欢迎访问《中国农学通报》,

中国农学通报 ›› 2025, Vol. 41 ›› Issue (31): 20-26.doi: 10.11924/j.issn.1000-6850.casb2025-0200

• 林学·园艺·园林 • 上一篇    下一篇

2020—2024年中国西北地区登记西瓜品种性状分析

王志强(), 杜慧莹, 李程, 郭松, 田梅, 于蓉   

  1. 宁夏农林科学院园艺研究所,银川 750002
  • 收稿日期:2025-03-12 修回日期:2025-09-10 出版日期:2025-11-05 发布日期:2025-11-07
  • 作者简介:

    王志强,男,副研究员,主要从事西瓜栽培和育种研究工作。通信地址:750002 宁夏银川市黄河东路590号 宁夏农林科学院园艺研究所,E-mail:

  • 基金资助:
    农业高质量发展和生态保护科技创新示范项目“西甜瓜新品种选育及提质增效关键技术研究与示范”(NGSB-2021-7-02)

Comprehensive Analysis of Registered Watermelon Varieties in Northwest China in 2020-2024

WANG Zhiqiang(), DU Huiying, LI Cheng, GUO Song, TIAN Mei, YU Rong   

  1. Institute of Horticulture, Ningxia Academy of Agriculture and Forestry, Yinchuan 750002
  • Received:2025-03-12 Revised:2025-09-10 Published:2025-11-05 Online:2025-11-07

摘要:

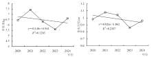
以2020—2024年国内西北地区登记的170个西瓜品种为研究对象,对品种进行性状综合分析,以期为深入研究西瓜品种更替对主要性状的影响和未来西瓜育种方向提供参考。研究表明:(1)‘西农八号’类椭圆形中晚熟大果形是西瓜主导对照品种。(2)8个数量性状均呈偏正态分布,除全生育期和果实发育期性状的变异系数小于10%外,其余均大于10%,单果重变异系数最大为37.44%。(3)全生育期、果实发育期、中心可溶固形物含量和边可溶固形物含量4个数量性状年际变化呈现明显增长趋势,第1雌花节位、雌花间隔节位、单果重和果皮厚度4个数量性状年际间呈现明显降低趋势。(4)登记西瓜品种的全生育期与果实发育期、第1雌花节位、雌花间隔节位、单果重及果皮厚度极显著正相关。(5)主成分分析表明,品种之间的差异主要集中在果实发育期、全生育期、单果重和第1雌花节位上,体现了西瓜品种的熟性和果形大小情况。

关键词: 西瓜, 登记品种, 性状, 全生育期, 雌花间隔节位, 果实发育期, 单果重

Abstract:

Variety traits of watermelon were analyzed comprehensively by using 170 registered varieties in Northwest China from 2020 to 2024 as the research objects, with the aim to provide reference for further study on the influence of watermelon variety replacement on main traits and the future direction of watermelon breeding. The results showed that: (1) the oval mid-late maturing large fruit watermelon variety ‘Xinong No.8’ was the dominant control variety. (2) 8 quantitative characteristic data were skewed normal distribution. Except for the variation coefficient of the plant growth period and fruit growth period, which was less than 10%, the rest were more than 10%, and the maximum variation coefficient of single fruit weight was 37.44 %. (3) The annual variability in 4 quantitative traits of plant growth period, fruit growth period, soluble solid content at center flesh, soluble solid content near rind flesh was generally on the rise. The annual variability pattern in 4 quantitative traits of nodes to first female flowering, nodes between female flowers, fruit weight,fruit rind thickness, showed a decreasing trend. (4) Plant growth period was significantly and positively correlated with plant growth period, nodes to first female flowering, nodes between female flowers, fruit weight, and fruit rind thickness. (5) The results of principal component analysis showed that the differences among varieties were mainly concentrated in fruit growth period, plant growth period, fruit weight, and nodes to first female flowering. It reflected the ripeness and fruit size of watermelon varieties.

Key words: watermelon, registered varieties, characters, whole growth period, nodes between female flowers, fruit growth period, single fruit weight