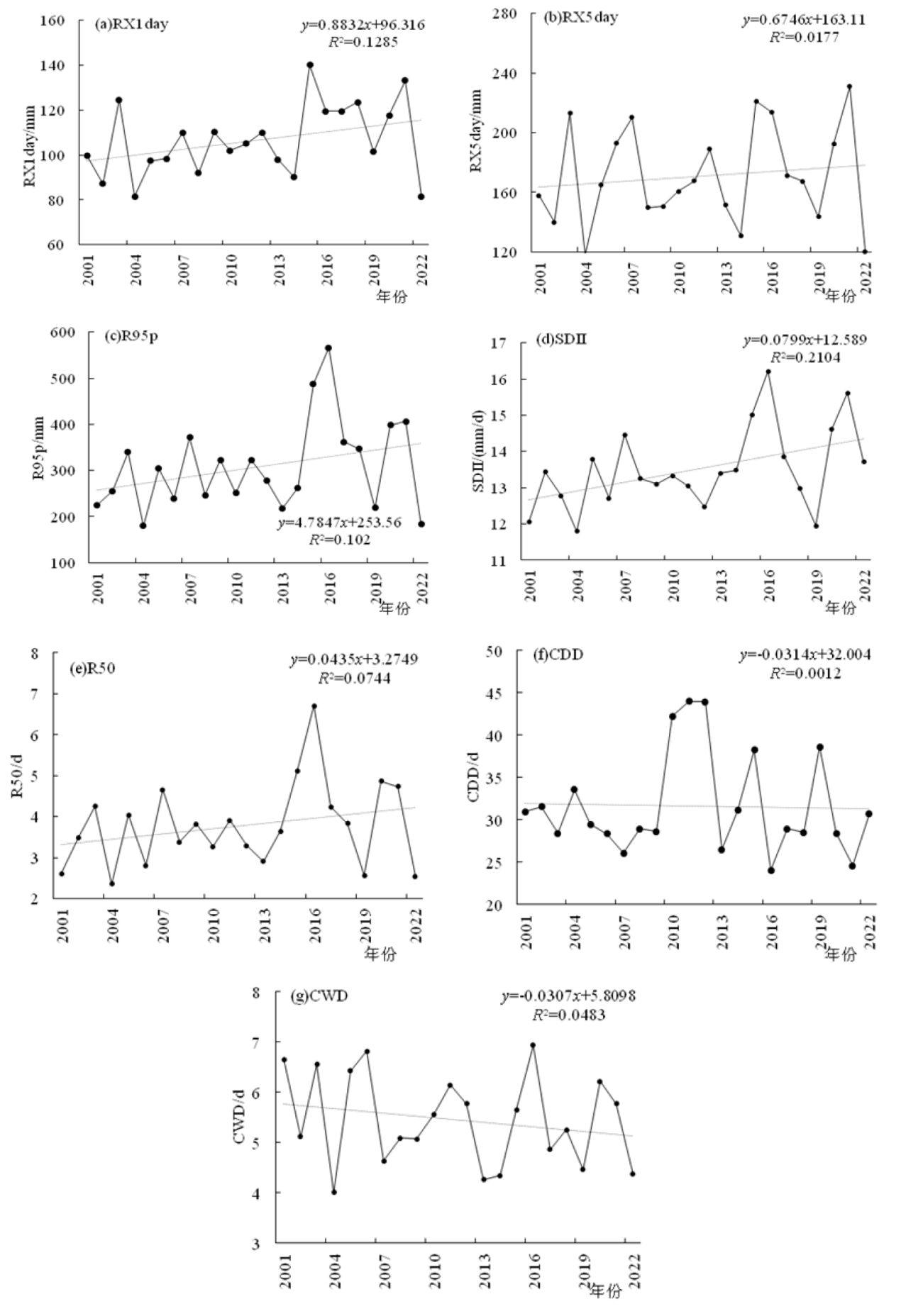
| 极端 降水 指数 | 强度指数 | 单日最大降水量 | RX1day | 年内最大日降水量 | mm |
| 5日最大降水量 | RX5day | 年内连续5日最大降水量 | mm | ||
| 强降水量 | R95p | 降水量>95%分位值的总量 | mm | ||
| 降水强度 | SDII | 降水量≥1 mm的总量与天数的比值 | mm/d | ||
| 频率指数 | 暴雨日数 | R50 | 年内日降水量>50 mm的日数 | d | |
| 持续时间指数 | 连续干旱日数 | CDD | 日降水量<1 mm最长连续日数 | d | |
| 连续湿润日数 | CWD | 日降水量≥1 mm最长连续日数 | d | ||
| 类型 | 名称 | 代码 | 定义 | 单位 | |
|---|---|---|---|---|---|
| 极端 气温 指数 | 强度指数 | 极端最高气温 | TXx | 年内日最高气温的最大值 | ℃ |
| 极端最低气温 | TNn | 年内日最低气温的最小值 | ℃ | ||
| 气温日较差 | DTR | 日最高气温与日最低气温的差值 | ℃ | ||
| 频率指数 | 冷昼日数 | TX10p | 日最高气温<10%分位值的天数 | d | |
| 冷夜日数 | TN10p | 日最低气温<10%分位值的天数 | d | ||
| 暖昼日数 | TX90p | 日最高气温>90%分位值的天数 | d | ||
| 暖夜日数 | TN90p | 日最低气温>90%分位值的天数 | d | ||
| 高温日数 | SU35 | 年内日最高气温>35℃的日数 | d | ||
| 霜冻日数 | FD0 | 年内日最低气温<0℃的日数 | d | ||
| 持续时间指数 | 暖持续日数 | WSDI | 连续6日最高气温>90%分位值的日数 | d | |
| 冷持续日数 | CSDI | 连续6日最低气温<10%分位值的日数 | d | ||
| 极端 降水 指数 | 强度指数 | 单日最大降水量 | RX1day | 年内最大日降水量 | mm |
| 5日最大降水量 | RX5day | 年内连续5日最大降水量 | mm | ||
| 强降水量 | R95p | 降水量>95%分位值的总量 | mm | ||
| 降水强度 | SDII | 降水量≥1 mm的总量与天数的比值 | mm/d | ||
| 频率指数 | 暴雨日数 | R50 | 年内日降水量>50 mm的日数 | d | |
| 持续时间指数 | 连续干旱日数 | CDD | 日降水量<1 mm最长连续日数 | d | |
| 连续湿润日数 | CWD | 日降水量≥1 mm最长连续日数 | d | ||
| 变化趋势类型 | 划分依据 | 像元数/个 | 面积占比/% |
|---|---|---|---|
| 极显著改善 | β>0,|Z|>2.58 | 144063 | 9.62 |
| 显著改善 | β>0,1.96<|Z|≤2.58 | 107040 | 7.15 |
