中国农学通报 ›› 2025, Vol. 41 ›› Issue (29): 146-156.doi: 10.11924/j.issn.1000-6850.casb2015-0120
张鹏辉1,2(
), 曾春晓2, 柯景2, 陈晓雯2, 王军2, 严欣1, 陈丽婷1(
), 王成辉2(
)
收稿日期:2025-02-24
修回日期:2025-07-16
出版日期:2025-10-15
发布日期:2025-10-22
通讯作者:
作者简介:张鹏辉,男,1999年出生,安徽淮南人,硕士,研究方向:不同体色瓯江彩鲤与青灰色野鲤的杂交效果分析。通信地址:201306 上海市浦东新区临港新城镇沪城环路999号 上海海洋大学,E-mail:1343095042@qq.com。
基金资助:
ZHANG Penghui1,2(
), ZENG Chunxiao2, KE Jing2, CHEN Xiaowen2, WANG Jun2, YAN Xin1, CHEN Liting1(
), WANG Chenghui2(
)
Received:2025-02-24
Revised:2025-07-16
Published:2025-10-15
Online:2025-10-22
摘要:
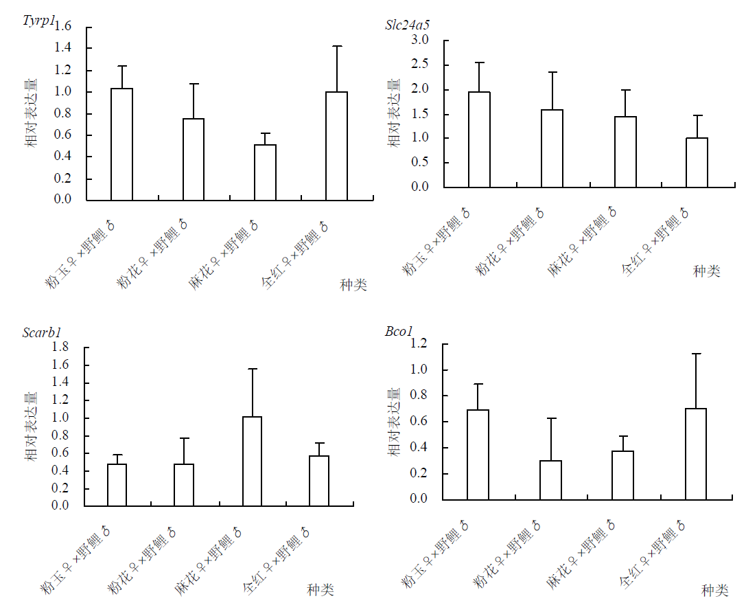
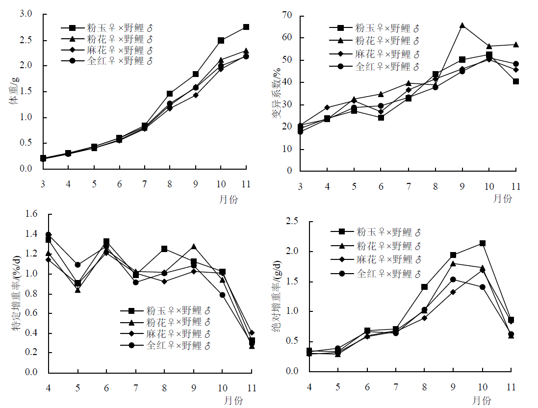
本研究旨在比较4种体色瓯江彩鲤(Cyprinus carpio var. color)与青灰色野鲤(Cyprinus carpio)杂交后代的生长性能、体色特征、血液生理指标及肌肉营养品质差异,为瓯江彩鲤鱼的配套系育种及种质资源利用提供理论依据。采用巢式杂交设计,以4种体色瓯江彩鲤(“全红”、“麻花”、“粉玉”和“粉花”)为母本、青灰色野鲤为父本构建杂交组合。通过同池混养标记评估杂交子代的生长性能,统计了外部形态的可数性状。采用显微观察法比较了杂交子代的皮肤色素细胞数量和大小,应用荧光定量PCR技术检测了体色相关基因在皮肤组织中的表达水平。通过全自动生化分析仪测定了常氧和低氧胁迫下的血液生理指标;使用氨基酸自动分析仪检测背部肌肉中氨基酸的种类和含量,并使用气相色谱-质谱法测定了肌肉中的脂肪酸组成和含量。结果表明:粉玉♀×野鲤♂组合的生长优势显著,试验末体重、绝对增重率与特定增重率均显著高于其他组合(P<0.05),且体重变异系数最低,养殖存活率最高;各杂交组合在12个可数形态性状上均无显著差异(P>0.05);所有杂交组合的外观体色表型均为青灰色,与杂交父本类似,但粉玉♀×野鲤♂杂交组合的黑色素细胞数量最多,而红色素细胞数量最少,与其他杂交组合存在显著差异(P<0.05);2个黑色素合成相关基因(Tyrp1、Slc24a5)和2个类胡萝卜素相关基因(Bco1、Scarb1)在4个杂交组合的皮肤组织均无显著的表达差异(P>0.05);4个杂交组合在常氧和低氧状态下,血液中相关酶活性呈现明显分化,但低氧胁迫后的粉玉♀×野鲤♂杂交组合的存活率明显高于其他组合;所有杂交组合肌肉中,6种风味氨基酸含量占46%以上,全红♀×野鲤♂杂交组合的粗脂肪含量及DHA+EPA总量显著高于其他组合(P<0.05)。综上,“粉玉”体色瓯江彩鲤具有较强的配合力和母本效应,是开展鲤配套系育种的良好遗传材料。
张鹏辉, 曾春晓, 柯景, 陈晓雯, 王军, 严欣, 陈丽婷, 王成辉. 不同体色瓯江彩鲤与青灰色野鲤的杂交效果分析[J]. 中国农学通报, 2025, 41(29): 146-156.
