| [1] |
WALLER G R, FEATHER M S. The Maillard reaction in foods and nutrition[M]. American chemical society, 1983.
|
| [2] |
王红瑞, 谢媛媛, 梁琼麟, 等. 高效液相色谱-串联质谱法同时测定烟草中5种Amadori化合物[J]. 色谱, 2013, 31(12):1189-1193.
doi: 10.3724/SP.J.1123.2013.06029
|
| [3] |
CUI H, YU J, ZHAI Y, et al. Formation and fate of amadori rearrangement products in Maillard reaction[J]. Trends in food science& technology, 2021, 115:391-408.
|
| [4] |
谢剑平, 赵明月, 吴鸣. 白肋烟重要香味物质组成的研究[J]. 烟草科技, 2002(10):3-16.
|
| [5] |
张新龙, 赵尔婉, 黄家乐, 等. 基于美拉德反应的红茶茶末烟用香料的制备及加香效果研究[J]. 轻工学报, 2024, 39(6):57-69.
|
| [6] |
VIOLA E, NASELLI V, PRESTIANNI R, et al. The use of a specific glutathione-rich inactivated yeast to protect organic Catarratto grape must and wine from oxidation in the pre-fermentative phase[J]. Food bioscience, 2024, 61:104656.
|
| [7] |
谢剑平, 赵明月, 吴鸣, 等. 白肋烟重要香味物质组成的研究[J]. 烟草科技, 2002(10):3-16.
|
| [8] |
LU S, CUI H, ZHAN H, et al. Timely addition of glutathione for its interaction with deoxypentosone to inhibit the aqueous maillard reaction and browning of glycylglycine-arabinose system[J]. Journal of agricultural and food chemistry, 2019, 67(23):6585-93.
doi: 10.1021/acs.jafc.9b02053
pmid: 31124366
|
| [9] |
赵田, 史宏志, 姬小明, 等. 不同类型烟草游离氨基酸组成和含量的差异分析[J]. 中国烟草学报, 2011, 17(2):5.
|
| [10] |
赵晓丹, 史宏志, 钱华, 等. 不同类型烟草常规化学成分与中性致香物质含量分析[J]. 华北农学报, 2012(3):237-241.
|
| [11] |
安梦悦, 刘欢, 谢明勇. 基于生物技术制备天然植物浸膏及其在卷烟加香中的应用研究[C]. 中国食品科学技术学会第二十一届年会论文摘要集. 南昌大学食品科学与资源挖掘全国重点实验室, 2024:566-567.
|
| [12] |
魏玉磊, 许明磊, 张忠锋, 等. 干燥方式对烟花还原糖与游离氨基酸含量的影响[J]. 中国烟草科学, 2024, 45(5):80-86.
|
| [13] |
孙振春, 杨慧, 瞿方, 等. 烟草花蕾酶解基底高效制备美拉德反应中间体研究[J]. 中国烟草科学, 2022, 43(4):96-103.
|
| [14] |
刘瑞红, 张俊岭, 王晓瑜, 等. 赖氨酸Amadori和Heyns化合物热裂解产物对烟草风味的影响研究[J]. 中国烟草学报, 2022, 28(3):17-25.