| 轻微改善 | β>0,0≤|Z|≤1.96 | 435642 | 29.08 |
| 基本稳定 | β=0 | 2058 | 0.14 |
| 轻微退化 | β<0,0≤|Z|≤1.96 | 415547 | 27.74 |
| 显著退化 | β<0,1.96<|Z|≤2.58 | 116399 | 7.77 |
| 极显著退化 | β<0,|Z|>2.58 | 277129 | 18.50 |
| 变化趋势类型 | 划分依据 | 像元数/个 | 面积占比/% |
|---|---|---|---|
| 极显著改善 | β>0,|Z|>2.58 | 144063 | 9.62 |
| 显著改善 | β>0,1.96<|Z|≤2.58 | 107040 | 7.15 |
| 轻微改善 | β>0,0≤|Z|≤1.96 | 435642 | 29.08 |
| 基本稳定 | β=0 | 2058 | 0.14 |
| 轻微退化 | β<0,0≤|Z|≤1.96 | 415547 | 27.74 |
| 显著退化 | β<0,1.96<|Z|≤2.58 | 116399 | 7.77 |
| 极显著退化 | β<0,|Z|>2.58 | 277129 | 18.50 |
| 未来变化趋势类型 | 划分依据 | 像元数/个 | 面积占比/% |
|---|---|---|---|
| 强持续性&退化 | β<0,0.65<H<1.00 | 31187 | 2.08 |
| 弱持续性&退化 | β<0,0.50<H≤0.65 | 235958 | 15.76 |
| 弱反持续性&退化 | β<0,0.35≤H<0.50 | 435915 | 29.11 |
| 强反持续性&退化 | β<0,0<H<0.35 | 105822 | 7.07 |
| 基本稳定 | β=0 | 2056 | 0.14 |
| 强反持续性&改善 | β>0,0<H<0.35 | 115926 | 7.74 |
| 弱反持续性&改善 | β>0,0.35≤H<0.50 | 391092 | 26.12 |
| 弱持续性&改善 | β>0,0.50<H≤0.65 | 164841 | 11.01 |
| 强持续性&改善 | β>0,0.65<H<1.00 | 14734 | 0.98 |
| 未来变化趋势类型 | 划分依据 | 像元数/个 | 面积占比/% |
|---|---|---|---|
| 强持续性&退化 | β<0,0.65<H<1.00 | 31187 | 2.08 |
| 弱持续性&退化 | β<0,0.50<H≤0.65 | 235958 | 15.76 |
| 弱反持续性&退化 | β<0,0.35≤H<0.50 | 435915 | 29.11 |
| 强反持续性&退化 | β<0,0<H<0.35 | 105822 | 7.07 |
| 基本稳定 | β=0 | 2056 | 0.14 |
| 强反持续性&改善 | β>0,0<H<0.35 | 115926 | 7.74 |
| 弱反持续性&改善 | β>0,0.35≤H<0.50 | 391092 | 26.12 |
| 弱持续性&改善 | β>0,0.50<H≤0.65 | 164841 | 11.01 |