ZHANG Penghui, ZENG Chunxiao, KE Jing, CHEN Xiaowen, WANG Jun, YAN Xin, CHEN Liting, WANG Chenghui. Analysis of Hybridization Effects Between Oujiang Color Common Carps with Different Body Colors and Wild Common Carp[J]. Chinese Agricultural Science Bulletin, 2025, 41(29): 146-156.
| 基因 | 正向引物(5′-3′) | 反向引物(5′-3′) |
|---|---|---|
| 18S rRNA | GAGTATGGTTGCAAAGCTGAAAC | AATCTGTCAATCCTTTCCGTGTCC |
| Scarb1 | GAGTGGGTACATTGATGCCC | GGGGATCATCCTTCCTACAT |
| Bco1 | GATGTGACAGGCTCCATCCC | CTTGCAGGGATCTGGATAAACC |
| Slc24a5 | CAGCGGTCTGGTCTTCATG | TCGGGAACAATCCCATCCG |
| Tyrp1 | TGTGACACCAGAAGGTCTGC | CGAAGTGGCCATCGTTCTCT |
| 基因 | 正向引物(5′-3′) | 反向引物(5′-3′) |
|---|---|---|
| 18S rRNA | GAGTATGGTTGCAAAGCTGAAAC | AATCTGTCAATCCTTTCCGTGTCC |
| Scarb1 | GAGTGGGTACATTGATGCCC | GGGGATCATCCTTCCTACAT |
| Bco1 | GATGTGACAGGCTCCATCCC | CTTGCAGGGATCTGGATAAACC |
| Slc24a5 | CAGCGGTCTGGTCTTCATG | TCGGGAACAATCCCATCCG |
| Tyrp1 | TGTGACACCAGAAGGTCTGC | CGAAGTGGCCATCGTTCTCT |
| 粉玉♀×野鲤♂ | 全红♀×野鲤♂ | 麻花♀×野鲤♂ | 粉花♀×野鲤♂ | |
|---|---|---|---|---|
| 放养规格/g | 20.66±4.00 | 19.24±3.41 | 20.95±4.36 | 20.99±4.34 |
| 试验末体重/g | 275.18±111.28a | 219.07±106.19b | 219.43±100.22b | 230.31±131.55b |
| 变异系数/% | 40.43 | 48.47 | 45.67 | 57.12 |
| 成活率/% | 76.35 | 66.88 | 65.10 | 72.11 |
| 绝对增重率/(g/d) | 1.02a | 0.80b | 0.80b | 0.84b |
| 特定增重率/(%/d) | 1.04a | 0.98b | 0.94b | 0.96b |
| 粉玉♀×野鲤♂ | 全红♀×野鲤♂ | 麻花♀×野鲤♂ | 粉花♀×野鲤♂ | |
|---|---|---|---|---|
| 放养规格/g | 20.66±4.00 | 19.24±3.41 | 20.95±4.36 | 20.99±4.34 |
| 试验末体重/g | 275.18±111.28a | 219.07±106.19b | 219.43±100.22b | 230.31±131.55b |
| 变异系数/% | 40.43 | 48.47 | 45.67 | 57.12 |
| 成活率/% | 76.35 | 66.88 | 65.10 | 72.11 |
| 绝对增重率/(g/d) | 1.02a | 0.80b | 0.80b | 0.84b |
| 特定增重率/(%/d) | 1.04a | 0.98b | 0.94b | 0.96b |
| 粉玉♀×野鲤♂ | 全红♀×野鲤♂ | 麻花♀×野鲤♂ | 粉花♀×野鲤♂ | |
|---|---|---|---|---|
| 单位面积黑色素细胞数量/个 | 65.77±12.07a | 42.80±6.93c | 58.00±11.73b | 42.83±6.18c |
| 黑色素细胞大小/μm² | 2426.5±441.03a | 1926.66±414.06b | 1594.18±457.58b | 2768.63±678.70a |
| 单位面积红色素细胞数量/个 | 15.84±4.29c | 18.54±5.59b | 22.58±7.77a | 22.67±8.81a |
| 红色素细胞大小/μm² | 97.31±35.24a | 98.34±32.56a | 79.07±24.59b | 78.92±22.34b |
| 粉玉♀×野鲤♂ | 全红♀×野鲤♂ | 麻花♀×野鲤♂ | 粉花♀×野鲤♂ | |
|---|---|---|---|---|
| 单位面积黑色素细胞数量/个 | 65.77±12.07a | 42.80±6.93c | 58.00±11.73b | 42.83±6.18c |
| 黑色素细胞大小/μm² | 2426.5±441.03a | 1926.66±414.06b | 1594.18±457.58b | 2768.63±678.70a |
| 单位面积红色素细胞数量/个 | 15.84±4.29c | 18.54±5.59b | 22.58±7.77a | 22.67±8.81a |
| 红色素细胞大小/μm² | 97.31±35.24a | 98.34±32.56a | 79.07±24.59b | 78.92±22.34b |
| 状态 | 指标 | 粉玉♀×野鲤♂ | 全红♀×野鲤♂ | 麻花♀×野鲤♂ | 粉花♀×野鲤♂ |
|---|---|---|---|---|---|
| 常氧状态(DO值7.00 mg/L) | 可溶性蛋白含量Cpr/(mg/mL) | 36.19±2.77 | 36.31±0.27 | 37.26±0.38 | 36.81±1.73 |
