欢迎访问《中国农学通报》,

中国农学通报 ›› 2025, Vol. 41 ›› Issue (28): 34-39.doi: 10.11924/j.issn.1000-6850.casb2025-0239

• 农学·农业基础科学 • 上一篇    下一篇

播期和施氮量对饲料大麦品种‘云大麦10号’籽粒产量及品质的影响

乔祥梅1(), 王志龙1, 刘列1, 王志伟1, 黄廷芝1, 程耿1, 董诗铝2, 程加省1()   

  1. 1 云南省农业科学院粮食作物研究所/国家小麦改良中心云南分中心,昆明 650205
    2 保山市隆阳区农业技术推广中心,云南保山 678000
  • 收稿日期:2025-03-19 修回日期:2025-07-16 出版日期:2025-10-05 发布日期:2025-10-10
  • 通讯作者:
    程加省,男,1980年出生,云南曲靖人,研究员,博士,主要从事麦类遗传育种研究及栽培。通信地址:650205 云南省昆明市盘龙区北京路2238号,Tel:0871-65633053,E-mail:
  • 作者简介:

    乔祥梅,女,1987年出生,云南曲靖人,助理研究员,硕士,主要从事麦类遗传育种研究及栽培。通信地址:650205 云南省昆明市盘龙区北京路2238号,Tel:0871-65892504,E-mail:

  • 基金资助:
    云南省科技厅“技术创新人才培养对象项目程加省”(202205AD160033); 云南省财政部门预算项目重大专项“粮食安全种业支撑专项”(530000210000000013809)

Effects of Sowing Date and Nitrogen Application Rate on Grain Yield and Quality of Forage Barley Variety ‘Yundamai 10’

QIAO Xiangmei1(), WANG Zhilong1, LIU Lie1, WANG Zhiwei1, HUANG Tingzhi1, CHENG Geng1, DONG Shilyu2, CHENG Jiasheng1()   

  1. 1 Institute of Grain Crops, Yunnan Province Academy of Agricultural Sciences/Yunnan Branch of National Wheat Improvement Center, Kunming, 650205
    2 Baoshan Longyang District Agricultural Technology Extension Center, Baoshan, Yunnan 678000
  • Received:2025-03-19 Revised:2025-07-16 Published:2025-10-05 Online:2025-10-10

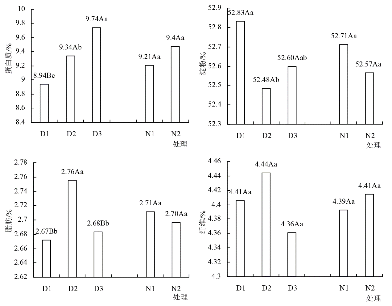
摘要: 探明播期和施氮量对饲料大麦品种‘云大麦10号’籽粒产量及品质的影响,以期为该品种的大面积推广应用提供科学依据。本研究采用二因素随机区组设计,设置10月21日(D1)、11月1日(D2)、11月11日(D3)3个播期和150 kg/hm2尿素(N1)、225 kg/hm2尿素(N2)2个施氮水平,研究其对大麦籽粒产量、主要农艺性状以及蛋白质、淀粉和脂肪含量等的影响。结果表明,播期对籽粒产量、产量构成要素、最高分蘖数、穗长、株高、成穗率、蛋白质、淀粉和脂肪含量均有极显著或显著影响。延迟播期会导致籽粒产量极显著降低,与D2和D3相比,D1处理的籽粒产量分别提高87.93%、76.79%,但蛋白质含量显著提高。施氮量对籽粒产量影响显著,但对产量构成要素、主要农艺性状和品质影响均不显著。N1处理的籽粒产量显著高于N2处理,表明过量施用氮肥不仅不能增产,反而会降低产量;N1处理的蛋白质含量低于N2处理,但差异不显著。综上,延迟播期会导致籽粒产量呈极显著下降,但蛋白质含量显著增加;增施氮肥会导致籽粒产量显著降低,但蛋白质含量略有增加。说明在追求高产的同时,难以兼顾籽粒蛋白质含量的提高,且受品种遗传特性的影响,蛋白质含量增加的幅度有限。因此,不建议以牺牲产量为代价来提高品质。建议适当提早播期,并施用150 kg/hm2尿素,以获得高产。

关键词: 饲料大麦, 播期, 施氮量, 籽粒产量, 品质

Abstract:

This study investigated the effects of sowing date and nitrogen application rate on grain yield and quality of the barley variety ‘Yundamai 10’, aiming to provide a scientific basis for its large-scale production and application. A two-factor randomized block design was adopted, examining three sowing dates (D1: October 21st; D2: November 1st; D3: November 11th) and two nitrogen levels (N1: 150 kg/hm2 urea; N2: 225 kg/hm2 urea) on grain yield, key agronomic traits, protein, starch, fat content and so on. The results showed that sowing date had highly significant or significant effects on all measured traits. With delayed sowing, grain yield reduced significantly. Compared with D2 and D3, D1 increased grain yield by 87.93% and 76.79% respectively, while protein content increased significantly under later sowing. Nitrogen application significantly influenced grain yield but not yield components, agronomic traits or quality parameters. The gain yield under N1 was significantly lower than that under N2, indicating that excessive nitrogen application reduced yield instead of increasing it. Although the protein content under N1 was lower than that under N2, the difference was not significant. Delayed sowing significantly decreased grain yield but increased protein content; excessive nitrogen application significantly reduced yield while marginally increasing protein content, suggesting a trade-off between high yield and protein content improvement. However, the increase in protein content was limited by the genetic characteristics of the variety. Therefore, sacrificing yield for quality improvement was not recommended for this variety. Early sowing combined with a urea application rate of 150 kg/hm2 was recommended to achieve high yields.

Key words: forage barley, sowing date, nitrogen application rate, grain yield, quality