| 强持续性&改善 | β>0,0.65<H<1.00 | 14734 | 0.98 |
| [1] |
金凯, 王飞, 韩剑桥, 等. 1982—2015年中国气候变化和人类活动对植被NDVI变化的影响[J]. 地理学报, 2020, 75(5):961-974.
doi: 10.11821/dlxb202005006 |
| [2] |
钟鼎杰, 杨存建. 2001—2020年川西高原植被EVI时空变化特征及气候因子驱动力分析[J]. 水土保持研究, 2022, 29(4):223-230.
|
| [3] |
姚利苹, 王雪, 张佳华, 等. 基于MODIS数据的近20年海南岛叶面积指数时空变化及驱动力分析[J]. 中国生态农业学报:中英文, 2024, 32(10):1719-1730.
|
| [4] |
徐勇, 黄雯婷, 窦世卿, 等. 2000—2020年西南地区植被NDVI对气候变化和人类活动响应特征[J]. 环境科学, 2022, 43(6):3230-3240.
|
| [5] |
齐容镰, 李庆波, 任佳, 等. “三北”工程地区植被覆盖变化特征及其驱动力分析——以宁夏为例[J]. 干旱区研究, 2024, 41(10):1740-1752.
doi: 10.13866/j.azr.2024.10.12 |
| [6] |
刘慧丽, 陈浩, 董廷旭, 等. 川渝地区NDVI动态特征及其对气候变化的响应[J]. 生态学报, 2023, 43(16):6743-6757.
|
| [7] |
陈宽, 杨晨晨, 白力嘎, 等. 基于地理探测器的内蒙古自然和人为因素对植被NDVI变化的影响[J]. 生态学报, 2021, 41(12):4963-4975.
|
| [8] |
滑永春, 张恒, 王冰, 等. 1982—2015年内蒙古地区NDVI时空变化及驱动力分析[J]. 西南林业大学学报:自然科学, 2021, 41(6):175-182.
|
| [9] |
张衡, 马义娟, 李乐乐, 等. 汾河流域植被NDVI的时空变化特征及其对气候因子的响应[J]. 海南师范大学学报:自然科学版, 2022, 35(3):322-332.
|
| [10] |
韩丹丹, 穆兴民, 高鹏, 等. 黄土高原地区植被变化及其对极端气候的响应[J]. 水土保持通报, 2020, 40(2):247-254.
|
| [11] |
张晋霞, 徐长春, 杨秋萍. 2001—2017年新疆NDVI变化及其对极端气候的响应[J]. 水土保持通报, 2020, 40(5):250-256,275,341.
|
| [12] |
高滢, 孙虎, 徐崟尧, 等. 陕西省植被覆盖时空变化及其对极端气候的响应[J]. 生态学报, 2022, 42(3):1022-1033.
|
| [13] |
徐勇, 奚砚涛. 江苏省植被覆盖动态变化及其与气候因子的关系[J]. 水土保持通报, 2015, 35(4):2,195-201,329.
|
| [14] |
钱娅. 2006—2015年江苏省植被覆盖度的演变趋势与预测研究[D]. 南京: 南京信息工程大学, 2021.