| SOD活性/(U/mL) | 54.54±16.46ab | 35.26±9.91b | 92.27±26.71a | 64.69±8.23a | |
| CAT/(U/mL) | 33.81±2.61a | 23.87±1.38b | 20.35±4.64b | 26.32±5.99ab | |
| ALP/(U/mL) | 11.27±1.36b | 15.53±15.05ab | 22.53±14.32ab | 26.33±8.49a | |
| AST(U/mL) | 112.19±9.49 | 103.33±3.54 | 111.84±6.14 | 101.99±5.10 | |
| ALT/(U/mL) | 78.04±1.19 | 77.71±1.04 | 81.49±1.60 | 78.68±0.83 | |
| ADH/(U/mL) | 49.30±12.17ab | 37.51±5.65b | 50.37±4.91a | 46.62±5.80ab | |
| MDA含量/(nmol/mL) | 1.59±0.21 | 1.63±0.17 | 1.56±0.14 | 1.58±0.17 | |
| 低氧状态(DO值0.29 mg/L) | 可溶性蛋白含量Cpr/(mg/mL) | 30.47±1.85 | 33.04±3.44 | 34.26±1.74 | 33.04±2.46 |
| SOD活性/(U/mL) | 53.44±6.55b | 85.70±27.92ab | 67.64±29.03ab | 95.18±11.08a | |
| CAT/(U/mL) | 37.79±19.09ab | 28.92±10.25b | 30.60±2.53b | 53.70±7.29a | |
| ALP/(U/mL) | 8.42±0.94b | 8.01±2.10b | 25.91±15.11a | 24.46±8.17a | |
| AST/(U/mL) | 102.56±1.75 | 105.89±12.47 | 106.80±6.06 | 104.35±7.49 | |
| ALT/(U/mL) | 80.76±0.50 | 81.89±1.23 | 81.86±2.81 | 79.88±1.67 | |
| ADH/(U/mL) | 42.87±1.86 | 38.58±15.33 | 50.37±12.17 | 47.15±13.09 | |
| MDA含量/(nmol/mL) | 1.53±0.21 | 1.43±0.09 | 1.45±0.19 | 1.89±0.27 | |
| 存活率/% | 97.50 | 75.00 | 57.50 | 87.50 | |
| 状态 | 指标 | 粉玉♀×野鲤♂ | 全红♀×野鲤♂ | 麻花♀×野鲤♂ | 粉花♀×野鲤♂ |
|---|---|---|---|---|---|
| 常氧状态(DO值7.00 mg/L) | 可溶性蛋白含量Cpr/(mg/mL) | 36.19±2.77 | 36.31±0.27 | 37.26±0.38 | 36.81±1.73 |
| SOD活性/(U/mL) | 54.54±16.46ab | 35.26±9.91b | 92.27±26.71a | 64.69±8.23a | |
| CAT/(U/mL) | 33.81±2.61a | 23.87±1.38b | 20.35±4.64b | 26.32±5.99ab | |
| ALP/(U/mL) | 11.27±1.36b | 15.53±15.05ab | 22.53±14.32ab | 26.33±8.49a | |
| AST(U/mL) | 112.19±9.49 | 103.33±3.54 | 111.84±6.14 | 101.99±5.10 | |
| ALT/(U/mL) | 78.04±1.19 | 77.71±1.04 | 81.49±1.60 | 78.68±0.83 | |
| ADH/(U/mL) | 49.30±12.17ab | 37.51±5.65b | 50.37±4.91a | 46.62±5.80ab | |
| MDA含量/(nmol/mL) | 1.59±0.21 | 1.63±0.17 | 1.56±0.14 | 1.58±0.17 | |
| 低氧状态(DO值0.29 mg/L) | 可溶性蛋白含量Cpr/(mg/mL) | 30.47±1.85 | 33.04±3.44 | 34.26±1.74 | 33.04±2.46 |
| SOD活性/(U/mL) | 53.44±6.55b | 85.70±27.92ab | 67.64±29.03ab | 95.18±11.08a | |
| CAT/(U/mL) | 37.79±19.09ab | 28.92±10.25b | 30.60±2.53b | 53.70±7.29a | |
| ALP/(U/mL) | 8.42±0.94b | 8.01±2.10b | 25.91±15.11a | 24.46±8.17a | |
| AST/(U/mL) | 102.56±1.75 | 105.89±12.47 | 106.80±6.06 | 104.35±7.49 | |
| ALT/(U/mL) | 80.76±0.50 | 81.89±1.23 | 81.86±2.81 | 79.88±1.67 | |
| ADH/(U/mL) | 42.87±1.86 | 38.58±15.33 | 50.37±12.17 | 47.15±13.09 | |
| MDA含量/(nmol/mL) | 1.53±0.21 | 1.43±0.09 | 1.45±0.19 | 1.89±0.27 | |
| 存活率/% | 97.50 | 75.00 | 57.50 | 87.50 | |
| 营养成分 | 粉玉♀×野鲤♂ | 全红♀×野鲤♂ | 麻花♀×野鲤♂ | 粉花♀×野鲤♂ |
|---|---|---|---|---|
| 水分 | 76.80±0.60b | 73.30±0.17c | 77.57±0.06a | 75.80±0.62b |
| 粗脂肪 | 3.43±0.23c | 7.97±0.15a | 3.47±0.23c | 5.30±0.26b |
