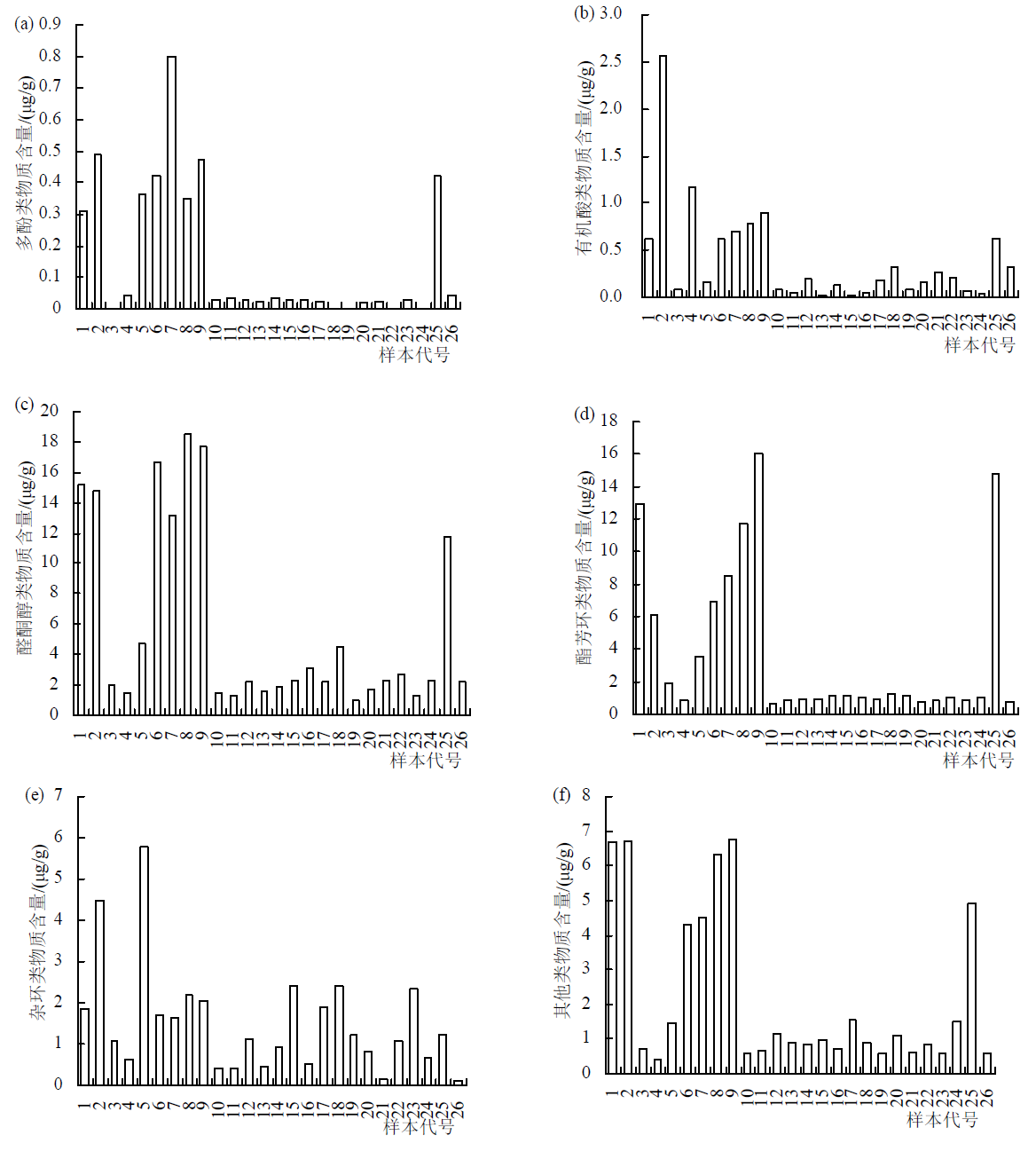
| [1] |
李鹏, 吴鸣, 谢剑平. 白肋烟中一些重要碱性成分和羰基化合物的分析研究[J]. 中国烟草学报, 2002, 8(1):1-6.
|
| [2] |
SUN S H, XIE J P, XIE F W, et al. Determination of volatile organic acids in oriental tobacco by needle-based derivatization headspace liquid-phase microextraction coupled to gas chromatography/mass spectrometry[J]. Journal of chromatography A, 2008(1179):89-95.
|
| [3] |
吴兴富, 焦芳婵, 陈学军, 等. 清香型烟叶产区基因型选择[J]. 中国烟草学报, 2019, 25(2):29-39.
|
| [4] |
许美玲. 不同类型晾晒烟种质资源的化学成分和几种致香成分分析[J]. 中国烟草学报, 2020, 26(4):56-66.