|
| [15] |
高吉喜, 史园莉, 张宏伟, 等. 中国区域250米归一化植被指数数据集(2000—2022)[DS/OL]. 国家青藏高原科学数据中心.
|
| [16] |
易文莹, 王海洋, 董明明, 等. 山东省不同水土保持区划NDVI变化及影响因素[J]. 环境科学, 2024, 45(9):5329-5340.
|
| [17] |
戴声佩, 李茂芬, 罗红霞, 等. 华南地区极端气温事件时空变化及其因子分析[J]. 江苏农业科学, 2021, 49(14):194-203.
|
| [18] |
苗书玲, 曹艳萍, 李晴晴. 1951—2019年黄河流域极端气候事件时空变化规律分析[J]. 河南大学学报:自然科学版, 2022, 52(4):416-429.
|
| [19] |
李清清. 近60年来(1960—2019)川中丘陵地区气候变化及极端气候事件研究[D]. 成都: 四川师范大学,2021.
|
| [20] |
雷茜, 胡忠文, 王敬哲, 等. 1985—2015年中国不同生态系统NDVI时空变化及其对气候因子的响应[J]. 生态学报, 2023, 43(15):6378-6391.
|
| [21] |
张岳, 孙梦鑫, 辛宇, 等. 2000—2020年川东地区植被NDVI变化趋势及影响因素分析[J]. 水土保持研究, 2023, 30(6):247-254,263.
|
| [22] |
秦格霞, 芦倩, 孟治元, 等. 1982—2015年中国北方草地NDVI时空动态及其对气候变化的响应[J]. 水土保持研究, 2021, 28(1):101-108,117.
|
| [23] |
刘冬冬, 潘萍, 付佳, 等. 2000—2020年赣南植被覆盖时空变化特征及驱动因素[J]. 应用生态学报, 2023, 34(11):2919-2928.
doi: 10.13287/j.1001-9332.202311.023 |
| [24] |
王兴丽, 蒋友严, 张翼飞, 等. 2001—2020年甘南高原植被变化特征及驱动因素[J]. 草业科学, 2023, 40(9):2185-2198.
|
| [25] |
刘智源, 李继红. 2000—2020年黑龙江省植被时空变化对气候因子响应[J]. 森林工程, 2024, 40(1):85-97.
|
| [26] |
徐建华. 现代地理学中的数学方法(第三版)[M]. 北京: 高等教育出版社,2017:73-78.
|
| [27] |
柴文雯, 贾夏, 赵永华, 等. 黄土高原人类活动强度与植被覆盖的时空关联[J]. 生态学报, 2024, 44(15):6708-6721.
|
| [28] |
侯婉, 侯西勇, 董婷. 1999—2020年中国沿海植被覆盖多时空尺度变化特征[J]. 生态学报, 2024, 44(16):7249-7263.
|
| [29] |
张彬, 朱建军, 刘华民, 等. 极端降水和极端干旱事件对草原生态系统的影响[J]. 植物生态学报, 2014, 38(9):1008-1018.
doi: 10.3724/SP.J.1258.2014.00095 |
| [30] |
王晓利, 侯西勇. 1982—2014年中国沿海地区归一化植被指数(NDVI)变化及其对极端气候的响应[J]. 地理研究, 2019, 38(4):807-821.