| 粗蛋白 | 17.80±0.46 | 17.27±0.51 | 16.90±0.20 | 16.90±0.36 |
| 粗灰分 | 0.32±0.04 | 0.32±0.03 | 0.27±0.02 | 0.28±0.04 |
| 营养成分 | 粉玉♀×野鲤♂ | 全红♀×野鲤♂ | 麻花♀×野鲤♂ | 粉花♀×野鲤♂ |
|---|---|---|---|---|
| 水分 | 76.80±0.60b | 73.30±0.17c | 77.57±0.06a | 75.80±0.62b |
| 粗脂肪 | 3.43±0.23c | 7.97±0.15a | 3.47±0.23c | 5.30±0.26b |
| 粗蛋白 | 17.80±0.46 | 17.27±0.51 | 16.90±0.20 | 16.90±0.36 |
| 粗灰分 | 0.32±0.04 | 0.32±0.03 | 0.27±0.02 | 0.28±0.04 |
| 种类 | 粉玉♀×野鲤♂ | 全红♀×野鲤♂ | 麻花♀×野鲤♂ | 粉花♀×野鲤♂ |
|---|---|---|---|---|
| 天冬氨酸Asp#& | 1.67±0.02 | 1.67±0.02 | 1.65±0.01 | 1.68±0.05 |
| 苏氨酸Thr* | 0.77±0.01 | 0.78±0.03 | 0.75±0.00 | 0.76±0.02 |
| 丝氨酸Ser# | 0.65±0.01 | 0.65±0.02 | 0.63±0.01 | 0.65±0.02 |
| 谷氨酸Glu#& | 2.30±0.01 | 2.26±0.07 | 2.33±0.06 | 2.35±0.01 |
| 甘氨酸Gly#& | 0.89±0.04 | 0.87±0.06 | 0.84±0.02 | 0.85±0.02 |
| 丙氨酸Ala#& | 1.01±0.03 | 0.99±0.02 | 0.98±0.01 | 0.99±0.03 |
| 胱氨酸Cys# | 0.10±0.00 | 0.09±0.01 | 0.09±0.01 | 0.11±0.01 |
| 缬氨酸Val* | 0.86±0.02 | 0.85±0.03 | 0.84±0.01 | 0.84±0.04 |
| 蛋氨酸Met* | 0.23±0.02b | 0.27±0.02a | 0.26±0.01a | 0.26±0.01a |
| 异亮氨酸IIe* | 0.77±0.01 | 0.76±0.02 | 0.77±0.02 | 0.77±0.03 |
| 亮氨酸Leu | 1.32±0.01 | 1.31±0.03 | 1.29±0.02 | 1.30±0.04 |
| 酪氨酸Tyr#& | 0.48±0.01 | 0.50±0.02 | 0.50±0.02 | 0.51±0.02 |
| 苯丙氨酸Phe* | 0.68±0.01 | 0.69±0.02 | 0.66±0.01 | 0.67±0.03 |
| 赖氨酸Lys* | 1.53±0.01 | 1.54±0.03 | 1.52±0.03 | 1.54±0.04 |
| 组氨酸His | 0.60±0.05 | 0.61±0.03 | 0.54±0.03 | 0.57±0.03 |
| 精氨酸Arg | 1.05±0.01 | 1.08±0.03 | 1.03±0.03 | 1.05±0.01 |
| 脯氨酸Pro# | 0.57±0.03 | 0.57±0.04 | 0.54±0.01 | 0.55±0.01 |
| TAA | 15.47±0.22 | 15.50±0.20 | 15.22±0.17 | 15.44±0.29 |
| EAA | 6.16±0.07 | 6.21±0.12 | 6.09±0.07 | 6.15±0.19 |
| NEAA | 7.66±0.11 | 7.61±0.08 | 7.56±0.08 | 7.68±0.09 |
| FAA | 6.35±0.08 | 6.30±0.04 | 6.29±0.07 | 6.38±0.08 |
| EAA/TAA/% | 0.40 | 0.40 | 0.40 | 0.40 |
| NEAA/TAA/% | 0.50 | 0.49 | 0.50 | 0.50 |
| FAA/TAA/% | 0.46 | 0.45 | 0.46 | 0.46 |
| 种类 | 粉玉♀×野鲤♂ | 全红♀×野鲤♂ | 麻花♀×野鲤♂ | 粉花♀×野鲤♂ |
|---|---|---|---|---|
| 天冬氨酸Asp#& | 1.67±0.02 | 1.67±0.02 | 1.65±0.01 | 1.68±0.05 |
| 苏氨酸Thr* | 0.77±0.01 | 0.78±0.03 | 0.75±0.00 | 0.76±0.02 |
| 丝氨酸Ser# | 0.65±0.01 | 0.65±0.02 | 0.63±0.01 | 0.65±0.02 |
| 谷氨酸Glu#& | 2.30±0.01 | 2.26±0.07 | 2.33±0.06 | 2.35±0.01 |
| 甘氨酸Gly#& | 0.89±0.04 | 0.87±0.06 | 0.84±0.02 | 0.85±0.02 |
| 丙氨酸Ala#& | 1.01±0.03 | 0.99±0.02 | 0.98±0.01 | 0.99±0.03 |
| 胱氨酸Cys# | 0.10±0.00 | 0.09±0.01 | 0.09±0.01 | 0.11±0.01 |
| 缬氨酸Val* | 0.86±0.02 | 0.85±0.03 | 0.84±0.01 | 0.84±0.04 |
| 蛋氨酸Met* | 0.23±0.02b | 0.27±0.02a | 0.26±0.01a | 0.26±0.01a |
| 异亮氨酸IIe* | 0.77±0.01 | 0.76±0.02 | 0.77±0.02 | 0.77±0.03 |
| 亮氨酸Leu | 1.32±0.01 | 1.31±0.03 | 1.29±0.02 | 1.30±0.04 |
| 酪氨酸Tyr#& | 0.48±0.01 | 0.50±0.02 | 0.50±0.02 | 0.51±0.02 |