|
| [15] |
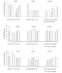
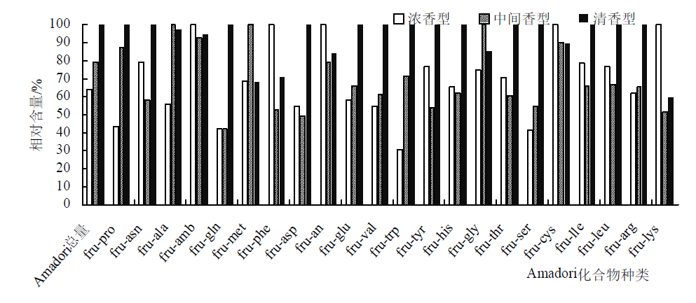
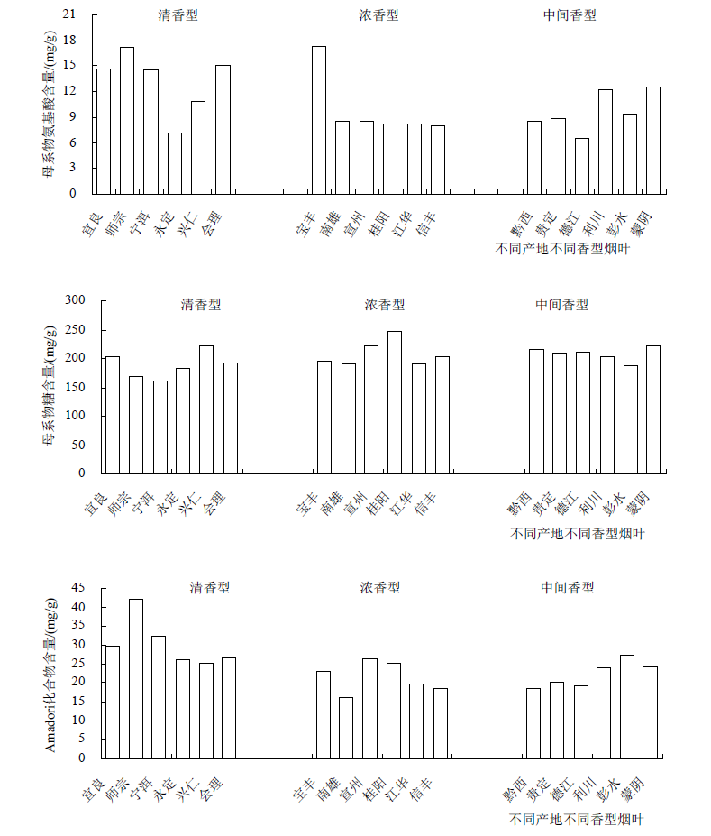
贺佩, 刘文霖, 庞雪莉, 等. 基于Amadori化合物分布特征的不同产地烤烟判别[J]. 甘肃农业大学学报, 2025(1):1-13.
|
| [16] |
YC/T 31—1996,烟草及烟草制品试样的制备和水分的测定-烘箱法[S]. 北京: 中国标准出版社, 1996.
|
| [17] |
黄翼飞. 高效液相色谱法测定烟草中的果糖、葡萄糖和蔗糖[J]. 烟草科技, 2010, 49(2):37-42.
|
| [18] |
王晓瑜, 王昇, 刘鸿, 等. HPLC-MS/MS法同时测定烟草中22种Amadori化合物[J]. 烟草科技, 2021, 54(4):40-48.
|
| [19] |
ALIAO GONZÁLEZ M J, CANTOS VILLAR E. Exploring the impact of viticultural and winemaking factors on amino acids and biogenic amines in wine: a comprehensive review[J]. Food reviews international, 2025, 41(1):291-322.
|
| [20] |
YANG S, GU Y, SUN B, et al. Effect of roasting on key components and flavor substances of buckwheat and buckwheat flour: a review[J]. Journal of the Chinese cereals and oils association, 2023, 38(11):247-55.
|
| [21] |
UMEMURA K, KAWAI S. Modification of chitosan by the Maillard reaction using cellulose model compounds[J]. Carbohydrate polymers, 2007, 68(2):242-248.
|
| [22] |
陈华. 影响食品中美拉德反应的因素[J]. 食品与发酵科技, 1998,(3):21-23.
|
| [23] |
孙丽平, 汪东风, 徐莹, 等. 初探pH和加热时间对美拉德反应挥发性产物的影响[J]. 食品工业科技, 2009(4):122-125.
|
| [24] |
朱秀芳. 干肉制品和中等水分肉制品非酶褐变测定[J]. 肉类工业, 1988(4):39-45.
|
| [25] |
CAMMERER B, KROH L W. Investigation of the contribution of radicals to the mechanism of the early stage of the Maillard reaction[J]. Food chemistry, 1996, 57(2):217-221.
|