|
| [5] |
艾明欢, 杨菁, 沈轶, 等. TG-FTIR联用研究HnB烟草基质在400℃以下的热解特性和气相产物[J]. 中国烟草学报, 2020, 26(1):8-14.
|
| [6] |
贺英, 徐海涛, 盛志艺, 等. 综合方法对烤烟化学成分和烟气组分的相关分析[J]. 中国烟草科学, 2025(4):1-4.
|
| [7] |
茅中一, 周培琛, 章雪锋, 等. 福建尤溪烟叶香韵风格的感官辅助凝胶色谱分析[J]. 中国烟草学报, 2020, 26(5):25-29.
|
| [8] |
梁盟, 王程栋, 宋文静, 等. 贵州中部山区生态因子与烤烟生物碱含量及组分的相关分析[J]. 中国烟草科学, 2016, 37(1):51-55.
|
| [9] |
杨德廉, 王树生, 王宝华, 等. 烟草中氨基酸变化规律及其与烟叶品质关系研究进展[J]. 中国烟草科学, 1998(3):11-13.
|
| [10] |
马云飞, 尹启生, 张艳玲, 等. 我国浓香型烟区土壤腐殖质组成特征[J]. 中国烟草科学, 2011, 32(5):10-13.
|
| [11] |
李晓阳, 陈爱国, 庞夙, 等. 四川不同产地烟叶中黄酮类物质的代谢特征比较[J]. 烟草科技, 2024, 57(6):33-42.
|
| [12] |
UCHIYAMA S, NOGUCHI M, TAKAGI N, et al. Simple determination of gaseous and particulate compounds generated from heated tobacco products[J]. Chemical research in toxicology, 2018(31):585-593.
|
| [13] |
MITSUI K, DAVID F, DUMONT E, et al. LC fractionation followed by pyrolysis GC-MS for the in-depth study of aroma compounds formed during tobacco combustion[J]. Journal of analytical and applied pyrolysis, 2015(116):68-74.
|
| [14] |
STANFILL S B, SILVA A, LISKO J G, et al. Comprehensive chemical characterization of rape tobacco products: nicotine, un-ionized nicotine, tobacco-specific N′-nitrosamines, polycyclic aromatic hydrocarbons, and flavor constituents[J]. Food and chemical toxicology, 2015(82):50-58.
|
| [15] |
YING T Y, WEI W, WEN J, et al. Chinese cigar tourists to Cuba: a motivation-based segmentation[J]. Journal of destination marketing & management, 2018(10):112-121.
|
| [16] |
ZHANG H, JIN J J, XU G Y, et al. Reconstruction of the full-length transcriptome of cigar tobacco without a reference genome and characterization of anion channel/transporter transcripts[J]. BMC plant biology, 2021, 21(299):1-12.
|
| [17] |
WANG Y, LV H, XIANG X, et al. Construction of a SNP fingerprinting database and population genetic analysis of cigar tobacco germplasm resources in China[J]. Frontiers in plant science, 2021, 12(618133):1-12.
|
| [18] |
ZHOU T, ZHOU S D, CHEN Y, et al. Next-generation sequencing identification and multiplex RT-PCR detection for viruses infecting cigar and flue-cured tobacco[J]. Molecular biology reports, 2022(49):237-247.
|
| [19] |
GUO H, HE X, ZHANG H, et al. Physiological responses of cigar tobacco crop to nitrogen deficiency and genome-wide characterization of the NtNPF family genes[J]. Plants-basel, 2022, 11(3064):1-21.
|
| [20] |
YANG R, YANG J, YU J, et al. Effects of different nitrogen application rates on the quality and metabolomics of cigar tobacco[J]. Agronomy journal, 2022(114):1155-1167.
|
| [21] |
余垚颖, 张蕾, 刘勇, 等. 酸性物质对微碱性土壤pH和烟叶产质量的影响[J]. 中国农学通报, 2025, 41(4):10-18.
doi: 10.11924/j.issn.1000-6850.casb2024-0104
|
| [22] |
叶田会, 杨雪, 姜超强, 等. 攀枝花不同海拔烟区烟叶质量比较[J]. 中国农学通报, 2025, 41(4):144-148.
doi: 10.11924/j.issn.1000-6850.casb2024-0238
|
| [23] |
刘娇, 胡星, 黄晓霞, 等. ‘云烟116’和‘云烟300’在广西河池烟区的种植适应性[J]. 中国农学通报, 2025, 41(7):22-28.
doi: 10.11924/j.issn.1000-6850.casb2024-0408
|
| [24] |
李志星, 祝富祥, 邱磊, 等. 国产雪茄烟叶发酵过程中部分不良挥发性成分与微生物菌群变化的关联性[J]. 烟草科技, 2024, 57(7):21-32.
|
| [25] |
宗国浩, 叶远青, 冯伟华, 等. 基于多源异构的烟用香原料数据集构建[J]. 烟草科技, 2024, 57(1):104-112.
|