| 苯丙氨酸Phe* | 0.68±0.01 | 0.69±0.02 | 0.66±0.01 | 0.67±0.03 |
| 赖氨酸Lys* | 1.53±0.01 | 1.54±0.03 | 1.52±0.03 | 1.54±0.04 |
| 组氨酸His | 0.60±0.05 | 0.61±0.03 | 0.54±0.03 | 0.57±0.03 |
| 精氨酸Arg | 1.05±0.01 | 1.08±0.03 | 1.03±0.03 | 1.05±0.01 |
| 脯氨酸Pro# | 0.57±0.03 | 0.57±0.04 | 0.54±0.01 | 0.55±0.01 |
| TAA | 15.47±0.22 | 15.50±0.20 | 15.22±0.17 | 15.44±0.29 |
| EAA | 6.16±0.07 | 6.21±0.12 | 6.09±0.07 | 6.15±0.19 |
| NEAA | 7.66±0.11 | 7.61±0.08 | 7.56±0.08 | 7.68±0.09 |
| FAA | 6.35±0.08 | 6.30±0.04 | 6.29±0.07 | 6.38±0.08 |
| EAA/TAA/% | 0.40 | 0.40 | 0.40 | 0.40 |
| NEAA/TAA/% | 0.50 | 0.49 | 0.50 | 0.50 |
| FAA/TAA/% | 0.46 | 0.45 | 0.46 | 0.46 |
| 脂肪酸 | 粉玉♀×野鲤♂ | 全红♀×野鲤♂ | 麻花♀×野鲤♂ | 粉花♀×野鲤♂ | ||||
|---|---|---|---|---|---|---|---|---|
| 豆蔻酸C14:0* | 150.33±16.65c | 350.33±11.15a | 141.30±19.01c | 206.33±25.58b | ||||
| 豆蔻油酸C14:1# | 50.00±86.60b | - | - | 117.80±203.80a | ||||
| 十五碳酸C15:0* | 53.67±2.31b | 99.00±13.11a | 47.00±5.20b | 64.33±2.31b | ||||
| 棕榈酸C16:0* | 4468.00±168.96c | 9259.00±188.09a | 3987.67±479.29c | 5677.00±423.29b | ||||
| 棕榈油酸C16:1# | 560.33±130.52b | 1526.33±206.29a | 514.67±128.22b | 766.67±201.24b | ||||
| 十七碳酸C17:0* | 22.71±39.20c | 123.33±22.37a | - | 72.67±1.53b | ||||
| 硬脂酸C18:0* | 1464.00±105.31c | 3072.67±149.70a | 1483.33±55.14c | 1981.33±205.73b | ||||
| 油酸C18:1n9c# | 9228.67±943.72b | 20247.33±2565.06a | 8386.67±1233.93b | 11475.00±1542.57b | ||||
| 亚油酸C18:2n6c& | 8441.67±267.40c | 14557±800.41a | 7206.33±610.38c | 9436.67±331.68b | ||||
| 花生酸C20:0* | 80.67±11.68b | 151.50±3.50a | 80.00±13.00b | 104.33±21.08b | ||||
| γ-亚麻酸C18:3n6& | 90.00±13.00c | 194.33±10.02a | 27.70±47.89d | 123.67±10.6b | ||||
| α-亚麻酸C18:3n3& | 704.67±32.58b | 1216±146.69a | 526.67±85.73c | 746.33±116.67bc | ||||
| 二十碳一烯酸C20:1# | 412.33±24.95c | 860.67±157.00a | 431.67±44.60c | 569.67±15.01b | ||||
| 二十碳二烯酸C20:2& | 272.33±41.20bc | 476.00±89.87a | 288.00±13.00c | 327.67±13.58b | ||||
| 二十二碳酸C22:0* | - | 25.00±43.30 | - | 22.70±39.30 | ||||
| 二十碳三烯酸C20:3n6& | 326.67±30.99c | 772.67±92.06a | 341.67±34.49c | 434±28.05b | ||||
| 二十碳三烯酸C20:3n3& | 74.00±29.31b | 102.00±12.49a | 76.67±9.29b | 104.67±45.00a | ||||
| 芥酸C22:1n9# | 61.00±19.00ab | 44.50±5.50b | 50.67±10.26ab | 92.50±24.50a | ||||
| 花生四烯酸C20:4n6& | 731.33±163.08b | 1453.00±383.25a | 840.67±197.79ab | 1011.67±321.16ab | ||||
| 二十二碳二烯酸C22:2& | - | - | - | 13.7±23.70 | ||||
| 二十碳五烯酸C20:5n3& | 60.67±10.69b | 102.00±9.85a | 49.00±5.29b | 58.00±6.00b | ||||
| 二十四碳单烯酸C24:1# | 16.00±27.71 | 64.33±6.03 | 50.00±14.14 | 54.00±20.95 | ||||
| 二十二碳六烯酸甲酯C22:6n3& | 554.33±153.43ab | 817.67±97.16a | 560.00±137.88ab | 564.33±123.38b | ||||
| ∑SFA | 6239.33±121.48c | 13030.33±82.03a | 5712.67±408.11c | 8128.67±225.55b | ||||