doi: 10.11821/dlyj020180111 |
| [1] | LIU Yeqiong, OU Aijia, DONG Xingyuan, LI Bing, SUN Pengpeng. Influence of Different Sowing and Planting Periods on Growth of Yellow Onion in Hilly Areas of Southern Jiangsu [J]. Chinese Agricultural Science Bulletin, 2026, 42(5): 62-68. |
| [2] | WANG Ying, LI Lu, ZHU Jiayi, JIA Yuanyuan, GAO Qi, HU Zhichao. Research on Identification and Yield Estimation of Artificial Alfalfa in Green-up Period in Hohhot Based on Satellite Remote Sensing [J]. Chinese Agricultural Science Bulletin, 2026, 42(3): 125-132. |
| [3] | WANG Jun, ZUO Xi, QIU Jingtao, YANG Wuguang, QIAN Chencheng. Differences Analysis of Agronomic Traits and Yield of Different Wheat Varieties Under Late-Sowing Conditions [J]. Chinese Agricultural Science Bulletin, 2026, 42(2): 25-31. |
| [4] | REN Chunmei, GUO Sisi, WANG Haitao, CHENG Zhaobang, LU Fang, YANG Liu, JI Yinghua. Isolation and Identification of Pathogenic Fungi Causing Sorghum Anthracnosis in Jiangsu Province [J]. Chinese Agricultural Science Bulletin, 2025, 41(31): 95-101. |
| [5] | XU Yu, XU Zhiqiang, YAN Weihui, LI Jiajia, HUANG Hongbing, LI Xuguang, LIU Yuanzhu, PAN Jianlin. Genetic Diversity Analysis of Seven Natural Populations of Procambarus clarkii from Jiangsu Province Based on Whole-Genome SNP Variations [J]. Chinese Agricultural Science Bulletin, 2025, 41(17): 144-151. |
| [6] | WANG Miaomiao, WANG Beibei, LI Mingfang, ZHANG Zhihong, YAN Xue. Research Progress on Winter Wheat Growth Period Recognition Methods [J]. Chinese Agricultural Science Bulletin, 2025, 41(1): 1-7. |
| [7] | CHEN Chang, LIU Xingli, JIANG Lixia, LOU Dejun, WANG Yongchao, ZHU Yumei, LI Yi, LI Wenjing. Study on Relationship Between Meteorological Factors and Grain Crops in Drought-Prone Areas of Songnen Plain from 1971 to 2020 [J]. Chinese Agricultural Science Bulletin, 2024, 40(29): 103-112. |
| [8] | MENG Qinghao, RU Yan, ZHANG Ying, WANG Chen, WEN Ya, FA Xiaotong, ZHANG Hao. Research Progress on Spatio-Temporal Characteristics and Driving Factors of Water Footprint for Rice Production in China [J]. Chinese Agricultural Science Bulletin, 2024, 40(27): 52-59. |
| [9] | YIN Jiaqi, ZHANG Mei, LUO Jianyu, CHEN Yuguang, YANG Xinhong, DONG Yuxin. Study on Relationship Between Coix Seed Vegetation Index and Meteorological Factors at Pixel Scale [J]. Chinese Agricultural Science Bulletin, 2024, 40(26): 66-72. |
| [10] | ZHU Shengcui, LI Guoting, WEI Yonglin, MA Fulin, JIN Xianling, CAO Yingmin. Study on Predicting Models of Grass Yield in North Shore of Qinghai Lake [J]. Chinese Agricultural Science Bulletin, 2023, 39(25): 109-115. |
| [11] | CHEN Wei, SONG Jinhua, XIA Zhonghua, JIN Yangang, LIU Hailang, WEI Wanjuan, ZHAO Qibing, REN Yangtao, YANG Yongle, CHANG Dongwei, LI Zhenfu, ZHANG Fan, ZHENG Yayue, XIE Mengping. Japonica Rice Varieties in Jiangsu Province: Yield Components Analysis and Correlation Analysis Between Disease Resistance and Yield [J]. Chinese Agricultural Science Bulletin, 2023, 39(24): 13-17. |
| [12] | GUAN Yafang, JIAO Yang, ZANG Chuanfu. Land Use Change in Hanjiang River Basin: Spatio-temporal Characteristics and Its Ecological Security Assessment [J]. Chinese Agricultural Science Bulletin, 2023, 39(20): 91-99. |
| [13] | LI Zipeng, OU Xiangjun, ZHU Jie, ZHOU Beibei, QIAN Jialin, ZHU Huxiao. The Coordinated Development of Population and Land Urbanization in Jiangsu Province [J]. Chinese Agricultural Science Bulletin, 2022, 38(8): 157-164. |
| [14] | FAN Ting, ZHAO Kaimin, LIU Mingmin, YANG Didi, DING Jinfeng, ZHU Min, LI Chunyan, ZHU Xinkai, GUO Wenshan. Characteristics of Production Measures and Benefits of Wheat After Rice in the Central Area of Jiangsu Province: Investigation and Analysis [J]. Chinese Agricultural Science Bulletin, 2022, 38(32): 155-164. |
| [15] | MA Shengzhou, ZHAO Fei, HU Ying, YUAN Xingxing, YANG Yiyang. Tea Cultivars from the Hilly Areas of Jiangsu Province: Suitability for Black Tea Processing [J]. Chinese Agricultural Science Bulletin, 2022, 38(26): 32-38. |
| Viewed | ||||||
|
Full text |
|
|||||
|
Abstract |
|
|||||