| ∑PUFA | 11255.67±486.71c | 19690.67±893.52a | 9916.67±341.87d | 12820.67±261.81b | ||||
| ∑MUFA | 10308.00±915.11bc | 22728.33±2929.37a | 9417.00±1322.21c | 13044.67±1489.26b | ||||
| (EPA+DHA) | 615.00±159.88b | 919.67±105.08a | 609.00±142.28b | 622.33±122.08b | ||||
| 脂肪酸 | 粉玉♀×野鲤♂ | 全红♀×野鲤♂ | 麻花♀×野鲤♂ | 粉花♀×野鲤♂ | ||||
|---|---|---|---|---|---|---|---|---|
| 豆蔻酸C14:0* | 150.33±16.65c | 350.33±11.15a | 141.30±19.01c | 206.33±25.58b | ||||
| 豆蔻油酸C14:1# | 50.00±86.60b | - | - | 117.80±203.80a | ||||
| 十五碳酸C15:0* | 53.67±2.31b | 99.00±13.11a | 47.00±5.20b | 64.33±2.31b | ||||
| 棕榈酸C16:0* | 4468.00±168.96c | 9259.00±188.09a | 3987.67±479.29c | 5677.00±423.29b | ||||
| 棕榈油酸C16:1# | 560.33±130.52b | 1526.33±206.29a | 514.67±128.22b | 766.67±201.24b | ||||
| 十七碳酸C17:0* | 22.71±39.20c | 123.33±22.37a | - | 72.67±1.53b | ||||
| 硬脂酸C18:0* | 1464.00±105.31c | 3072.67±149.70a | 1483.33±55.14c | 1981.33±205.73b | ||||
| 油酸C18:1n9c# | 9228.67±943.72b | 20247.33±2565.06a | 8386.67±1233.93b | 11475.00±1542.57b | ||||
| 亚油酸C18:2n6c& | 8441.67±267.40c | 14557±800.41a | 7206.33±610.38c | 9436.67±331.68b | ||||
| 花生酸C20:0* | 80.67±11.68b | 151.50±3.50a | 80.00±13.00b | 104.33±21.08b | ||||
| γ-亚麻酸C18:3n6& | 90.00±13.00c | 194.33±10.02a | 27.70±47.89d | 123.67±10.6b | ||||
| α-亚麻酸C18:3n3& | 704.67±32.58b | 1216±146.69a | 526.67±85.73c | 746.33±116.67bc | ||||
| 二十碳一烯酸C20:1# | 412.33±24.95c | 860.67±157.00a | 431.67±44.60c | 569.67±15.01b | ||||
| 二十碳二烯酸C20:2& | 272.33±41.20bc | 476.00±89.87a | 288.00±13.00c | 327.67±13.58b | ||||
| 二十二碳酸C22:0* | - | 25.00±43.30 | - | 22.70±39.30 | ||||
| 二十碳三烯酸C20:3n6& | 326.67±30.99c | 772.67±92.06a | 341.67±34.49c | 434±28.05b | ||||
| 二十碳三烯酸C20:3n3& | 74.00±29.31b | 102.00±12.49a | 76.67±9.29b | 104.67±45.00a | ||||
| 芥酸C22:1n9# | 61.00±19.00ab | 44.50±5.50b | 50.67±10.26ab | 92.50±24.50a | ||||
| 花生四烯酸C20:4n6& | 731.33±163.08b | 1453.00±383.25a | 840.67±197.79ab | 1011.67±321.16ab | ||||
| 二十二碳二烯酸C22:2& | - | - | - | 13.7±23.70 | ||||
| 二十碳五烯酸C20:5n3& | 60.67±10.69b | 102.00±9.85a | 49.00±5.29b | 58.00±6.00b | ||||
| 二十四碳单烯酸C24:1# | 16.00±27.71 | 64.33±6.03 | 50.00±14.14 | 54.00±20.95 | ||||
| 二十二碳六烯酸甲酯C22:6n3& | 554.33±153.43ab | 817.67±97.16a | 560.00±137.88ab | 564.33±123.38b | ||||
| ∑SFA | 6239.33±121.48c | 13030.33±82.03a | 5712.67±408.11c | 8128.67±225.55b | ||||
| ∑PUFA | 11255.67±486.71c | 19690.67±893.52a | 9916.67±341.87d | 12820.67±261.81b | ||||
| ∑MUFA | 10308.00±915.11bc | 22728.33±2929.37a | 9417.00±1322.21c | 13044.67±1489.26b | ||||
| (EPA+DHA) | 615.00±159.88b | 919.67±105.08a | 609.00±142.28b | 622.33±122.08b | ||||
| [1] |
农业农村部渔业渔政管理局,全国水产技术推广总站,中国水产学会. 中国渔业统计年鉴2024[M]. 北京: 中国农业出版社, 2024.
|
| [2] |
|
| [3] |
程起群, 王成辉, 李思发, 等. 不同体色瓯江彩鲤生长率和存活率的差异研究[J]. 水产科技情报, 2001(2):56-58,63.
|
| [4] |
朱丽艳, 马玉清, 项松平, 等. 不同体色瓯江彩鲤生长动态的观察与分析[J]. 上海海洋大学学报, 2013, 22(3):341-348.
|
| [5] |
钱永生, 陈红林, 杜金星, 等. 4种体色瓯江彩鲤的生长,摄食和呼吸特性差异及其相关性分析[J]. 中国水产科学, 2019, 26(4):695-702.
|
| [6] |
罗文韬. 不同体色福瑞鲤生长、酶活及基因表达差异比较分析[D]. 南京: 南京农业大学, 2020.
|
| [7] |
傅建军, 朱文彬, 罗文韬, 等. 不同体色鲤的生长、酪氨酸酶活性、黑色素含量及基因表达比较[J]. 中国水产科学, 2021, 28(8):939-947.
|
| [8] |
公翠萍. 不同体色红罗非鱼生长性能比较及遗传多样性研究[D]. 南京: 南京农业大学, 2015.
|
| [9] |
佟雪红, 鲍成满, 汤新慧, 等. 不同体色牙鲆生长性状的通径分析[J]. 湖北农业科学, 2016, 55(16):4230-4233.
|
| [10] |
陈芳, 杨代勤, 苏应兵. 3种不同体色黄鳝生长速度的比较[J]. 长江大学学报(自然科学版)农学卷, 2009, 6(3):33-34,38,111.
|
| [11] |
郭风英, 周鑫, 赵朝阳, 等. 2种不同体色的克氏原螯虾卵巢发育及生长特性研究[J]. 海洋湖沼通报, 2012(2):89-96.
|
| [12] |
叶玉珍. 丰鲤的应用推广及其经济效益[J]. 水利渔业, 1988(1):22-24.
|
| [13] |
刘筠, 陈淑群, 王义铣, 等. 荷包红鲤♂×湘江野鲤♀杂交一代的研究及其在生产上的应用[J]. 湖南师范大学自然科学学报, 1979(1):1-14.
|
| [14] |
马仲波, 张兴忠, 仇潜如, 等. 元江鲤与荷包红鲤的生态类型及其杂交后代(荷元鲤)经济性状的分析[J]. 水产学报, 1981(3):187-198.
|
| [15] |
张建森, 孙小异. 建鲤综合育种技术的公开和分析[J]. 中国水产, 2006(9):69-72.
|
| [16] |
郭珺, 陈小玉, 史秀兰, 等. 不同体色锦鲤自交及红白♀×福瑞鲤2号♂杂交子代的生长与形态分析[J]. 水产养殖, 2024, 45(8):1-6.
|
| [17] |
毕详, 项松平, 王剑, 等. 瓯江彩鲤配套选育系繁殖性状的配合力测定与杂交优势分析[J]. 中国水产科学, 2012, 19(5):775-783.
|
| [18] |
张永德, 林勇, 唐章生, 等. 尼奥罗非鱼杂交配套系耐寒和生长性能的选育[J]. 广西师范大学学报(自然科学版), 2012, 30(4):92-97.
|
| [19] |
吴廉, 慈元吉, 黄姝, 等. 中华绒螯蟹配套系育种群体与野生群体的遗传比较与选择压力分析[J]. 中国水产科学, 2015, 22(2):204-213.
|
| [20] |
毕详, 季强, 江芝娟. 团头鲂优势配套系1龄至2龄阶段生长性能分析[J]. 水产科技情报, 2019, 46(6):320-323.
|
| [21] |
|
| [22] |
姜鹏飞, 侯鑫, 王军, 等. 中华绒螯蟹Scarb1基因功能及其与生长性状的关联分析[J]. 水产学报, 2023, 47(1):175-184.
|
| [23] |
林明雪, 杨洁, 岳武成, 等. “吉富”系列罗非鱼生长性状的配合力、杂种优势与遗传相关分析[J]. 南方水产科学, 2016, 12(2):1-6.
|
| [24] |
王芙燕, 柯景, 陈晓雯, 等. 非直接选育对瓯江彩鲤形态性状的影响[J]. 水产科技情报, 2024, 51(3):137-143.
|
| [25] |
|
| [26] |
|
| [27] |
|
| [28] |
吴雷明, 韩光明, 覃宝利, 等. 稻前减饲对小龙虾生长性能、组织生理指标及肌肉营养成分的影响[J]. 动物营养学报, 2023, 35(9):5931-5941.
doi: 10.12418/CJAN2023.544 |
| [29] |
张圣杰, 周康奇, 潘贤辉, 等. 多棱角螺腹足和内脏团营养成分及风味物质分析[J]. 淡水渔业, 2024, 54(6):87-95.
|
| [30] |
刘世禄, 王波, 张锡烈, 等. 美国红鱼的营养成分分析与评价[J]. 海洋水产研究, 2002(2):25-32.
|
| [31] |
盛晓风, 孙晓杰, 丁海燕, 等. 七种养殖淡水鱼类肌肉营养组成及对比研究[J]. 食品工业科技, 2016, 37(3):359-363.
|
| [32] |
曹平, 宋炜, 陈佳, 等. 闽东海域棘头梅童鱼肌肉营养成分分析与评价[J]. 海洋渔业, 2021, 43(4):453-463.
|
| [33] |
刘旭. 鱼类肌肉品质综合研究[D]. 厦门: 厦门大学, 2007.
|
| [34] |
王煜坤, 李来好, 郝淑贤, 等. 不同部位西伯利亚鲟鱼肉的营养成分分析[J]. 食品工业科技, 2018, 39(21):207-211,217.
|
| [35] |
pmid: 9453503 |
| [36] |
|
| [1] | 段永强, 刘洪岩, 王明华, 钟立强, 苏超凡, 刘炬, 陈校辉, 张世勇. 盐度胁迫对斑点叉尾鮰幼鱼生长及组织酶活性的影响[J]. 中国农学通报, 2025, 41(5): 143-150. |
| [2] | 相微微, 王雨司, 彭军, 王建武, 陈花. 2株根际促生菌对水稻营养品质的影响[J]. 中国农学通报, 2025, 41(3): 158-164. |
| [3] | 吕沣铄, 陈铭, 董晓庆, 孔雨昕, 牛小天, 陈秀梅, 王桂芹. 施肥对池塘水质、浮游生物种群结构及鲢鳙生长性能的影响[J]. 中国农学通报, 2025, 41(28): 146-154. |
| [4] | 秘翌彤, 张晓影, 王宽豪, 高金旭, 孙鑫博. 基于遥感技术的作物生产研究进展[J]. 中国农学通报, 2025, 41(27): 149-156. |
| [5] | 齐儒春, 王静, 张晋美, 刘吉利, 孙豪杰. 宁夏引黄灌区盐碱地耐盐青贮玉米品种筛选[J]. 中国农学通报, 2025, 41(24): 20-29. |
| [6] | 朱卫国, 王芬, 陈祝, 宋光同, 徐笑娜, 周翔, 苏友风, 朱成骏, 方国侠, 吴昊, 汪美, 蒋业林. 养殖模式对中华鳖生长、脂肪酸价值以及质构的影响[J]. 中国农学通报, 2025, 41(24): 144-150. |
| [7] | 孟凡奇, 李轲, 王清, 刘勇鹏, 马春业, 孙健, 黄大华, 刘志坚, 张勇跃. 兼用型甘薯贮藏期品质变化[J]. 中国农学通报, 2025, 41(23): 139-144. |
| [8] | 韩成卫, 郝福庭, 付贵林, 薛法新, 张岩, 宋春林, 吴秋平, 蒋飞. 不同施肥方式对糯玉米产量品质、土壤肥力及经济效益的影响[J]. 中国农学通报, 2025, 41(22): 7-12. |
| [9] | 王恒杰, 戴梦杨, 王倩, 熊信宇, 王灿莉, 袁向阳. 环境胁迫因子对鱼类健康影响的研究进展[J]. 中国农学通报, 2025, 41(2): 157-164. |
| [10] | 文俊丽, 陈琴, 郭元元, 张力, 李洋, 康德贤, 宋焕忠, 陈振东. 栽培方式对空心菜生长和品质的影响[J]. 中国农学通报, 2025, 41(18): 65-74. |
| [11] | 周翰林, 吴春, 张高伟, 王宣朋. MABR膜对比微生态制剂对河蟹池塘水质及其营养品质的影响[J]. 中国农学通报, 2024, 40(32): 157-164. |
| [12] | 田素波, 陈维安, 国艳春, 林桂玉, 祝海燕, 孟德来, 魏宏, 李金育, 辛晓菲, 亓烨, 王凯燕, 李英杰, 汤砚岗. 低温弱光诱抗水溶肥对秋冬茬沙培番茄生长与产量的影响[J]. 中国农学通报, 2024, 40(28): 24-29. |
| [13] | 刘永士, 徐嘉波, 施永海, 刘建忠, 贾垂攀, 王建军. 长吻鮠池塘大棚越冬养殖试验[J]. 中国农学通报, 2024, 40(27): 152-158. |
| [14] | 李华健, 邓国军, 罗贞媛, 农全东, 李春情, 农彬, 陈碧钦, 胡校章, 刘娜, 文和明. 间作模式对红壤理化性质和大豆品质的影响[J]. 中国农学通报, 2024, 40(26): 8-14. |
| [15] | 朱吉童, 徐颖超, 薛舒丹, 孟琦涛, 谢大森, 江彪, 郭巨先, 钟玉娟. 基于广泛靶向代谢组学的菜心代谢物综合分析[J]. 中国农学通报, 2024, 40(25): 36-47. |
| 阅读次数 | ||||||
|
全文 |
|
|||||
|
摘要 |
|
|||||